AUV-Aided Optical—Acoustic Hybrid Data Collection Based on Deep Reinforcement Learning
Abstract
1. Introduction
- We investigate an AUV-assisted underwater trajectory planning problem for data collection by integrating the complementary advantages of both acoustic and optical communication with data diversity to perform reliable and timely mobile data collection.
- We propose a DRL-based AUV-assisted multi-modal mobile data collection scheme in which we consider several key factors, such as data importance, packet size and data collection option, to minimize AoI and reduce energy consumption.
- We propose an optimal angle steering algorithm for AUV navigation to reduce energy consumption, in which the steering angle of the AUV is determined based on the AUV and sensor positions as well as the data collection option.
2. Related Works
3. Network Model
3.1. Network Architecture
3.2. Node Clustering Phase
3.3. Acoustic Data Collection Link
3.4. Optical Data Collection Link
4. Multi-Modal Data Collection Analysis
4.1. Problem Analysis
4.2. Definition of AoI
4.3. Energy Consumption Associated with Data Collection
5. Proposed DRL-Based Multi-Modal Data Collection Scheme
5.1. MDP Formulation
- State space : The status of AUV mobile collection is defined aswhere and are the coordinates and sailing orientation of the AUV at time slot t, and its position can be obtained via ultra-short baseline (USBL) [44]. is the difference between the remaining energy of the AUV and the AUV’s arrival at its final destination from its current position. records the Euclidean distance of the AUV to CH . is the data collection indicator related to the data collection option. When the AUV arrives at the data collection point , the AoI of node starts to be updated.
- Action space : In state , the action selection of the AUV is characterized by the target point with the transmission option , and the next target point , where is the set of CHs that have not been collected. Then, the action performed by AUV at state can be expressed as
- State transition probability : defines the transition probability from state to the next state under the action , and holds.
- Reward : Applying action in state , the AUV enters state and obtains an immediate reward . In the AUV-assisted multi-modal data collection scenario, the immediate reward can be expressed aswhere , are constants and holds, and when the AUV has collected the data of CH , the relevant reward is obtained according to the selected modem. is the Euclidean distance from the current position of the AUV to the target point. J denotes the reward at the end of the data collection process, including rewards for successful data collection and penalties for failure (e.g., exceeding maximum energy consumption and crossing boundaries).where is a constant and is the region in which the AUV can move within.
- Discount factor : is the future reward discount factor.
5.2. Multi-Modal Steering Angle Optimization Algorithm
- Case 1: The AUV is not through the region from the current position to the next target collection point ; i.e., the distance from point to the segment is greater than the UAC radius. As shown in Figure 2a, after determining the communication option, the points (or ) are obtained in circle (or ) to minimize the length of the AUV trajectory. For example, when the CH , and acoustic modem are selected, the AUV hover position for data collection and the steering angle can be calculated by (22) and (23), respectively. Similarly, when holds, the data collection hover point and the steering angle can be obtained using the same approach.
- Case 2: The trajectory of the AUV from the current coordinate to the next target CH sails through the communication region of . If the AUV crosses the UAC area without crossing the communication area , becomes shorter than but greater than . As shown in Figure 2b, the data collection hover point of the AUV is the vertical foot from to segment if UAC is selected as the communication option. Then, the steering angle of the AUV can be obtained by (23). If the selected communication option is UOC, the data collection point and steering angle are calculated following the method in Case 1. Furthermore, if is less than , i.e., the AUV crosses the UOC range of , then UOC is selected directly as the communication option. This is due to the superiority of UOC over UAC in terms of energy consumption and transmission time for the same AUV trajectory. The data collection hover point and steering angle of the AUV are similar to the method in Case 2.
| Algorithm 1 Proposed MSAO Algorithm |
|
5.3. DRL-Based Multi-Modal Path Planning Scheme
| Algorithm 2 DRL-Based Multi-Modal Data Collection Algorithm |
|
6. Results and Discussion
6.1. Simulation Setup
- Single Acoustic: The AUV exchanges data utilizing acoustic waves during data collection, and the hovering positions are determined by the UAC radius during the selection process of the steering angle. The AUV trajectories are learned using the DQN algorithm.
- Single Optical: The AUV can exchange data only by selecting optical waves and calculating the AUV hovering locations by means of the UOC radius. The DQN algorithm is used to learn the AUV trajectory.
