Sine-SSA-BP Ship Trajectory Prediction Based on Chaotic Mapping Improved Sparrow Search Algorithm
Abstract
1. Introduction
2. Trajectory Prediction Model
3. Theoretical Approach
3.1. BP Neural Network
3.2. Sparrow Search Algorithm (SSA)
3.3. Chaotic Mapping to Optimize Initial Populations
3.3.1. Mathematical Expressions for Sine Mapping
3.3.2. Mathematical Expressions for Logistic Mapping
3.3.3. Mathematical Expressions for Tent Mapping
3.4. Improved Sparrow Search Algorithm Based on Chaotic Mapping
- Step 1 Initialize the sparrow population according to the chaotic mapping of Equations (11)–(13), set the population size , iteration number , warning value , predator , scroungers proportion, and warning proportion.
- Step 2 Calculate individual fitness in the sparrow population, rank all sparrow individual fitnesses, and find the global optimal fitness and the global worst fitness .
- Step 3 Update the producer location information according to Equation (8).
- Step 4 Update the scrounger location information according to Equation (9).
- Step 5 Update the early-warning agents’ position information according to Equation (10).
- Step 6 Calculate the sparrow population fitness and reordering to update the sparrow population location.
- Step 7 Judge whether the algorithm reaches the maximum number of iterations or meets the requirements of solution accuracy. If it meets the requirements, the loop ends and the objective function is output; otherwise, return to step 2 until the end condition is met.

3.5. Fitness Function
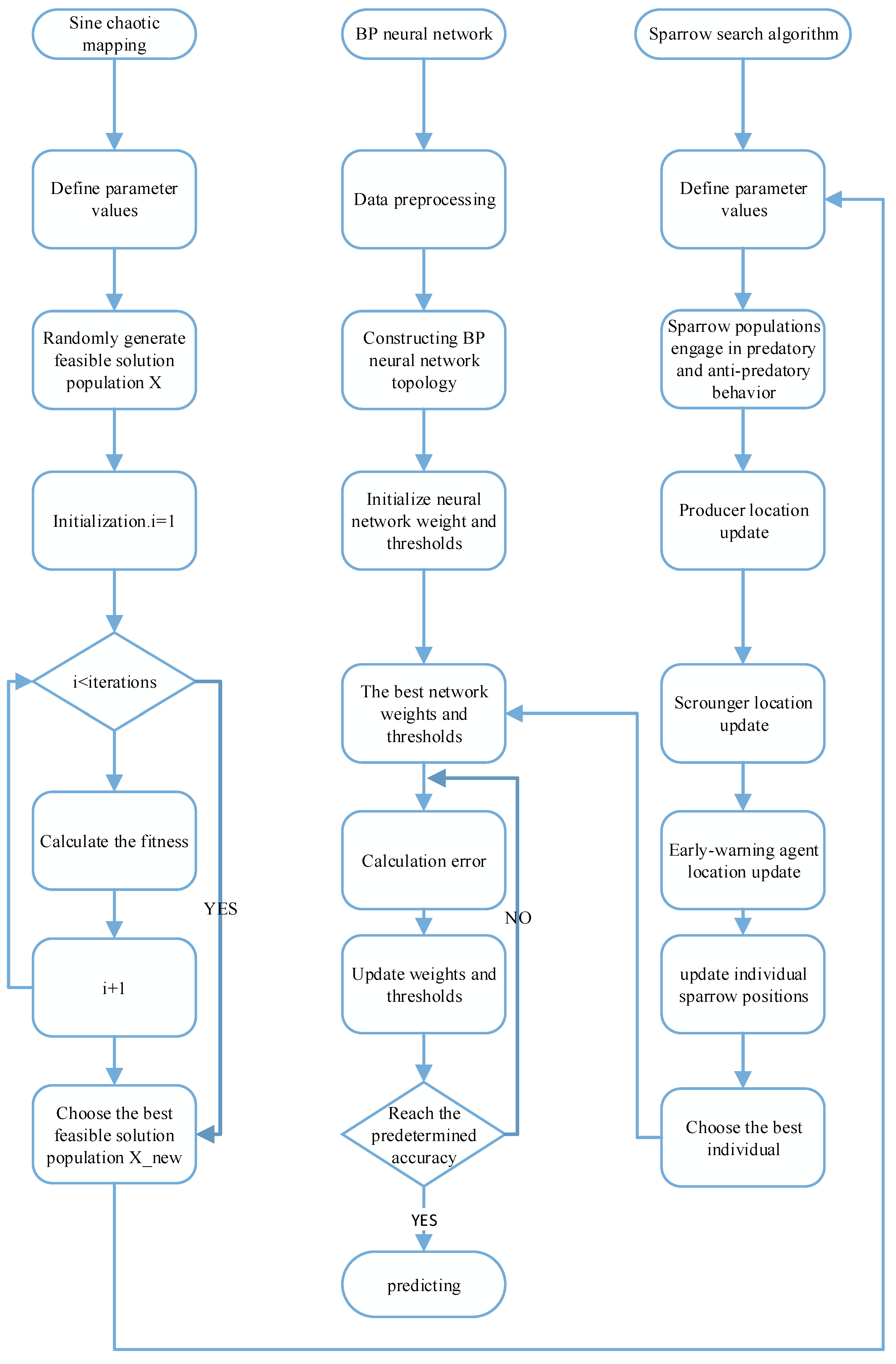
4. Sine-SSA-BP Model
- Step 1 Build a standard BP neural network, Sine-SSA initialization, including population size , number of producers , number of sparrows for reconnaissance warning , dimension of the objective function, upper and lower bounds , of initial values, the maximum number of iterations , or solution accuracy .
