Role of Temperature-Dependent Interfacial Tension on Shear Wave Velocity for Energy Geosystems
Abstract
:1. Introduction
2. Temperature-Dependent Interfacial Tension in Soils
3. Materials and Methods
3.1. Tested Materials
3.2. Specimen Preparation
3.3. Shear Wave Measurement Cell
3.4. Test Procedure
4. Experimental Results
4.1. Shear Wave Signature
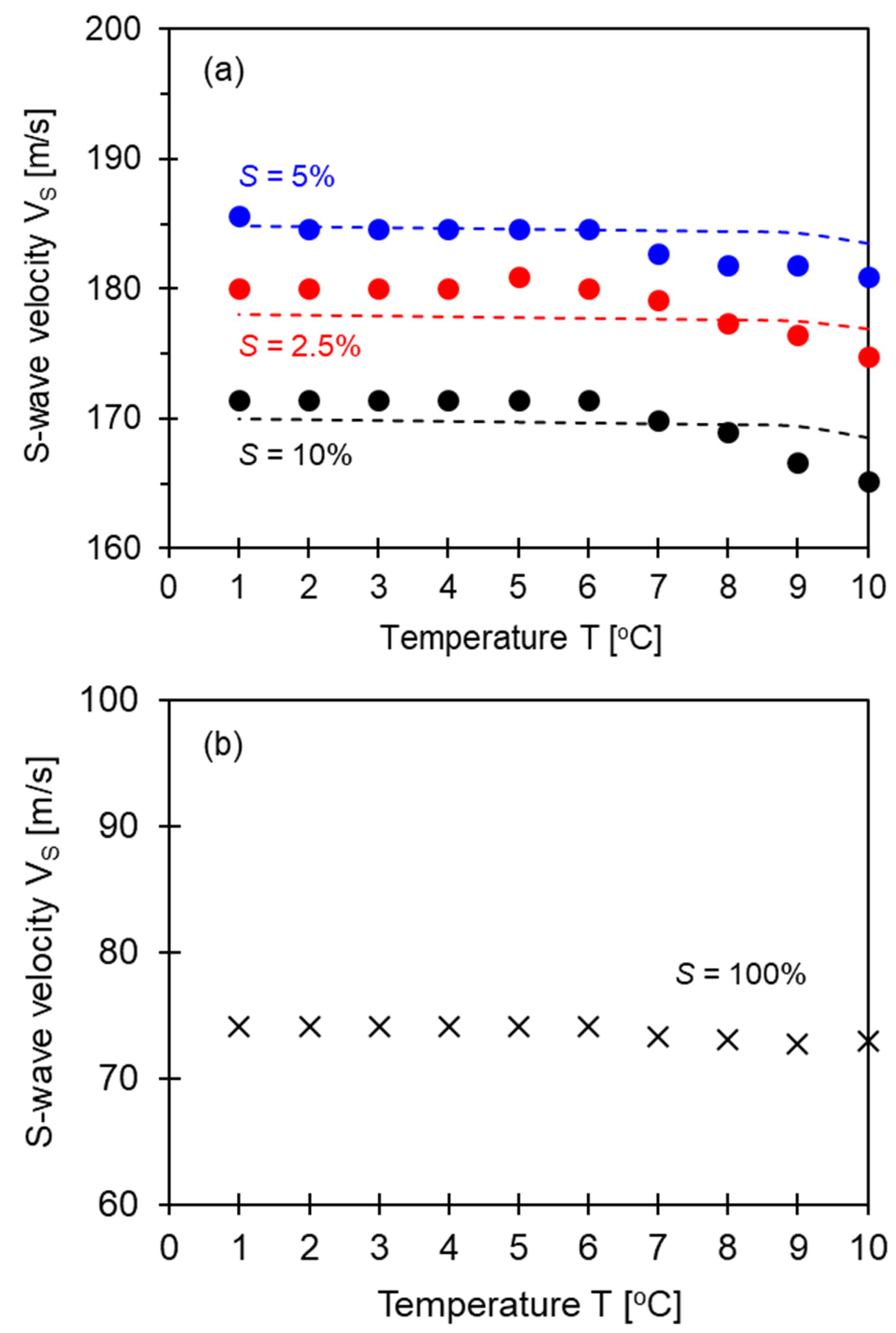
4.2. Shear Wave Velocity
4.3. Shear Wave Velocity Change during Drying
5. Analyses and Discussion—Temperature-Dependent Shear Wave Velocity
6. Conclusions
Author Contributions
Funding
Institutional Review Board Statement
Informed Consent Statement
Data Availability Statement
Conflicts of Interest
References
- Sawangsuriya, A.; Fall, M.; Fratta, D. Wave-based techniques for evaluating elastic modulus and Poisson’s ratio of laboratory compacted lateritic soils. Geotech. Geol. Eng. 2008, 26, 567–578. [Google Scholar] [CrossRef]
- Lee, J.S.; Santamarina, J.C. Bender elements: Performance and signal interpretation. J. Geotech. Geoenviron. Eng. 2005, 131, 1063–1070. [Google Scholar] [CrossRef]
- Christ, M.; Park, J.B. Determination of elastic constants of frozen rubber-sand mixes by ultrasonic testing. J. Cold Reg. Eng. 2011, 25, 196–207. [Google Scholar] [CrossRef]
- Kramer, S.L. Geotechnical Earthquake Engineering; Prentice-Hall, Inc.: Upper Saddle River, NJ, USA, 1996. [Google Scholar]
- Cho, G.C.; Santamarina, J.C. Unsaturated particulate materials-particle-level studies. J. Geotech. Geoenviron. Eng. 2001, 127, 84–96. [Google Scholar] [CrossRef]
