A Single-Fed Wideband Circularly Polarized Cross-Fed Cavity-Less Magneto-Electric Dipole Antenna
Abstract
:1. Introduction
2. Geometry and Operating Principle
2.1. Antenna Geometry
2.2. Operating Principle
3. Parametric Study
3.1. Length of the Patches (Lpatch)
3.2. Width of the Short Lead (Wcon)
3.3. Width of the Long Lead (Wring)
3.4. Radius of the Quarter-Wavelength Arc (Rring)
3.5. Radiating Layer to Ground Plane Separation (hair)
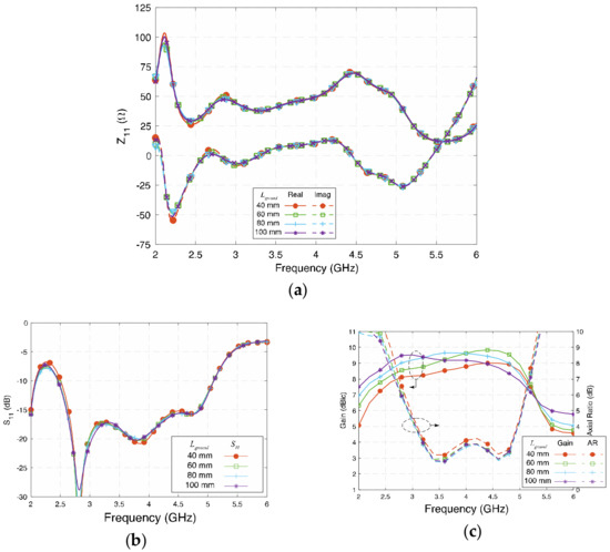
3.6. Length of Ground Plane (Lground)
4. Measurement Results and Discussions
5. Conclusions
Author Contributions
Funding
Institutional Review Board Statement
Informed Consent Statement
Data Availability Statement
Acknowledgments
Conflicts of Interest
References
- Pi, Z.; Khan, F. An introduction to millimeter-wave mobile broadband systems. IEEE Commun. Mag. 2011, 49, 101–107. [Google Scholar] [CrossRef]
- Rappaport, T.S.; Sun, S.; Mayzus, R.; Zhao, H.; Azar, Y.; Wang, K.; Wong, G.N.; Schulz, J.K.; Samimi, M.; Gutierrez, F. Millimeter Wave Mobile Communications for 5G Cellular: It Will Work! IEEE Access 2013, 1, 335–349. [Google Scholar] [CrossRef]
- Chlavin, A. A new antenna feed having equal E -and H-plane patterns. Trans. IRE Prof. Group Antennas Propag. 1954, 2, 113–119. [Google Scholar] [CrossRef]
- Wong, H.; Mak, K.-M.; Luk, K.-M. Wideband Shorted Bowtie Patch Antenna With Electric Dipole. IEEE Trans. Antennas Propag. 2008, 56, 2098–2101. [Google Scholar] [CrossRef]
- Luk, K.-M.; Wu, B. The Magnetoelectric Dipole—A Wideband Antenna for Base Stations in Mobile Communications. Proc. IEEE 2012, 100, 2297–2307. [Google Scholar] [CrossRef]
- Tong, K.F.; Lee, K.F.; Luk, K.M. On the effect of ground plane size to wideband shorting-wall probe-fed patch antennas. In Proceedings of the 2011 IEEE-APS Topical Conference on Antennas and Propagation in Wireless Communications, Turin, Italy, 12–16 September 2011; Volume 147, p. 486. [Google Scholar]
- Ge, L.; Luk, K.M. Beamwidth Reconfigurable Magneto-Electric Dipole Antenna Based on Tunable Strip Grating Reflector. IEEE Access 2016, 4, 7039–7045. [Google Scholar] [CrossRef]
- Luk, K.; Wong, H. A new wideband unidirectional antenna element. Int. J. Microw. Opt. Technol. 2006, 1, 35–44. [Google Scholar]
- Ng, K.B.; Wong, H.; So, K.K.; Chan, C.H.; Luk, K.M. 60 GHz Plated Through Hole Printed Magneto-Electric Dipole Antenna. IEEE Trans. Antennas Propag. 2012, 60, 3129–3136. [Google Scholar] [CrossRef]
- Ge, L.; Luk, K.M. A Low-Profile Magneto-Electric Dipole Antenna. IEEE Trans. Antennas Propag. 2012, 60, 1684–1689. [Google Scholar] [CrossRef]