- Energy Greedy: The AUV performs steering Algorithm 1 and then greedily selects the nodes with the shortest path length in the data collection sequence.
6.2. The Convergence Performance
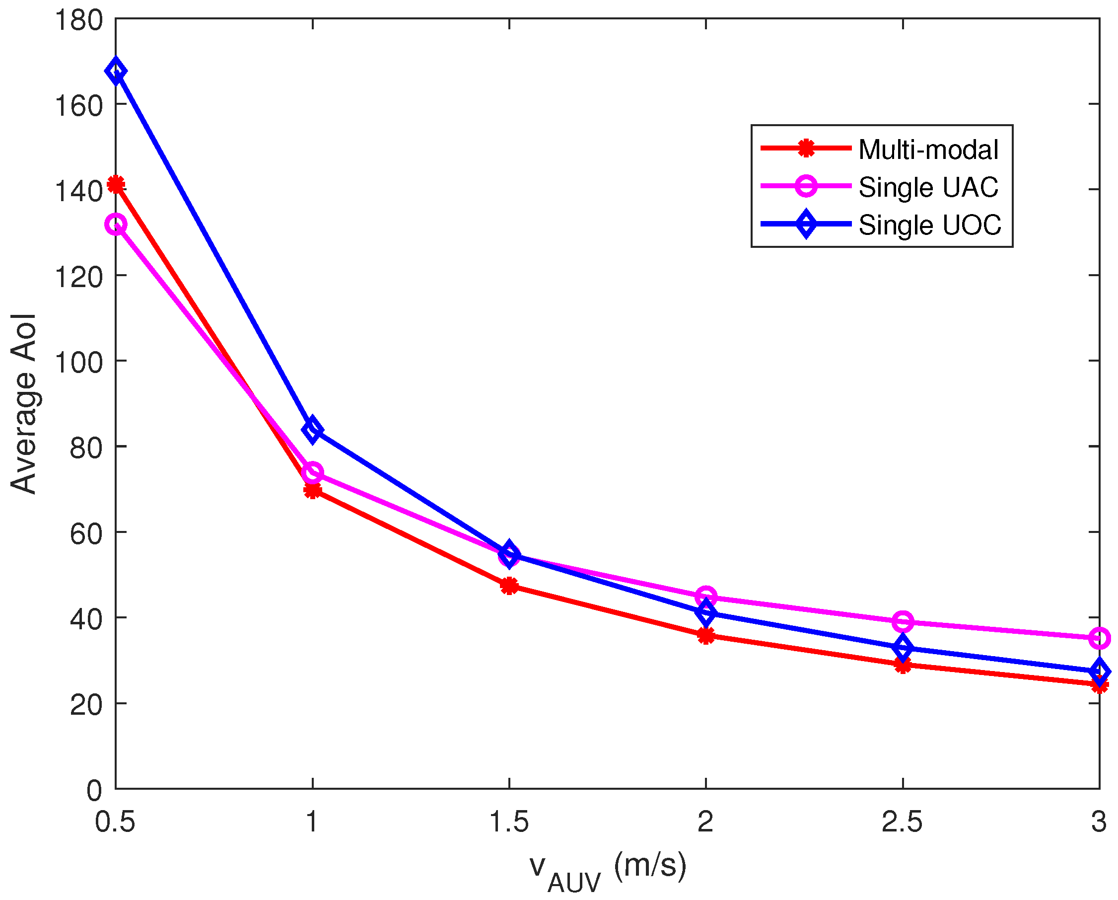
6.3. Impact of the AUV Velocity on Performance
6.4. Impact of the Data Arrival Rate on Performance
7. Conclusions
Author Contributions
Funding
Institutional Review Board Statement
Informed Consent Statement
Data Availability Statement
Acknowledgments
Conflicts of Interest
References
- Jahanbakht, M.; Xiang, W.; Hanzo, L.; Azghadi, M.R. Internet of underwater things and big marine data analytics—A comprehensive survey. IEEE Commun. Surveys Tuts. 2021, 23, 904–956. [Google Scholar] [CrossRef]
- Wei, X.; Guo, H.; Wang, X.; Wang, X.; Qiu, M. Reliable data collection techniques in underwater wireless sensor networks: A survey. IEEE Commun. Surveys Tuts. 2021, 24, 404–431. [Google Scholar] [CrossRef]
- Luo, H.; Wu, K.; Ruby, R.; Liang, Y.; Guo, Z.; Ni, L.M. Software-defined architectures and technologies for underwater wireless sensor networks: A survey. IEEE Commun. Surveys Tuts. 2018, 20, 2855–2888. [Google Scholar] [CrossRef]
- Luo, H.; Wang, J.; Bu, F.; Ruby, R.; Wu, K.; Guo, Z. Recent progress of air/water cross-boundary communications for underwater sensor networks: A review. IEEE Sens. J. 2022, 22, 8360–8382. [Google Scholar] [CrossRef]
- Fang, Z.; Wang, J.; Jiang, C.; Zhang, Q.; Ren, Y. AoI-inspired collaborative information collection for AUV-assisted internet of underwater things. IEEE Internet Things J. 2021, 8, 14559–14571. [Google Scholar] [CrossRef]
- Jawhar, I.; Mohamed, N.; Al-Jaroodi, J.; Zhang, S. An architecture for using autonomous underwater vehicles in wireless sensor networks for underwater pipeline monitoring. IEEE Trans. Ind. Informat. 2018, 15, 1329–1340. [Google Scholar] [CrossRef]
- Mahmoodi, K.A.; Uysal, M. AUV Trajectory Optimization for an Optical Underwater Sensor Network in the Presence of Ocean Currents. In Proceedings of the 2021 IEEE International Black Sea Conference on Communications and Networking (BlackSeaCom), Bucharest, Romania, 24–28 May 2021; pp. 1–6. [Google Scholar]
- Wang, X.; Luo, H.; Yang, Y.; Ruby, R.; Wu, K. Underwater Real-time Video Transmission via Optical Channels with Swarms of AUVs. In Proceedings of the 2021 IEEE 27th International Conference on Parallel and Distributed Systems (ICPADS), Beijing, China, 14–16 December 2021; pp. 859–866. [Google Scholar]
- Wang, J.; Li, J.; Yan, S.; Shi, W.; Yang, X.; Guo, Y.; Gulliver, T.A. A novel underwater acoustic signal denoising algorithm for Gaussian/non-Gaussian impulsive noise. IEEE Trans. Veh. Technol. 2020, 70, 429–445. [Google Scholar] [CrossRef]
- Akhoundi, F.; Jamali, M.V.; Hassan, N.B.; Beyranvand, H.; Minoofar, A.; Salehi, J.A. Cellular underwater wireless optical CDMA network: Potentials and challenges. IEEE Access 2016, 4, 4254–4268. [Google Scholar] [CrossRef]
