Exploration of Effective Time-Velocity Distribution for Doppler-Radar-Based Personal Gait Identification Using Deep Learning
Abstract
1. Introduction
- For gait-based person identification using deep learning and Doppler radar, tuning of micro-Doppler signatures is considered, and the appropriate settings are revealed.
- A comparison of the person identification accuracies of various time-velocity distributions showing that the conventionally used STFT spectrograms achieved the best accuracy.
- Twenty-five test subjects were successfully identified with an accuracy of approximately 99%.
2. Radar Gait Measurement and Person Identification Procedure
3. Generation of Various Time-Velocity Distribution Images
3.1. STFT Spectrogram
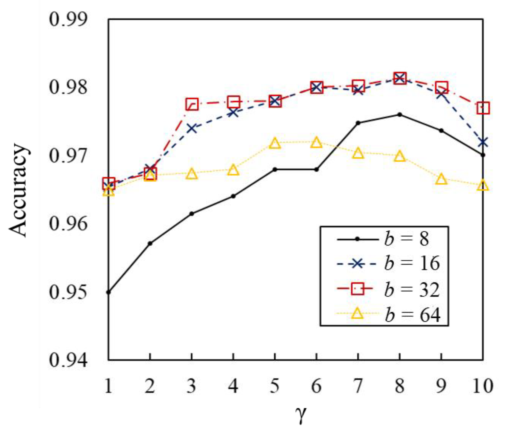
3.2. WT Scalogram
3.3. WVD
3.4. SPWVD
4. Evaluation and Discussion
4.1. Evaluation Method
4.2. Results for STFT
4.3. Results for WT
4.4. Results for WVD and SPWVD
4.5. Overall Comparison and Discussion
4.6. Comparison with Other Studies
5. Conclusions
Author Contributions
Funding
Institutional Review Board Statement
Informed Consent Statement
Data Availability Statement
Conflicts of Interest
References
- Masi, I.; Wu, Y.; Hassner, T.; Natarajan, P. Deep face recognition: A survey. In Proceedings of the 31st SIBGRAPI Conference on Graphics, Patterns and Images, Parana, Brazil, 29 October–1 November 2018; pp. 471–478. [Google Scholar]
- Zheng, J.; Ranjan, R.; Chen, C.H.; Chen, J.C.; Castillo, C.D.; Chellappa, R. An automatic system for unconstrained video-based face recognition. IEEE Trans. Biom. Behav. Identity Sci. 2020, 2, 194–209. [Google Scholar] [CrossRef]
- Sudharsan, B.; Corcoran, P.; Ali, M.I. Smart speaker design and implementation with biometric authentication and advanced voice interaction capability. In Proceedings of the 27th AIAI Irish Conference on Artificial Intelligence and Cognitive Science (AICS), Galway, Ireland, 5–6 December 2019; pp. 305–316. [Google Scholar]
- Menotti, D.; Chiachia, G.; Pinto, A.; Schwartz, W.R.; Pedrini, H.; Falcao, A.X.; Rocha, A. Deep representations for iris, face, and fingerprint spoofing detection. IEEE Trans. Inf. Forensics Secur. 2015, 10, 864–879. [Google Scholar] [CrossRef]
- Alyasseri, Z.A.A.; Alomari, O.A.; Papa, J.P.; Al-Betar, M.A.; Abdulkareem, K.H.; Mohammed, M.A.; Kadry, S.; Thinnukool, O.; Khuwuthyakorn, P. EEG channel selection based user identification via improved flower pollination algorithm. Sensors 2022, 22, 2092. [Google Scholar] [CrossRef] [PubMed]
- Singh, J.P.; Jain, S.; Arora, S.; Singh, U.P. A survey of behavioral biometric gait recognition: Current success and future perspectives. Arch. Comp. Methods Eng. 2021, 28, 107–148. [Google Scholar] [CrossRef]
- Patel, V.M.; Chellappa, R.; Chandra, D.; Barbello, B. Continuous User Authentication on Mobile Devices: Recent Progress and Remaining Challenges. IEEE Signal Process. Mag. 2016, 33, 49–61. [Google Scholar] [CrossRef]
- Khan, M.H.; Farid, M.S.; Grzegorzek, M. Vision-based approaches towards person identification using gait. Comput. Sci. Rev. 2021, 42, 100432. [Google Scholar] [CrossRef]
- Singh, J.P.; Jain, S.; Arora, S.; Singh, U.P. Vision-based gait recognition: A survey. IEEE Access 2018, 6, 70497–70527. [Google Scholar] [CrossRef]