- Kim, J.; Won, J.; Park, J. Effects of water saturation and distribution on small-strain stiffness. J. Appl. Geophys. 2021, 186, 104278. [Google Scholar] [CrossRef]
- Bishop, A.W.; Blight, G.E. Some aspects of effective stress in saturated and unsaturated soils. Geotechnique 1963, 13, 177–197. [Google Scholar] [CrossRef]
- IAPWS: International Association for the Properties of Water and Steam Release on Surface Tension of Ordinary Water Substance; International Association for the Properties of Water and Steam (IAPWS): Boulder, CO, USA, 1994.
- Gittens, G.J. Variation of surface tension of water with temperature. J. Colloid Interface Sci. 1968, 30, 406–412. [Google Scholar] [CrossRef]
- Kayser, W.B. Temperature dependence of the surface tension of water in contact with its saturated vapor. J. Colloid Interface Sci. 1975, 56, 622–627. [Google Scholar] [CrossRef]
- ASTM D854-05; Standard Test Methods for Specific Gravity of Soil Solids by Water Pycnometer, Annual Book of ASTM Standard. ASTM International: West Conshohocken, PA, USA, 2006.
- ASTM D4253-00; Standard Test Methods for Maximum Index Density and Unit Weight of Soils Using a Vibratory Table, Annual Book of ASTM Standard. ASTM International: West Conshohocken, PA, USA, 2006.
- ASTM D4254-00; Standard Test Methods for Minimum Index Density and Unit Weight of Soils Calculation of Relative Density, Annual Book of ASTM Standard. ASTM International: West Conshohocken, PA, USA, 2006.