- Wang, J.; Luo, H.; Ruby, R.; Liu, J.; Guo, K.; Wu, K. Reliable Water-Air Direct Wireless Communication: Kalman Filter-Assisted Deep Reinforcement Learning Approach. In Proceedings of the 2022 IEEE 47th Conference on Local Computer Networks (LCN), Edmonton, AB, Canada, 26–29 September 2022; pp. 233–238. [Google Scholar]
- Luo, H.; Xie, X.; Han, G.; Ruby, R.; Hong, F.; Liang, Y. Multimodal acoustic-RF adaptive routing protocols for underwater wireless sensor networks. IEEE Access 2019, 7, 134954–134967. [Google Scholar] [CrossRef]
- Zhao, Z.; Liu, C.; Qu, W.; Yu, T. An Energy Efficiency Multi-Level Transmission Strategy based on underwater multimodal communication in UWSNs. In Proceedings of the IEEE INFOCOM 2020-IEEE Conference on Computer Communications, Toronto, ON, Canada, 6–9 July 2020; pp. 1579–1587. [Google Scholar]
- Gauni, S.; Manimegalai, C.; Krishnan, K.M.; Shreeram, V.; Arvind, V.; Srinivas, T. Design and analysis of co-operative acoustic and optical hybrid communication for underwater communication. Wireless Pers. Commun. 2021, 117, 561–575. [Google Scholar] [CrossRef]
- Yu, T.; Liu, C.; Qu, W.; Zhao, Z. OD-PPS: An On-Demand Path Planning Scheme for Maximizing Data Completeness in Multi-modal UWSNs. In Proceedings of the International Conference on Wireless Algorithms, Systems, and Applications, Nanjing, China, 25–27 June 2021; pp. 16–28. [Google Scholar]
- Gjanci, P.; Petrioli, C.; Basagni, S.; Phillips, C.A.; Bölöni, L.; Turgut, D. Path finding for maximum value of information in multi-modal underwater wireless sensor networks. IEEE Trans. Mobile Comput. 2018, 17, 404–418. [Google Scholar] [CrossRef]
- Hu, Y.; Zheng, Y.; Liu, H.; Wang, Z.; Mao, Y.; Han, H. Mobile sink path planning research for underwater heterogeneous sensor network. In Proceedings of the 2018 Chinese Control And Decision Conference (CCDC), Shenyang, China, 9–11 June 2018; pp. 4443–4448. [Google Scholar]
- Han, S.; Noh, Y.; Liang, R.; Chen, R.; Cheng, Y.J.; Gerla, M. Evaluation of underwater optical-acoustic hybrid network. China Commun. 2014, 11, 49–59. [Google Scholar]
- Sun, Y.; Uysal-Biyikoglu, E.; Yates, R.D.; Koksal, C.E.; Shroff, N.B. Update or wait: How to keep your data fresh. IEEE Trans. Inf. Theory 2017, 63, 7492–7508. [Google Scholar] [CrossRef]
- Talak, R.; Karaman, S.; Modiano, E. Optimizing information freshness in wireless networks under general interference constraints. In Proceedings of the Eighteenth ACM International Symposium on Mobile Ad Hoc Networking and Computing, Los Angeles, CA, USA, 26–29 June 2018; pp. 61–70. [Google Scholar]
- Yi, M.; Wang, X.; Liu, J.; Zhang, Y.; Bai, B. Deep reinforcement learning for fresh data collection in UAV-assisted IoT networks. In Proceedings of the IEEE INFOCOM 2020—IEEE Conference on Computer Communications Workshops (INFOCOM WKSHPS), Toronto, ON, Canada, 6–9 July 2020; pp. 716–721. [Google Scholar]