- Bari, A.S.M.H.; Gavrilova, M.L. Artificial neural network based gait recognition using Kinect sensor. IEEE Access 2019, 7, 162708–162722. [Google Scholar] [CrossRef]
- Gianaria, E.; Grangetto, M. Robust gait identification using Kinect dynamic skeleton data. Multimed. Tool. Appl. 2019, 78, 13925–13948. [Google Scholar] [CrossRef]
- Malik, M.N.; Azam, M.A.; Ehatisham-Ul-Haq, M.; Ejaz, W.; Khalid, A. ADLAuth: Passive authentication based on activity of daily living using heterogeneous sensing in smart cities. Sensors 2019, 19, 2466. [Google Scholar] [CrossRef]
- Sprager, S.; Juric, M.B. An efficient HOS-based gait authentication of accelerometer data. IEEE Trans. Inf. Forensics Sec. 2015, 10, 1486–1498. [Google Scholar] [CrossRef]
- Saho, K.; Shioiri, K.; Inuzuka, K. Accurate person identification based on combined sit-to-stand and stand-to-sit movements measured using Doppler radars. IEEE Sens. J. 2020, 21, 4563–4570. [Google Scholar] [CrossRef]
- Islam, S.M.M.; Borić-Lubecke, O.; Zheng, Y.; Lubecke, V.M. Radar-based non-contact continuous identity authentication. Remote Sens. 2020, 12, 2279. [Google Scholar] [CrossRef]
- Chen, Z.; Li, G.; Fioranelli, F.; Griffiths, H. Personnel recognition and gait classification based on multistatic Micro-Doppler signatures using deep convolutional neural networks. IEEE Geosci. Remote Sens. Lett. 2018, 15, 669–673. [Google Scholar] [CrossRef]
- Ni, Z.; Huang, B. Human identification based on natural gait micro-Doppler signatures using deep transfer learning. IET Radar Sonar Navig. 2020, 14, 1640–1646. [Google Scholar] [CrossRef]
- Ni, Z.; Huang, B. Gait-based person identification and intruder detection using mm-wave sensing in multi-person scenario. IEEE Sens. J. 2022, 22, 9713–9723. [Google Scholar] [CrossRef]
- Lang, Y.; Wang, Q.; Yang, Y.; Hou, C.; He, Y.; Xu, J. Person identification with limited training data using radar micro-Doppler signatures. Microw. Opt. Technol. Lett. 2020, 62, 1060–1068. [Google Scholar] [CrossRef]
- Ni, Z.; Huang, B. Robust person gait identification based on limited radar measurements using set-based discriminative subspaces learning. IEEE Trans. Instrum. Meas. 2021, 71, 2501614. [Google Scholar] [CrossRef]
- Vandersmissen, B.; Knudde, N.; Jalalvand, A.; Couckuyt, I.; Bourdoux, A.; Neve, W.D.; Dhaene, T. Indoor person identification using a low-power FMCW radar. IEEE Trans. Geosci. Remote Sens. 2018, 56, 3941–3952. [Google Scholar] [CrossRef]
- Cao, P.; Xia, W.; Ye, M.; Zhang, J.; Zhou, J. Radar-ID: Human identification based on radar micro-Doppler signatures using deep convolutional neural networks. IET Radar Sonar Navig. 2018, 12, 729–734. [Google Scholar] [CrossRef]
- Yang, Y.; Hou, C.; Lang, Y.; Yue, G.; He, Y.; Xiang, W. Person identification using Micro-Doppler signatures of human motions and UWB radar. IEEE Microw. Wirel. Compon. Lett. 2019, 29, 366–368. [Google Scholar] [CrossRef]
- Yu, Z.; Zhang, D.; Wang, Z.; Han, Q.; Guo, B.; Wang, Q. SoDar: Multitarget gesture recognition based on SIMO Doppler radar. IEEE Trans. Hum. Mach. Syst. 2022, 52, 276–289. [Google Scholar] [CrossRef]