- Step 2 Input data and pre-processing.
- Step 3 Determine the topology of the neural network.
- Step 4 Determine the weights , thresholds , and nodes dim ( = dim) of the BP neural network.
- Step 5 Apply the Sine chaos mapping in Section 3.4 to initialize the population and generate an of -dimensional vectors .
- Step 6 Calculate the fitness of each sparrow, select the current optimal fitness and its corresponding position , and the current worst fitness and its corresponding position .
- Step 7 Select the top sparrows with the best adaptation as producers and the remaining as scroungers, and update the positions of producers and scroungers according to Equations (8) and (9).
- Step 8 Randomly select sparrows from the sparrow population for reconnaissance warning, and update their positions according to Equation (10).
- Step 9 Recalculate the fitness value for each sparrow after one iteration is completed.
- Step 10 Based on the current state of the sparrow population, update the optimal position and its fitness experienced by the whole population, and the worst position and its fitness .
- Step 11 Determine whether the algorithm runs to the maximum number of iterations or the solution accuracy. If yes, the loop ends and the result of the optimization search is output; otherwise, it returns to Step 7.
- Step 12 Output the optimal weight and threshold .

5. Experiment Design
5.1. Experiment Environment
5.2. Experimental Data and Preprocessing
- MMSI is not a 9-bit data value.
- AIS attribute information contains a large amount of data with null values.
- In this paper, the longitude range of the track point is set to [111.3051,115.2309], the latitude range is set to [29.4386,30.6876], the speed range is set to [2.218,28.738], the course range is set to [0–360], and the distribution of research data after AIS data cleaning is shown in Figure 7 and Figure 8.
- Treatment of missing values.
- Data normalization can prevent the weight of other data in the total data, due to the large difference in individual data values. Therefore, Min–Max Normalization is used to map each data between [0,1] to ensure that all data are treated fairly by the neural network, and the Min–Max Normalization transformation is shown in Equation (15):
5.3. Evaluation Metrics
6. Results and Analysis
6.1. Comparison of Prediction Accuracy of SSA-BP Models with Different Structures
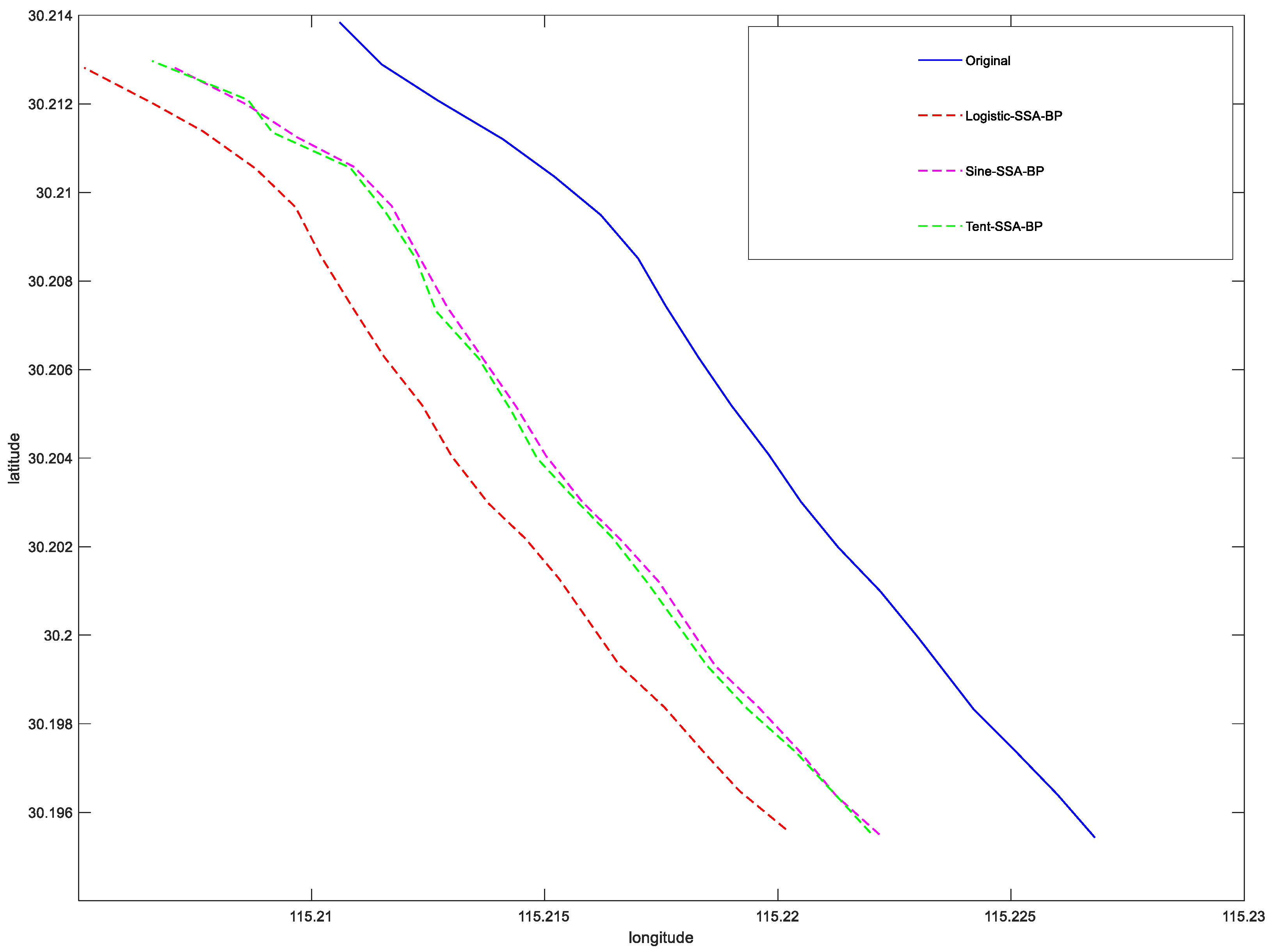
6.2. Different Models Predict Visualization
6.2.1. Scenario 1 Visualization Comparison Analysis