- Tong, K.-F.; Lacotte, G.; Huang, J. Wideband single-fed proximity coupled circularly polarised annular slot antenna. IET Microw. Antennas Propag. 2010, 4, 1451–1455. [Google Scholar] [CrossRef]
- So, K.K.; Wong, H.; Luk, K.M.; Chan, C.H. Miniaturized Circularly Polarized Patch Antenna With Low Back Radiation for GPS Satellite Communications. IEEE Trans. Antennas Propag. 2015, 63, 5934–5938. [Google Scholar] [CrossRef]
- Tong, K.-F.; Huang, J. New Proximity Coupled Feeding Method for Reconfigurable Circularly Polarized Microstrip Ring Antennas. IEEE Trans. Antennas Propag. 2008, 56, 1860–1866. [Google Scholar] [CrossRef]
- Sze, J.-Y.; Chen, W.-H. Axial-Ratio-Bandwidth Enhancement of a Microstrip-Line-Fed Circularly Polarized Annular-Ring Slot Antenna. IEEE Trans. Antennas Propag. 2011, 59, 2450–2456. [Google Scholar] [CrossRef]
- EnCheng, W.; LuYao, S. An Improved Wideband Dipole Antenna for Global Navigation Satellite System. IEEE Antennas Wirel. Propag. Lett. 2014, 13, 1305–1308. [Google Scholar] [CrossRef]
- Cao, J.; Wang, H.; Mou, S.; Quan, S.; Ye, Z. W-Band High-Gain Circularly Polarized Aperture-Coupled Magneto-Electric Dipole Antenna Array With Gap Waveguide Feed Network. IEEE Antennas Wirel. Propag. Lett. 2017, 16, 2155–2158. [Google Scholar] [CrossRef]
- Cao, J.; Wang, H.; Mou, S.; Soothar, P.; Zhou, J. An Air Cavity-Fed Circularly Polarized Magneto-Electric Dipole Antenna Array With Gap Waveguide Technology for mm-Wave Applications. IEEE Trans. Antennas Propag. 2019, 67, 6211–6216. [Google Scholar] [CrossRef]
- Scalise, G.; Boccia, L.; Amendola, G.; Rousstia, M.; Shamsafar, A. Magneto-Electric Dipole antenna for 5-G applications. In Proceedings of the 2020 14th European Conference on Antennas and Propagation (EuCAP), Copenhagen, Denmark, 15–20 March 2020; pp. 1–3. [Google Scholar] [CrossRef]
- Mustacchio, C.; Boccia, L.; Maggiora, R.; Arnieri, E.; Amendola, G. E-Band Magneto-Electric Dipole Antenna for 5G Backhauling Applications. In Proceedings of the 2022 52nd European Microwave Conference (EuMC), Milan, Italy, 27–29 September 2022. [Google Scholar] [CrossRef]
- Li, M.; Luk, K.-M. A Wideband Circularly Polarized Antenna for Microwave and Millimeter-Wave Applications. IEEE Trans. Antennas Propag. 2014, 62, 1872–1879. [Google Scholar] [CrossRef]
- Zhang, Z.-Y.; Liu, N.-W.; Zhao, J.-Y.; Fu, G. Wideband Circularly Polarized Antenna With Gain Improvement. IEEE Antennas Wirel. Propag. Lett. 2013, 12, 456–459. [Google Scholar] [CrossRef]
- He, Y.; He, W.; Wong, H. A Wideband Circularly Polarized Cross-Dipole Antenna. IEEE Antennas Wirel. Propag. Lett. 2014, 13, 67–70. [Google Scholar] [CrossRef]