- Basagni, S.; Di Valerio, V.; Gjanci, P.; Petrioli, C. MARLIN-Q: Multi-modal communications for reliable and low-latency underwater data delivery. Ad Hoc Netw. 2019, 82, 134–145. [Google Scholar] [CrossRef]
- Shen, Z.; Yin, H.; Jing, L.; Liang, Y.; Wang, J. A Cooperative Routing Protocol Based on Q-Learning for Underwater Optical-Acoustic Hybrid Wireless Sensor Networks. IEEE Sens. J. 2021, 22, 1041–1050. [Google Scholar] [CrossRef]
- Júnior, E.P.C.; Vieira, L.F.; Vieira, M.A. CAPTAIN: A data collection algorithm for underwater optical-acoustic sensor networks. Comput. Netw. 2020, 171, 1–11. [Google Scholar]
- Luo, H.; Xu, Z.; Wang, J.; Yang, Y.; Ruby, R.; Wu, K. Reinforcement Learning-Based Adaptive Switching Scheme for Hybrid Optical-Acoustic AUV Mobile Network. Wirel. Commun. Mob. Com. 2022, 2022, 1–14. [Google Scholar] [CrossRef]
- Liu, Z.; Meng, X.; Liu, Y.; Yang, Y.; Wang, Y. AUV-Aided Hybrid Data Collection Scheme Based on Value of Information for Internet of Underwater Things. IEEE Internet Things J. 2021, 9, 6944–6955. [Google Scholar] [CrossRef]
- Duan, R.; Du, J.; Jiang, C.; Ren, Y. Value-based hierarchical information collection for AUV-enabled internet of underwater things. IEEE Internet Things J. 2020, 7, 9870–9883. [Google Scholar] [CrossRef]
- Fang, Z.; Wang, J.; Jiang, C.; Wang, X.; Ren, Y. Average Peak Age of Information in Underwater Information Collection with Sleep-scheduling. IEEE Trans. Veh. Technol. 2022, 71, 10132–10136. [Google Scholar] [CrossRef]
- Khan, M.T.R.; Jembre, Y.Z.; Ahmed, S.H.; Seo, J.; Kim, D. Data freshness based AUV path planning for UWSN in the internet of underwater things. In Proceedings of the 2019 IEEE Global Communications Conference (GLOBECOM), Waikoloa, HI, USA, 9–13 December 2019; pp. 1–6. [Google Scholar]
- Al-Habob, A.A.; Dobre, O.A.; Poor, H.V. Age-optimal information gathering in linear underwater networks: A deep reinforcement learning approach. IEEE Trans. Veh. Technol. 2021, 70, 13129–13138. [Google Scholar] [CrossRef]
- Wu, T.; Wen, P.; Tang, S. Optimal scheduling strategy of AUV based on importance and age of information. Wirel. Netw. 2022, 1–9. [Google Scholar] [CrossRef]
- Huang, M.; Zhang, K.; Zeng, Z.; Wang, T.; Liu, Y. An AUV-assisted data gathering scheme based on clustering and matrix completion for smart ocean. IEEE Internet Things J. 2020, 7, 9904–9918. [Google Scholar] [CrossRef]
- Cheng, W.; Teymorian, A.Y.; Ma, L.; Cheng, X.; Lu, X.; Lu, Z. Underwater localization in sparse 3D acoustic sensor networks. In Proceedings of the IEEE INFOCOM 2008—The 27th Conference on Computer Communications, Phoenix, AZ, USA, 13–18 April 2008; pp. 236–240. [Google Scholar]
- Stojanovic, M.; Preisig, J. Underwater acoustic communication channels: Propagation models and statistical characterization. IEEE Commun. Mag. 2009, 47, 84–89. [Google Scholar] [CrossRef]
