Techniques for the Investigation of Segmented Sensors Using the Two Photon Absorption-Transient Current Technique
Abstract
1. Introduction
2. Experimental Setup
3. Analysis Methods
3.1. Extraction of the Collected Charge and Prompt Current
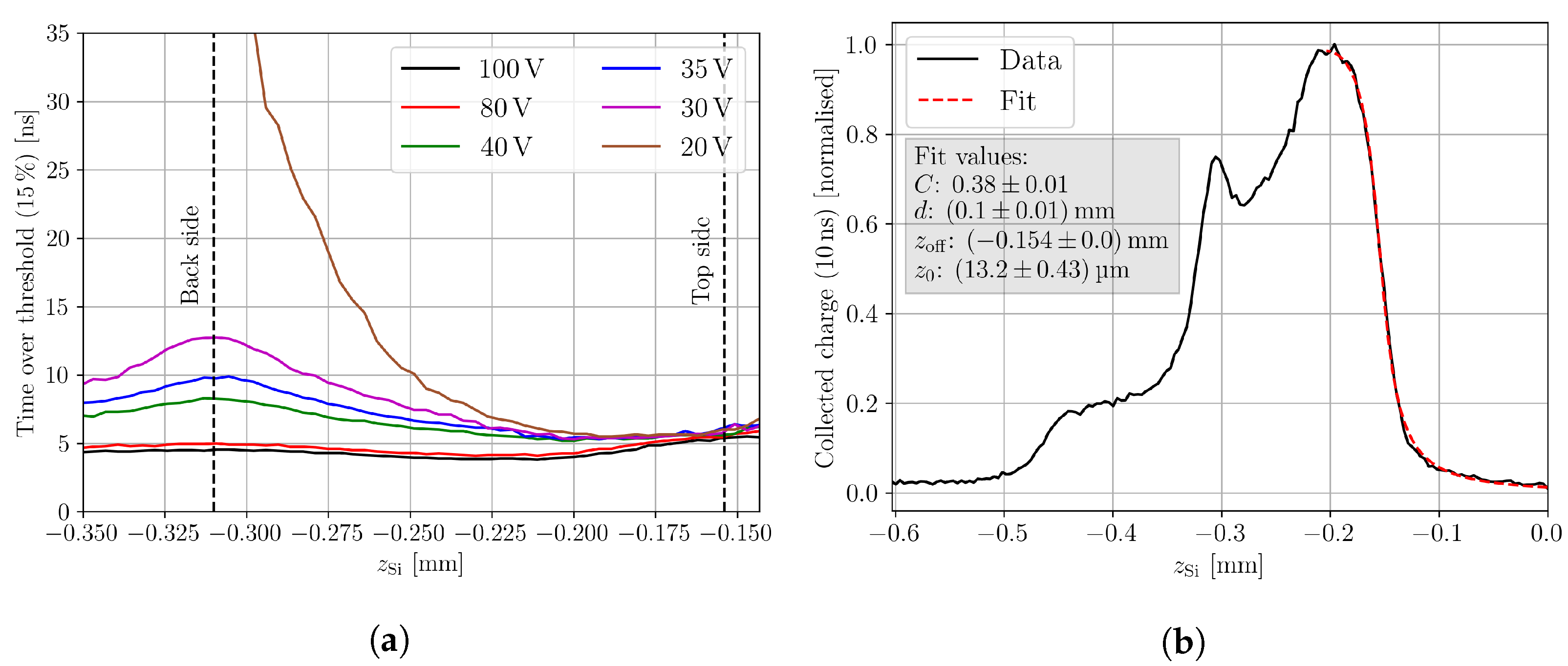
3.2. Extraction of the Depletion Voltage and Device Thickness
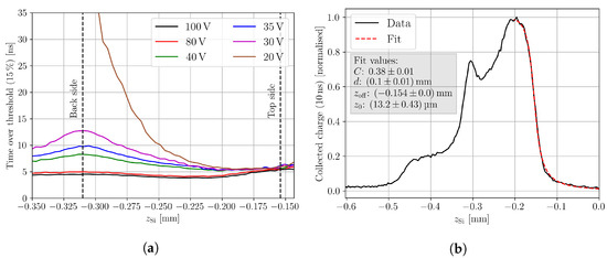
4. Results
5. Conclusions
Author Contributions
Funding
Institutional Review Board Statement
Informed Consent Statement
Data Availability Statement
Acknowledgments
Conflicts of Interest
Abbreviations
| TCT | Transient current technique |
| TPA | Two photon absorption |
| SPA | Single photon absorption |
| CMOS | Complementary metal–oxide–semiconductor |
| DUT | Device under test |
| MIM | Metal-insulator-metal |
| STI | Shallow trench isolation |
| AC | Alternating current |
| SNR | Signal-to-noise ratio |
References
- Vila Álvarez, I.; De Castro Manzano, P.; Fernández García, M.; González, J.; Jaramillo Echevarría, R.; Moll, M.; Montero, R.; Palomo Pinto, F.R. TPA-TCT: A novel Transient Current Technique based on the Two Photon Absorption (TPA) process. In Proceedings of the 25th RD50 Workshop (CERN), Geneva, Switzerland, 9–21 November 2014. [Google Scholar]
- Palomo Pinto, F.R.; Vila Álvarez, I.; De Castro Manzano, P.; Fernández García, M.; Moll, M. Two Photon Absorption and carrier generation in semiconductors. In Proceedings of the 25th RD50 Workshop (CERN), Geneva, Switzerland, 9–21 November 2014. [Google Scholar]
- Eremin, V.; Strokan, N.; Verbitskaya, E.; Li, Z. Development of transient current and charge techniques for the measurement of effective net concentration of ionized charges (Neff) in the space charge region of p-n junction detectors. Nucl. Instruments Methods Phys. Res. A Accel. Spectrometers Detect. Assoc. Equip. 1996, 372, 388–398. [Google Scholar] [CrossRef]
- Kramberger, G.; Cindro, V.; Mandić, I.; Mikuž, M.; Milovanović, M.; Zavrtanik, M.; Žagar, K. Investigation of Irradiated Silicon Detectors by Edge-TCT. IEEE Trans. Nucl. Sci. 2010, 57, 2294–2302. [Google Scholar] [CrossRef]
- Wiehe, M. Development of a Two-Photon Absorption—TCT system and Study of Radiation Damage in Silicon Detectors. Ph.D. Thesis, Albert-Ludwigs-Universität Freiburg im Breisgau, Breisgau, Germany, 2021. [Google Scholar]
- Fernández García, M.; González Sánchez, J.; Jaramillo Echeverría, R.; Moll, M.; Montero, R.; Moya, D.; Palomo Pinto, F.R.; Vila, I. On the determination of the substrate effective doping concentration of irradiated HV-CMOS sensors using an edge-TCT technique based on the Two-Photon-Absorption process. JINST 2017, 12, C01038. [Google Scholar] [CrossRef]