6.2.2. Scenario 2 Visualization Comparison Analysis
6.3. Analysis of Metrics of Different Models
6.4. Sine-SSA-BP Model Generalization Validation
7. Conclusions
Author Contributions
Funding
Institutional Review Board Statement
Informed Consent Statement
Data Availability Statement
Conflicts of Interest
References
- Li, W.G.; Zhao, X.M.; Sun, D.C. Prediction of trajectory based on modified Bayesian inference. J. Comput. Appl. 2013, 33, 1960–1963. (In Chinese) [Google Scholar] [CrossRef]
- Mathew, W.; Raposo, R.; Martins, B. Predicting Future Locations with Hidden Markov Models; Association for Computing Machinery: New York City, NY, USA, 2012. [Google Scholar] [CrossRef]
- Wiest, J.; Hoffken, M.; Kresel, U.; Dietmayer, K. Probabilistic trajectory prediction with Gaussian mixture models. In Proceedings of the Intelligent Vehicles Symposium (IV), Madrid, Spain, 3–7 June 2012. [Google Scholar]
- Wang, Q.; Zhang, Z.; Wang, Z.; Wang, Y.; Zhou, W. The trajectory prediction of spacecraft by grey method. Meas. Sci. Technol. 2016, 27, 085011. [Google Scholar] [CrossRef]
- Ren, Y.X.; Zhao, J.S.; Liu, W.; Wang, S.; Wei, Y. Ship navigation behavior prediction based on AIS data and LSTM network. J. Shanghai Marit. Univ. 2019, 40, 32–37. (In Chinese) [Google Scholar]
- Chen, K.D.; Zhu, Y.S.; Yan, K.; Cai, K.; Ren, Z.J.; Gao, D.W. The Ship Track Prediction Method Based on Long Short-term Memory Network. Ship Ocean. Eng. 2019, 48, 121–125. (In Chinese) [Google Scholar]
- Hu, Y.K.; Xia, W.; Hu, X.X.; Sun, H.; Wang, Y. Vessel trajectory prediction based on recurrent neural network. Syst. Eng. Electron. 2020, 42, 871–877. (In Chinese) [Google Scholar]
- Zhang, Z.; Ni, G.; Xu, Y. Ship Trajectory Prediction based on LSTM Neural Network. In Proceedings of the 2020 IEEE 5th Information Technology and Mechatronics Engineering Conference (ITOEC), Chongqing, China, 12–14 June 2020. [Google Scholar]
- Xu, T.T.; Liu, X.M.; Yang, X. BP neural network-based ship track real-time prediction. J. Dalian Marit. Univ. 2012, 38, 9–11. (In Chinese) [Google Scholar]
- Zhen, R.; Jin, Y.X.; Hu, Q.Y.; Shi, C.J.; Wang, S.Z. Vessel Behavior Prediction Based on AIS Data and BP Neural Network. Navig. China 2017, 40, 6–10. (In Chinese) [Google Scholar]
- Gao, T.H.; Xu, L.; Jin, L.J.; Ge, B. Vessel Trajectory Prediction Considering Difference Between Heading and Data Changes. J. Transp. Syst. Eng. Inf. Technol. 2021, 21, 90–94. (In Chinese) [Google Scholar]