- Ta, S.X.; Park, I. Crossed Dipole Loaded With Magneto-Electric Dipole for Wideband and Wide-Beam Circularly Polarized Radiation. IEEE Antennas Wirel. Propag. Lett. 2014, 14, 358–361. [Google Scholar] [CrossRef]
- Tran, H.H.; Park, I. Wideband Circularly Polarized Cavity-Backed Asymmetric Crossed Bowtie Dipole Antenna. IEEE Antennas Wirel. Propag. Lett. 2015, 15, 358–361. [Google Scholar] [CrossRef]
- Tran, H.H.; Park, I.; Nguyen, T.K. Circularly Polarized Bandwidth-Enhanced Crossed Dipole Antenna with a Simple Single Parasitic Element. IEEE Antennas Wirel. Propag. Lett. 2017, 16, 1. [Google Scholar] [CrossRef]
- Feng, G.; Chen, L.; Wang, X.; Xue, X.; Shi, X. Broadband Circularly Polarized Crossed Bowtie Dipole Antenna Loaded With Parasitic Elements. IEEE Antennas Wirel. Propag. Lett. 2017, 17, 114–117. [Google Scholar] [CrossRef]
- Yang, W.J.; Pan, Y.M.; Zheng, S.Y. A Compact Broadband Circularly Polarized Crossed-Dipole Antenna With a Very Low Profile. IEEE Antennas Wirel. Propag. Lett. 2019, 18, 2130–2134. [Google Scholar] [CrossRef]
- Wang, L.; Fang, W.X.; En, Y.F.; Huang, Y.; Shao, W.H.; Yao, B. Wideband Circularly Polarized Cross-Dipole Antenna With Parasitic Elements. IEEE Access 2019, 7, 35097–35102. [Google Scholar] [CrossRef]
- Nguyen, T.K.; Tran, H.H.; Nguyen-Trong, N. A Wideband Dual-Cavity-Backed Circularly Polarized Crossed Dipole Antenna. IEEE Antennas Wirel. Propag. Lett. 2017, 16, 3135–3138. [Google Scholar] [CrossRef]
- Qu, S.-W.; Chan, C.H.; Xue, Q. Wideband and High-Gain Composite Cavity-Backed Crossed Triangular Bowtie Dipoles for Circularly Polarized Radiation. IEEE Trans. Antennas Propag. 2010, 58, 3157–3164. [Google Scholar] [CrossRef]
- Trinh-Van, S.; Van Trinh, T.; Yang, Y.; Lee, K.-Y.; Hwang, K.C. A broadband circularly polarized magneto-electric dipole array antenna for 5G millimeter-wave applications. Appl. Phys. Lett. 2021, 119, 023503. [Google Scholar] [CrossRef]
- Kang, K.; Shi, Y.; Liang, C.-H. A Wideband Circularly Polarized Magnetoelectric Dipole Antenna. IEEE Antennas Wirel. Propag. Lett. 2017, 16, 1647–1650. [Google Scholar] [CrossRef]
- Dadgarpour, A.; Sorkherizi, M.S.; Kishk, A.A. High-Efficient Circularly Polarized Magnetoelectric Dipole Antenna for 5G Applications Using Dual-Polarized Split-Ring Resonator Lens. IEEE Trans. Antennas Propag. 2017, 65, 4263–4267. [Google Scholar] [CrossRef]
- Cai, L.; Wong, H.; Tong, K.-F. A Simple Low-Profile Coaxially-Fed Magneto-Electric Dipole Antenna Without Slot-Cavity. IEEE Open J. Antennas Propag. 2020, 1, 233–238. [Google Scholar] [CrossRef]
- CST. CST Microwave Studio. Available online: https://www.3ds.com/products-services/simulia/products/cst-studio-suite/ (accessed on 11 January 2023).