- Fernández García, M.; González Sánchez, J.; Jaramillo Echeverría, R.; Moll, M.; Montero Santos, R.; Moya, D.; Palomo Pinto, F.R.; Vila, I. High-resolution three-dimensional imaging of a depleted CMOS sensor using an edge Transient Current Technique based on the Two-Photon Absorption process (TPA-eTCT). Nucl. Instruments Methods Phys. Res. A Accel. Spectrometers Detect. Assoc. Equip. 2017, 845, 69–71. [Google Scholar] [CrossRef]
- Fernández García, M.; Jaramillo Echeverría, R.; Moll, M.; Montero, R.; Palomo Pinto, R.; Vila, I.; Wiehe, M. High resolution 3D characterization of silicon detectors using a Two Photon Absorption Transient Current Technique. Nucl. Instruments Methods Phys. Res. A Accel. Spectrometers Detect. Assoc. Equip. 2020, 958, 162865. [Google Scholar] [CrossRef]
- Pape, S.; Fernández García, M.; Moll, M.; Montero, R.; Palomo, F.; Vila, I.; Wiehe, M. Characterisation of irradiated and non-irradiated silicon sensors with a table-top two photon absorption TCT system. J. Instrum. 2022, 17, C08011. [Google Scholar] [CrossRef]
- Diehl, L.; Baselga, M.; Gregor, I.M.; Hauser, M.; Hemperek, T.; Hönig, J.C.; Jakobs, K.; Mägdefessel, S.; Parzefall, U.; Rodriguez, A.; et al. Characterization of passive CMOS strip sensors. Nucl. Instruments Methods Phys. Res. A Accel. Spectrometers Detect. Assoc. Equip. 2022, 1033, 166671. [Google Scholar] [CrossRef]
- Almagro-Ruiz, A.; Pape, S.; Muñoz-Marco, H.; Wiehe, M.; Currás, E.; Fernández-García, M.; Moll, M.; Montero, R.; Palomo, F.R.; Quintana, C.; et al. Fiber laser system of 1550nm femtosecond pulses with configurable properties for the two-photon excitation of transient currents in semiconductor detectors. Appl. Opt. 2022, 61, 9386–9397. [Google Scholar] [CrossRef] [PubMed]
- Tove, P.A.; Seibt, W. Plasma effects in semiconductor detectors. Nucl. Instrum. Methods 1967, 51, 261–269. [Google Scholar] [CrossRef]
- Gu, M. Advanced Optical Imaging Theory; Springer Science & Business Media: Berlin/Heidelberg, Germany, 2000; Volume 75. [Google Scholar]
- Wiehe, M.; Fernández García, M.; Moll, M.; Montero, R.; Palomo, F.R.; Vila, I.; Muñoz-Marco, H.; Otgon, V.; Pérez-Millán, P. Development of a Tabletop Setup for the Transient Current Technique Using Two-Photon Absorption in Silicon Particle Detectors. IEEE Trans. Nucl. Sci. 2021, 68, 220–228. [Google Scholar] [CrossRef]
- LFoundry. Available online: http://www.lfoundry.com (accessed on 6 January 2023).