- Qian, L.; Zhengy, Z.; Li, L.; Ma, Y.; Zhou, C.; Zhang, D. A New Method of Inland Water Ship Trajectory Prediction Based on Long Short-Term Memory Network Optimized by Genetic Algorithm. Appl. Sci. 2022, 12, 4073. [Google Scholar] [CrossRef]
- Liu, R.W.; Liang, M.; Nie, J.; Yang, W.; Lim, B.; Zhang, Y.; Guizani, M. Deep Learning-Powered Vessel Trajectory Prediction for Improving Smart Traffic Services in Maritime Internet of Things. IEEE Trans. Netw. Sci. Eng. 2022, 14, 2327. [Google Scholar] [CrossRef]
- Hornik, K.; Stinchcombe, M.; White, H. Multilayer feedforward networks are universal approximators. Neural Netw. 1989, 2, 359–366. [Google Scholar] [CrossRef]
- Wang, D.; Lu, H.; Yang, M.H. Online Object Tracking with Sparse Prototypes. IEEE Trans. Image Process. 2012, 22, 314–325. [Google Scholar] [CrossRef] [PubMed]
- Xue, J.; Shen, B. A novel swarm intelligence optimization approach: Sparrow search algorithm. Syst. Sci. Control Eng. 2020, 8, 22–34. [Google Scholar] [CrossRef]
- Wang, L.L. Application of Improved Bird Group Algorithm in Image Segmentation. Master’s Thesis, Jiangxi University of Science and Technology, Ganzhou, China, 2019. (In Chinese). [Google Scholar]
- Tian, J.F.; Peng, J.J.; Zuo, X.Y. Image Encryption Algorithm Based on Cyclic Shift and Multiple Chaotic maps. Comput. Sci. 2020, 47, 327–331. [Google Scholar]
- Ban, D.H.; Lv, X.; Wang, X.Y. Efficient Image Encryption Algorithm based on 1D Chaotic Map. Comput. Sci. 2020, 47, 278–284. [Google Scholar]
- Kang, S.Q.; Liang, Y.Q.; Wang, Y.J.; Mikulovich, V.I. Color Image Encryption Method Based on 2D-Variational Mode De-composition. Multimed. Tools Appl. 2019, 78, 17719–17738. [Google Scholar] [CrossRef]
- Liu, R.W.; Nie, J.; Garg, S.; Xiong, Z.; Zhang, Y.; Hossain, M.S. Data-driven trajectory quality improvement for promoting intelligent vessel traffic services in 6G-enabled maritime IoT systems. IEEE Internet Things J. 2021, 8, 5374–5385. [Google Scholar] [CrossRef]
- Hu, Y.K. Research on Vessel Trajectory Prediction Method based on Recurrent Neural Network. Master’s Thesis, Hefei University of Technology, Hefei, China, 2020. (In Chinese). [Google Scholar]
- Gong, Z.M.; Leng, W.H.; Meng, B. Research on Submarine Trajectory Tracking and Heading Prediction Algorithm. SHIP Eng. 2019, 41, 56–61. (In Chinese) [Google Scholar]
- Huang, M.F.; Wang, J.Y.; Xing, X.F.; Wang, Z.L.; Zhou, Y. Prediction Model of Petroleum Pollution Content in Seawater Based on LSTM Network and Remote Sensing. J. Guangdong Ocean. Univ. 2021, 41, 67–73. (In Chinese) [Google Scholar]













| Errors | Logistic + SSA-BP | Sine + SSA-BP | Tent + SSA-BP |