| BW (%) | AR BW (%) | Inline BW (%) | Gain (dBic) | Feed Pt. No. | Footprint (λo2) | Height (λo) | Cavity Reflector | |
|---|---|---|---|---|---|---|---|---|
| [21] | 57.6 | 51.9 | 51.9 | 9.50 ± 0.30 | 2 | 1.43 | 0.18 | nil |
| [22] | 57.6 | 38.9 | 38.9 | 9.35 ± 1.35 | 2 | 0.83 | 0.26 | nil |
| [23] | 59.8 | 26.8 | 26.8 | 8.0 ± 0.50 | 1 | 0.41 | 0.16 | single |
| [24] | 57.3 | 50.9 | 43.5 | 9.56 ± 1.19 | 1 | 1.02 | 0.27 | single |
| [25] | 69.0 | 58.6 | 58.6 | 8.51 ± 0.89 | 1 | 0.63 | 0.27 | single |
| [26] | 93.1 | 87.6 | 83.2 | 3.25 ± 5.38 | 1 | 1.24 | 0.42 | nil |
| [27] | 61.8 | 51.6 | 51.6 | 3.70 ± 0.65 | 1 | 0.18 | 0.07 | nil |
| [28] | 77.7 | 68.1 | 68.1 | 3.63 ± 4.63 | 1 | 0.83 | 0.22 | nil |
| [29] | 79.4 | 66.7 | 66.7 | 8.51 ± 1.29 | 1 | 0.74 | 0.36 | complex |
| [30] | 56.7 | 38.9 | 38.9 | 9.35 ± 1.35 | 2 | 0.83 | 0.26 | complex |
| [31] | 50 | 56.5 | 50 | 6.7 ± 1.75 | 1 | 1.58 | 0.16 | nil |
| [32] | 65.1 | 71.5 | 65.1 | 8.5 ± 1.0 | 1 | 1.98 | 0.26 | nil |
| [33] | 22.6 | 6.8 | 6.8 | 10.1 ± 0.1 | 1 | 6.67 | 0.34 | nil |
| This work | 70.2 | 51.5 | 51.5 | 9.31 ± 0.56 | 1 | 1.16 | 0.24 | nil |
| 3-dB Beam-Width (°) | 3.2 GHz | 4.0 GHz | 4.8 GHz | |∆1| (°) | ||||
|---|---|---|---|---|---|---|---|---|
| mea. | sim. | mea. | sim. | mea. | sim. | mea. | sim. | |
| ϕ = 0° | 65.5 | 59.1 | 70.3 | 67.9 | 74.7 | 67.3 | 9.2 | 8.8 |
| ϕ = 45° | 63.7 | 59.9 | 68.5 | 65.1 | 75.8 | 67.8 | 12.1 | 7.9 |
| ϕ = 90° | 66.0 | 63.2 | 69.9 | 64.3 | 76.8 | 69.0 | 10.8 | 5.8 |
| ϕ = 135° | 68.0 | 63.0 | 69.0 | 62.9 | 77.5 | 76.3 | 9.5 | 13.3 |
| |∆2| (°) | 4.3 | 4.1 | 1.8 | 5.0 | 2.8 | 9.0 | ||
Disclaimer/Publisher’s Note: The statements, opinions and data contained in all publications are solely those of the individual author(s) and contributor(s) and not of MDPI and/or the editor(s). MDPI and/or the editor(s) disclaim responsibility for any injury to people or property resulting from any ideas, methods, instructions or products referred to in the content. |
© 2023 by the authors. Licensee MDPI, Basel, Switzerland. This article is an open access article distributed under the terms and conditions of the Creative Commons Attribution (CC BY) license (https://creativecommons.org/licenses/by/4.0/).
Share and Cite
Cai, L.; Tong, K.-F. A Single-Fed Wideband Circularly Polarized Cross-Fed Cavity-Less Magneto-Electric Dipole Antenna. Sensors 2023, 23, 1067. https://doi.org/10.3390/s23031067
Cai L, Tong K-F. A Single-Fed Wideband Circularly Polarized Cross-Fed Cavity-Less Magneto-Electric Dipole Antenna. Sensors. 2023; 23(3):1067. https://doi.org/10.3390/s23031067
Chicago/Turabian StyleCai, Linyu, and Kin-Fai Tong. 2023. "A Single-Fed Wideband Circularly Polarized Cross-Fed Cavity-Less Magneto-Electric Dipole Antenna" Sensors 23, no. 3: 1067. https://doi.org/10.3390/s23031067
APA StyleCai, L., & Tong, K.-F. (2023). A Single-Fed Wideband Circularly Polarized Cross-Fed Cavity-Less Magneto-Electric Dipole Antenna. Sensors, 23(3), 1067. https://doi.org/10.3390/s23031067