- Brekhovskikh, L.M.; Lysanov, Y.P.; Beyer, R.T. Fundamentals of Ocean Acoustics; Springer Science & Business Media: Berlin/Heidelberg, Germany, 2003. [Google Scholar]
- Stojanovic, M. On the relationship between capacity and distance in an underwater acoustic communication channel. In Proceedings of the ACM SIGMOBILE Mobile Computing and Communications Review, Los Angeles, CA, USA, 25 September 2007; ACM: Los Angeles, CA, USA, 2007; Volume 11, pp. 34–43. [Google Scholar]
- Elamassie, M.; Miramirkhani, F.; Uysal, M. Performance characterization of underwater visible light communication. IEEE Trans. Commun. 2018, 67, 543–552. [Google Scholar] [CrossRef]
- Giles, J.W.; Bankman, I.N. Underwater optical communications systems. Part 2: Basic design considerations. In Proceedings of the MILCOM 2005–2005 IEEE Military Communications Conference, Atlantic City, NJ, USA, 17–20 October 2005; pp. 1700–1705. [Google Scholar]
- Steinvall, O. Laser system range calculations and the Lambert W function. Appl. Opt. 2009, 48, B1–B7. [Google Scholar] [CrossRef]
- Farr, N.; Chave, A.; Freitag, L.; Preisig, J.; White, S.; Yoerger, D.; Titterton, P. Optical modem technology for seafloor observatories. In Proceedings of the OCEANS 2005 MTS/IEEE, Washington, DC, USA, 17–23 September 2005; pp. 928–934. [Google Scholar]
- Liu, J.; Wang, X.; Bai, B.; Dai, H. Age-optimal trajectory planning for UAV-assisted data collection. In Proceedings of the IEEE INFOCOM 2018-IEEE Conference on Computer Communications Workshops (INFOCOM WKSHPS), Honolulu, HI, USA, 15–19 April 2018; pp. 553–558. [Google Scholar]
- Phillips, A.; Haroutunian, M.; Murphy, A.J.; Boyd, S.; Blake, J.; Griffiths, G. Understanding the power requirements of autonomous underwater systems, Part I: An analytical model for optimum swimming speeds and cost of transport. Ocean Eng. 2017, 133, 271–279. [Google Scholar] [CrossRef]
- Furlong, M.E.; McPhail, S.D.; Stevenson, P. A concept design for an ultra-long-range survey class AUV. In Proceedings of the OCEANS 2007-Europe, Aberdeen, UK, 18–21 June 2007; pp. 1–6. [Google Scholar]
- Rigby, P.; Pizarro, O.; Williams, S.B. Towards geo-referenced AUV navigation through fusion of USBL and DVL measurements. In Proceedings of the OCEANS 2006, Boston, MA, USA, 18–21 September 2006; pp. 1–6. [Google Scholar]
- Su, N.; Wang, J.B.; Zeng, C.; Zhang, H.; Lin, M.; Li, G.Y. Unmanned-Surface-Vehicle-Aided Maritime Data Collection Using Deep Reinforcement Learning. IEEE Internet Things J. 2022, 9, 19773–19786. [Google Scholar] [CrossRef]
- Mnih, V.; Kavukcuoglu, K.; Silver, D.; Rusu, A.A.; Veness, J.; Bellemare, M.G.; Graves, A.; Riedmiller, M.; Fidjeland, A.K.; Ostrovski, G.; et al. Human-level control through deep reinforcement learning. Nature 2015, 518, 529–533. [Google Scholar] [CrossRef]