|---|---|---|---|
| MSE | |||
| RMSE | |||
| MSE(longitude) | |||
| RMSE(longitude) | |||
| MSE(latitude) | |||
| RMSE(latitude) | |||
| MAE(longitude) | |||
| MAPE(longitude) | |||
| MAE(latitude) | |||
| MAPE(latitude) |
| Errors | LSTM | SVM | SSA-BP | Sine-SSA-BP |
|---|---|---|---|---|
| MSE | ||||
| RMSE | ||||
| MSE(longitude) | ||||
| RMSE(longitude) | ||||
| MSE(latitude) | ||||
| RMSE(latitude) | ||||
| MAE(longitude) | ||||
| MAPE(longitude) | ||||
| MAE(latitude) | ||||
| MAPE(latitude) |
| Errors | LSTM | SVM | SSA-BP | Sine-SSA-BP |
|---|---|---|---|---|
| MSE | ||||
| RMSE | ||||
| MAE | ||||
| MAPE |
| Errors | LSTM | SVM | SSA-BP | Sine-SSA-BP |
|---|---|---|---|---|
| MSE | ||||
| RMSE | ||||
| MAE | ||||
| MAPE |
| Errors | LSTM | SVM | SSA-BP | Sine-SSA-BP |
|---|---|---|---|---|
| MSE(10,000) | ||||
| RMSE(10,000) | ||||
| MSE(6444) | ||||
| RMSE(6444) | ||||
| MAE(10,000) | ||||
| MAPE(10,000) | ||||
| MAE(6444) | ||||
| MAPE(6444) |
Disclaimer/Publisher’s Note: The statements, opinions and data contained in all publications are solely those of the individual author(s) and contributor(s) and not of MDPI and/or the editor(s). MDPI and/or the editor(s) disclaim responsibility for any injury to people or property resulting from any ideas, methods, instructions or products referred to in the content. |
© 2023 by the authors. Licensee MDPI, Basel, Switzerland. This article is an open access article distributed under the terms and conditions of the Creative Commons Attribution (CC BY) license (https://creativecommons.org/licenses/by/4.0/).
Share and Cite
Zheng, Y.; Li, L.; Qian, L.; Cheng, B.; Hou, W.; Zhuang, Y. Sine-SSA-BP Ship Trajectory Prediction Based on Chaotic Mapping Improved Sparrow Search Algorithm. Sensors 2023, 23, 704. https://doi.org/10.3390/s23020704
Zheng Y, Li L, Qian L, Cheng B, Hou W, Zhuang Y. Sine-SSA-BP Ship Trajectory Prediction Based on Chaotic Mapping Improved Sparrow Search Algorithm. Sensors. 2023; 23(2):704. https://doi.org/10.3390/s23020704
Chicago/Turabian StyleZheng, Yuanzhou, Lei Li, Long Qian, Bosheng Cheng, Wenbo Hou, and Yuan Zhuang. 2023. "Sine-SSA-BP Ship Trajectory Prediction Based on Chaotic Mapping Improved Sparrow Search Algorithm" Sensors 23, no. 2: 704. https://doi.org/10.3390/s23020704
APA StyleZheng, Y., Li, L., Qian, L., Cheng, B., Hou, W., & Zhuang, Y. (2023). Sine-SSA-BP Ship Trajectory Prediction Based on Chaotic Mapping Improved Sparrow Search Algorithm. Sensors, 23(2), 704. https://doi.org/10.3390/s23020704