- Santamarina, J.C.; Fratta, D. Discrete Signals and Inverse Problems: An Introduction for Engineers and Scientists; John Wiley & Sons: Hoboken, NJ, USA, 2005. [Google Scholar]
- Lyu, C.; Park, J.; Santamarina, J.C. Depth-dependent seabed properties: Geoacoustic assessment. J. Geotech. Geoenviron. Eng. 2021, 147, 04020151. [Google Scholar] [CrossRef]
- Park, J.; Santamarina, J.C. The critical role of pore size on depth-dependent microbial cell counts in sediments. Sci. Rep. 2020, 10, 21692. [Google Scholar] [CrossRef]
- Petrakis, E.; Dobry, R. Micromechanical Modeling of Granular Soil at Small Strain by Arrays of Elastic Spheres; Report No. CE-87-02; Department of Civil Engineering, Rensselaer Polytechnic Institute: Troy, NY, USA, 1987; Volume 270. [Google Scholar]
- Dallavalle, J.M. Micrometrics; Pitman: London, UK, 1943. [Google Scholar]
- Molenkemp, F.; Nazemi, A.H. Interactions between two rough spheres, water bridge and water vapor. Geotechnique 2003, 53, 255–264. [Google Scholar] [CrossRef]
- Lechman, J.; Lu, N. Capillary force and water retention between two uneven-sized particles. J. Eng. Mech. 2008, 134, 374–384. [Google Scholar] [CrossRef]
- Likos, W.J. Pore-scale model for water retention in unsaturated sand. In Proceedings of the 6th International Conference on Micromechanics of Granular Media, Golden, CO, USA, 13–17 July 2009; pp. 907–910. [Google Scholar]
- Hopmans, J.W.; Dane, J.H. Temperature dependence of soil water retention curves. Soil Sci. Soc. Am. J. 1986, 50, 562–567. [Google Scholar] [CrossRef]
- Romero, E.; Gens, A.; LLotet, A. Temperature effects on the hydraulic behavior of an unsaturated clay. Geotech. Geol. Eng. 2001, 19, 311–322. [Google Scholar] [CrossRef]
- Bachmann, J.; Ploeg, R.R. A review on recent developments I soil water retention theory: Interfacial tension and temperature effects. J. Plant. Nutr. Soil Sci. 2002, 165, 468–478. [Google Scholar] [CrossRef]
- Wilkinson, G.E.; Klute, A. The temperature effect on the equilibrium energy status of water held by porous media. Soil Sci. Soc. Am. J. 1962, 26, 326–329. [Google Scholar] [CrossRef]
- Chahal, R.S. Effect to temperature and trapped air on matric suction. Soil Sci. 1965, 100, 262–266. [Google Scholar] [CrossRef]
- Liu, H.H.; Dane, J.H. Reconciliation between measured and theoretical temperature effects on soil water retention curves. Soil Sci. Soc. Am. J. 1993, 57, 1202–1207. [Google Scholar] [CrossRef]
- Nimmo, J.R.; Miller, E.E. The temperature dependence of isothermal moisture vs. potential characteristics of soils. Soil Sci. Soc. Am. J. 1986, 50, 1105–1113. [Google Scholar] [CrossRef]
- Lu, T.X.; Biggar, J.W.; Nielsen, D.R. Water movement in glass beads porous media: 2. Experiments of infiltration and finger flow. Water Resour. Res. 1994, 28, 3283–3290. [Google Scholar] [CrossRef]
- Grant, S.A.; Bachmamm, J.B. Effect of temperature on capillary pressure. Geophys. Monogr. 2002, 129, 199–212. [Google Scholar]








| Property | Sand | Sand–Silt Mixture |
|---|---|---|
| Specific gravity Gs | 2.62 | 2.57 |
| Mean grain size D50 | 0.45 | - |
| emax | 0.82 | 0.74 |
| emin | 0.56 | 0.47 |
Disclaimer/Publisher’s Note: The statements, opinions and data contained in all publications are solely those of the individual author(s) and contributor(s) and not of MDPI and/or the editor(s). MDPI and/or the editor(s) disclaim responsibility for any injury to people or property resulting from any ideas, methods, instructions or products referred to in the content. |
© 2023 by the authors. Licensee MDPI, Basel, Switzerland. This article is an open access article distributed under the terms and conditions of the Creative Commons Attribution (CC BY) license (https://creativecommons.org/licenses/by/4.0/).
Share and Cite
Park, J.; Kim, J. Role of Temperature-Dependent Interfacial Tension on Shear Wave Velocity for Energy Geosystems. Sensors 2023, 23, 8709. https://doi.org/10.3390/s23218709
Park J, Kim J. Role of Temperature-Dependent Interfacial Tension on Shear Wave Velocity for Energy Geosystems. Sensors. 2023; 23(21):8709. https://doi.org/10.3390/s23218709
Chicago/Turabian StylePark, Junghee, and Jongchan Kim. 2023. "Role of Temperature-Dependent Interfacial Tension on Shear Wave Velocity for Energy Geosystems" Sensors 23, no. 21: 8709. https://doi.org/10.3390/s23218709
APA StylePark, J., & Kim, J. (2023). Role of Temperature-Dependent Interfacial Tension on Shear Wave Velocity for Energy Geosystems. Sensors, 23(21), 8709. https://doi.org/10.3390/s23218709