- Zhang, J. Analysis of human gait radar signal using reassigned WVD. Phys. Procedia 2012, 24, 1607–1614. [Google Scholar] [CrossRef]
- Manfredi, G.; Sáenz, I.D.H.; Menelle, M.; Saillant, S.; Ovarlez, J.P.; Thirion-Lefevre, L. Time-frequency characterisation of bistatic Doppler signature of a wooded area walk at L-band. IET Radar Sonar Navig. 2021, 15, 1573–1582. [Google Scholar] [CrossRef]
- Khare, S.K.; Bajaj, V. Time–frequency representation and convolutional neural network-based emotion recognition. IEEE Trans. Neural Netw. Learn. Syst. 2020, 32, 2901–2909. [Google Scholar] [CrossRef]
- Lopac, N.; Hržić, F.; Vuksanović, I.P.; Lerga, J. Detection of Non-Stationary GW Signals in High Noise from Cohen’s Class of Time–Frequency Representations Using Deep Learning. IEEE Access 2021, 10, 2408–2428. [Google Scholar] [CrossRef]
- Ullah, A.; Anwar, S.M.; Bilal, M.; Mehmood, R.M. Classification of arrhythmia by using deep learning with 2-D ECG spectral image representation. Remote Sens. 2020, 12, 1685. [Google Scholar] [CrossRef]
- Tang, L.; Jia, Y.; Qian, Y.; Yi, S.; Yuan, P. Human activity recognition based on mixed CNN With radar multi-spectrogram. IEEE Sens. J. 2021, 21, 25950–25962. [Google Scholar] [CrossRef]
- Arab, H.; Ghaffari, I.; Chioukh, L.; Tatu, S.O.; Dufour, S. A convolutional neural network for human motion recognition and classification using a millimeter-wave Doppler radar. IEEE Sens. J. 2022, 22, 4494–4502. [Google Scholar] [CrossRef]
- Su, B.Y.; Ho, K.C.; Rantz, M.J.; Skubic, M. Doppler radar fall activity detection using the wavelet transform. IEEE Trans. Biomed. Eng. 2015, 62, 865–875. [Google Scholar] [CrossRef]
- Dong, S.; Xia, W.; Li, Y.; Zhang, Q.; Tu, D. Radar-based human identification using deep neural network for long-term stability. IET Radar Sonar Navig. 2020, 14, 1521–1527. [Google Scholar] [CrossRef]
- Saho, K.; Shioiri, K.; Kudo, S.; Fujimoto, M. Estimation of Gait Parameters from Trunk Movement Measured by Doppler Radar. IEEE J. Electromagn. RF Microw. Med. Biol. 2022, 6, 461–469. [Google Scholar] [CrossRef]
- He, K.; Zhang, X.; Ren, S.; Sun, J. Deep residual learning for image recognition. In Proceedings of the IEEE Conference on Computer Vision and Pattern Recognition (CVPR), Las Vegas, NV, USA, 26 June–1 July 2016; pp. 770–778. [Google Scholar]
- Gurbuz, S.G.; Amin, M.G. Radar-based human-motion recognition with deep learning: Promising applications for indoor monitoring. IEEE Signal Process. Mag. 2019, 36, 16–28. [Google Scholar] [CrossRef]
- Lilly, J.M.; Olhede, S.C. Higher-Order Properties of Analytic Wavelets. IEEE Trans. Signal Process. 2009, 57, 146–160. [Google Scholar] [CrossRef]
- Fujimoto, M.; Chou, L.-S. Sagittal plane momentum control during walking in elderly fallers. Gait Posture 2016, 45, 121–126. [Google Scholar] [CrossRef]
- Pradhan, A.; Kuruganti, U.; Chester, V. Biomechanical parameters and clinical assessment scores for identifying elderly fallers based on balance and dynamic tasks. IEEE Access 2020, 8, 193532–193543. [Google Scholar] [CrossRef]











| No. of Participants N | |||
|---|---|---|---|
| Window Length WL | 5 | 15 | 25 |
| 4 samples (6.67 ms) | 88.0 ± 2.2% | 76.0 ± 2.0% | 70.4 ± 1.7% |
| 8 samples (13.3 ms) | 94.6 ± 1.8% | 93.6 ± 1.1% | 93.4 ± 0.7% |