- Micron Technologies, Inc. Available online: https://www.micron.com (accessed on 6 January 2023).
- CIVIDEC TCT Amplifier. Available online: https://cividec.at/index.php?module=public.product&idProduct=35&scr=0 (accessed on 6 January 2023).
- Shockley, W. Currents to Conductors Induced by a Moving Point Charge. J. Appl. Phys. 1938, 9, 635–636. [Google Scholar] [CrossRef]
- Jacoboni, C.; Canali, C.; Ottaviani, G.; Alberigi Quaranta, A. A review of some charge transport properties of silicon. Solid-State Electron. 1977, 20, 77–89. [Google Scholar] [CrossRef]
- Pape, S.; Currás, E.; Fernández García, M.; Moll, M.; Montero, R.; Palomo, F.; Vila, I.; Wiehe, M.; Quintana, C. First observation of the charge carrier density related gain reduction mechanism in LGADs with the Two Photon Absorption-Transient Current Technique. Nucl. Instrum. Methods Phys. Res. A Accel. Spectrometers Detect. Assoc. Equip. 2022, 1040, 167190. [Google Scholar] [CrossRef]
- Kolanoski, H.; Wermes, N. Teilchendetektoren; Springer: Berlin/Heidelberg, Germany, 2016. [Google Scholar]
- Moll, M. Displacement Damage in Silicon Detectors for High Energy Physics. IEEE Trans. Nucl. Sci. 2018, 65, 1561–1582. [Google Scholar] [CrossRef]
- Leo, W.R. Techniques for Nuclear and Particle Physics Experiments: A How-to Approach; Springer Science & Business Media: Berlin/Heidelberg, Germany, 2012. [Google Scholar]
- Kramberger, G. Advanced TCT Setups. In Proceedings of the 23rd International Workshop on Vertex Detectors, Doksy, Czech Republic, 15–19 September 2014. [Google Scholar] [CrossRef]








Disclaimer/Publisher’s Note: The statements, opinions and data contained in all publications are solely those of the individual author(s) and contributor(s) and not of MDPI and/or the editor(s). MDPI and/or the editor(s) disclaim responsibility for any injury to people or property resulting from any ideas, methods, instructions or products referred to in the content. |
© 2023 by the authors. Licensee MDPI, Basel, Switzerland. This article is an open access article distributed under the terms and conditions of the Creative Commons Attribution (CC BY) license (https://creativecommons.org/licenses/by/4.0/).
Share and Cite
Pape, S.; Currás, E.; Fernández García, M.; Moll, M. Techniques for the Investigation of Segmented Sensors Using the Two Photon Absorption-Transient Current Technique. Sensors 2023, 23, 962. https://doi.org/10.3390/s23020962
Pape S, Currás E, Fernández García M, Moll M. Techniques for the Investigation of Segmented Sensors Using the Two Photon Absorption-Transient Current Technique. Sensors. 2023; 23(2):962. https://doi.org/10.3390/s23020962
Chicago/Turabian StylePape, Sebastian, Esteban Currás, Marcos Fernández García, and Michael Moll. 2023. "Techniques for the Investigation of Segmented Sensors Using the Two Photon Absorption-Transient Current Technique" Sensors 23, no. 2: 962. https://doi.org/10.3390/s23020962
APA StylePape, S., Currás, E., Fernández García, M., & Moll, M. (2023). Techniques for the Investigation of Segmented Sensors Using the Two Photon Absorption-Transient Current Technique. Sensors, 23(2), 962. https://doi.org/10.3390/s23020962