- dos Santos Mignon, A.; da Rocha, R.L.d.A. An adaptive implementation of ϵ-greedy in reinforcement learning. Procedia Comput. Sci. 2017, 109, 1146–1151. [Google Scholar] [CrossRef]








| Parameters | Description | Value (Unit) |
|---|---|---|
| f | Carrier frequency | 35 (kHz) |
| Bandwidth | 2 (kHz) | |
| k | Propagation loss | |
| UAC minimum SNR | 3 (dB) | |
| UAC data rate | (kbps) | |
| UOC data rate | (Gbps) | |
| Half of the transmitter beamwidth | 3 | |
| c | Extinction coefficient | (m) |
| Turbidity of water quality | ||
| Aperture diameter | (m) | |
| UOC minimum SNR | 3 (dB) | |
| Noise equivalent power | 1 (mW) | |
| Average transmitted power | (mW) | |
| Density of water | 997 (Kg/m) | |
| Efficiency of the AUV propulsion system | 100% | |
| Drag coefficient | ||
| Wetted surface area | (m) | |
| Experience replay buffer sizer | 500,000 | |
| Mini-batch size | 256 | |
| Reward discount factor | ||
| Update step | 1000 |
| Collected Data (Kbits) | Single UAC (mJ) | Single UOC (mJ) | Greedy (mJ) | Multi-Modal (mJ) |
|---|---|---|---|---|
| 20 | 6659.29 | 0.02 | 5650.31 | 5112.19 |
| 50 | 15,403.83 | 0.05 | 12,780.47 | 3968.71 |
| 80 | 24,081.09 | 0.08 | 20,852.35 | 5583.11 |
| 110 | 32,623.83 | 0.11 | 28,789.69 | 7668.36 |
| 140 | 41,099.29 | 0.14 | 379,37.81 | 0.14 |
| 170 | 49,103.91 | 0.16 | 46,346.02 | 0.16 |
| 200 | 52,399.92 | 0.19 | 55,359.61 | 0.19 |
Disclaimer/Publisher’s Note: The statements, opinions and data contained in all publications are solely those of the individual author(s) and contributor(s) and not of MDPI and/or the editor(s). MDPI and/or the editor(s) disclaim responsibility for any injury to people or property resulting from any ideas, methods, instructions or products referred to in the content. |
© 2023 by the authors. Licensee MDPI, Basel, Switzerland. This article is an open access article distributed under the terms and conditions of the Creative Commons Attribution (CC BY) license (https://creativecommons.org/licenses/by/4.0/).
Share and Cite
Bu, F.; Luo, H.; Ma, S.; Li, X.; Ruby, R.; Han, G. AUV-Aided Optical—Acoustic Hybrid Data Collection Based on Deep Reinforcement Learning. Sensors 2023, 23, 578. https://doi.org/10.3390/s23020578
Bu F, Luo H, Ma S, Li X, Ruby R, Han G. AUV-Aided Optical—Acoustic Hybrid Data Collection Based on Deep Reinforcement Learning. Sensors. 2023; 23(2):578. https://doi.org/10.3390/s23020578
Chicago/Turabian StyleBu, Fanfeng, Hanjiang Luo, Saisai Ma, Xiang Li, Rukhsana Ruby, and Guangjie Han. 2023. "AUV-Aided Optical—Acoustic Hybrid Data Collection Based on Deep Reinforcement Learning" Sensors 23, no. 2: 578. https://doi.org/10.3390/s23020578
APA StyleBu, F., Luo, H., Ma, S., Li, X., Ruby, R., & Han, G. (2023). AUV-Aided Optical—Acoustic Hybrid Data Collection Based on Deep Reinforcement Learning. Sensors, 23(2), 578. https://doi.org/10.3390/s23020578