| 16 samples (26.7 ms) | 98.4 ± 1.1% | 98.2 ± 0.3% | 98.8 ± 0.6% |
| 32 samples (53.3 ms) | 98.8 ± 0.3% | 99.3 ± 0.2% | 99.1 ± 0.4% |
| 64 samples (0.107 s) | 98.2 ± 0.9% | 98.9 ± 0.4% | 98.5 ± 0.4% |
| 128 samples (0.213 s) | 98.7 ± 0.8% | 98.0 ± 0.5% | 98.5 ± 0.2% |
| 256 samples (0.427 s) | 91.8 ± 1.4% | 92.8 ± 1.3% | 94.3 ± 0.6% |
| No. of Participants N | ||||
|---|---|---|---|---|
| b | γ | 5 | 15 | 25 |
| 8 | 3 | 96.0 ± 1.3% | 95.8 ± 0.6% | 96.8 ± 0.7% |
| 8 | 8 | 96.8 ± 1.1% | 96.7 ± 0.9% | 97.4 ± 0.7% |
| 16 | 3 | 96.7 ± 1.0% | 96.9 ± 0.7% | 97.4 ± 0.4% |
| 16 | 8 | 96.4 ± 0.3% | 97.0 ± 0.7% | 98.1 ± 0.4% |
| 32 | 3 | 97.0 ± 0.9% | 97.5 ± 0.8% | 97.7 ± 0.4% |
| 32 | 8 | 97.9 ± 1.0% | 97.8 ± 0.6% | 98.1 ± 0.3% |
| No. of Participants N | |||||
|---|---|---|---|---|---|
| α | β | 5 | 15 | 25 | |
| WVD | - | - | 94.2 ± 1.5% | 92.0 ± 1.1% | 92.9 ± 1.0% |
| SPWVD | 4 | 4 | 93.4 ± 1.6% | 94.2 ± 1.2% | 95.2 ± 0.8% |
| 4 | 64 | 95.6 ± 1.0% | 95.1 ± 0.9% | 95.0 ± 0.6% | |
| 64 | 4 | 92.7 ± 2.5% | 90.7 ± 1.3% | 93.1 ± 0.4% | |
| 64 | 64 | 94.5 ± 1.4% | 92.2 ± 0.9% | 92.1 ± 0.9% | |
| Study | No. of Persons | Time-Velocity Distribution | STFT Window Length [s] | Length of Each Input Data Point [s] | Accuracy [%] |
|---|---|---|---|---|---|
| [17] | 20 | STFT | 0.064 | 1 | 84.6 |
| 3 | 96.7 | ||||
| [19] | 4 | STFT | 0.2 | 1 | 96.8 |
| [22] | 4 | STFT | 0.13 | 2 | 97.1 |
| 20 | 68.9 | ||||
| [23] | 15 | STFT | 0.2 | 1 | 94.4 |
| [33] | 7 | STFT | Not provided | 4.5 | 86.4 |
| SPWVD | N/A | 4.5 | 85.8 | ||
| This study | 25 | WT | N/A | Approx. 1 s (1 gait cycle) | 98.1 |
| WVD | N/A | 92.9 | |||
| SPWVD | N/A | 95.2 | |||
| STFT | 0.013 | 93.4 | |||
| 0.053 | 99.1 | ||||
| 0.43 | 94.3 |
Disclaimer/Publisher’s Note: The statements, opinions and data contained in all publications are solely those of the individual author(s) and contributor(s) and not of MDPI and/or the editor(s). MDPI and/or the editor(s) disclaim responsibility for any injury to people or property resulting from any ideas, methods, instructions or products referred to in the content. |
© 2023 by the authors. Licensee MDPI, Basel, Switzerland. This article is an open access article distributed under the terms and conditions of the Creative Commons Attribution (CC BY) license (https://creativecommons.org/licenses/by/4.0/).
Share and Cite
Shioiri, K.; Saho, K. Exploration of Effective Time-Velocity Distribution for Doppler-Radar-Based Personal Gait Identification Using Deep Learning. Sensors 2023, 23, 604. https://doi.org/10.3390/s23020604
Shioiri K, Saho K. Exploration of Effective Time-Velocity Distribution for Doppler-Radar-Based Personal Gait Identification Using Deep Learning. Sensors. 2023; 23(2):604. https://doi.org/10.3390/s23020604
Chicago/Turabian StyleShioiri, Keitaro, and Kenshi Saho. 2023. "Exploration of Effective Time-Velocity Distribution for Doppler-Radar-Based Personal Gait Identification Using Deep Learning" Sensors 23, no. 2: 604. https://doi.org/10.3390/s23020604
APA StyleShioiri, K., & Saho, K. (2023). Exploration of Effective Time-Velocity Distribution for Doppler-Radar-Based Personal Gait Identification Using Deep Learning. Sensors, 23(2), 604. https://doi.org/10.3390/s23020604

