A Multitask Network for People Counting, Motion Recognition, and Localization Using Through-Wall Radar
Abstract
:1. Introduction
2. Related Work
2.1. People Counting
2.2. Motion Recognition
2.3. Human Localization
3. Signal Model
4. The Proposed Network
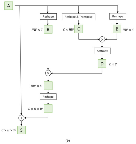
4.1. Attention Module
4.1.1. Multiscale Spatial Attention Module
4.1.2. Channel Attention Module
4.2. Static Human Localization Method
4.3. Loss Functions
5. Experiment and Results
5.1. Implementation Details
5.1.1. Datasets
5.1.2. Training Details
5.2. Performance of People Counting
5.3. Performance of Motion Recognition
5.4. Performance of Static Human Localization
5.5. Effect of on Model Performance
5.6. Ablation Study
6. Conclusions
Author Contributions
Funding
Institutional Review Board Statement
Informed Consent Statement
Data Availability Statement
Conflicts of Interest
Abbreviations
| TWR | Through-wall radar |
| 3D | Three-dimensional |
| 2D | Two-dimensional |
| 1D | One-dimensional |
| UWB | Ultra-wideband |
| MSCAM | Multiscale spatial and channel attention module |
| CAM | Channel attention module |
| MSAM | Multiscale spatial attention module |
| SFCW | Stepped-frequency continuous wave |
| RTD | Range–time–Doppler |
| RT | Range–time |
| RD | Range–Doppler |
| MALE | Mean absolute localization error |
References
- Nandakumar, R.; Takakuwa, A.; Kohno, T.; Gollakota, S. Covertband: Activity information leakage using music. Proc. ACM Interact. Mob. Wearable Ubiquitous Technol. 2017, 1, 87. [Google Scholar] [CrossRef]
- Tian, J.; Yongping, S.; Guolong, C.; Shisheng, G. Advances on penetrating imaging of building layout technique using low frequency radio waves. J. Radars 2020, 10, 342–359. [Google Scholar]
- Padalkar, M.; Pleshko, N. Wavelength-dependent penetration depth of near infrared radiation into cartilage. Analyst 2015, 140, 2093–2100. [Google Scholar] [CrossRef] [PubMed]
- Sengupta, A.; Jin, F.; Zhang, R.; Cao, S. mm-Pose: Real-time human skeletal posture estimation using mmWave radars and CNNs. IEEE Sens. J. 2020, 20, 10032–10044. [Google Scholar] [CrossRef]
- Wang, H.; Narayanan, R.M.; Zhou, Z.O. Through-wall imaging of moving targets using UWB random noise radar. IEEE Antennas Wirel. Propag. Lett. 2009, 8, 802–805. [Google Scholar] [CrossRef]
- Dubroca, R.; Fortino, N.; Dauvignac, J.Y.; Bellomo, L.; Pioch, S.; Saillard, M.; Lepetit, T.; De Rosny, J.; Prada, C.; Millot, P.; et al. Time reversal-based processing for human targets detection in realistic through-the-wall scenarios. In Proceedings of the 2011 8th European Radar Conference, Manchester, UK, 12–14 October 2011; pp. 1–4. [Google Scholar]
- Zhang, W.; Hoorfar, A.; Li, L. Through-the-wall target localization with time reversal music method. Prog. Electromagn. Res. 2010, 106, 75–89. [Google Scholar] [CrossRef]
- Hayashi, T.; Kidera, S. In corporation of Super-resolution Doppler Analysis and Compressed Sensing Filter for UWB Human Body Imaging Radar. In Proceedings of the 2018 International Symposium on Antennas and Propagation (ISAP), Busan, Republic of Korea, 23–26 October 2018; pp. 1–2. [Google Scholar]
- Ram, S.S.; Majumdar, A. Through-wall propagation effects on Doppler-enhanced frontal radar images of humans. In Proceedings of the 2016 IEEE Radar Conference (RadarConf), Philadelphia, PA, USA, 2–6 May 2016; pp. 1–6. [Google Scholar]
- Sasaki, Y.; Shang, F.; Kidera, S.; Kirimoto, T.; Saho, K.; Sato, T. Three-dimensional imaging method incorporating range points migration and Doppler velocity estimation for UWB millimeter-wave radar. IEEE Geosci. Remote Sens. Lett. 2016, 14, 122–126. [Google Scholar] [CrossRef]
- Zhang, W.; Hoorfar, A. Two-dimensional diffraction tomographic algorithm for through-the-wall radar imaging. Prog. Electromagn. Res. B 2011, 31, 205–218. [Google Scholar] [CrossRef]
- Zhang, W.; Hoorfar, A. Three-dimensional real-time through-the-wall radar imaging with diffraction tomographic algorithm. IEEE Trans. Geosci. Remote Sens. 2012, 51, 4155–4163. [Google Scholar] [CrossRef]
- Adib, F.; Hsu, C.Y.; Mao, H.; Katabi, D.; Durand, F. Capturing the human figure through a wall. ACM Trans. Graph. (TOG) 2015, 34, 1–13. [Google Scholar] [CrossRef]
- Camero. XAVER™ 1000 High Performance 3D Portable through Wall Imaging System. 2022. Available online: https://camero-tech.com/wp-content/uploads/2022/06/Camero-Xave-1000.pdf (accessed on 15 September 2023).
- Zhao, M.; Tian, Y.; Zhao, H.; Alsheikh, M.A.; Li, T.; Hristov, R.; Kabelac, Z.; Katabi, D.; Torralba, A. RF-based 3D skeletons. In Proceedings of the 2018 Conference of the ACM Special Interest Group on Data Communication, Budapest, Hungary, 20–25 August 2018; pp. 267–281. [Google Scholar]
- Song, Y.; Jin, T.; Dai, Y.; Song, Y.; Zhou, X. Through-wall human pose reconstruction via UWB MIMO radar and 3D CNN. Remote Sens. 2021, 13, 241. [Google Scholar] [CrossRef]
- Zheng, Z.; Pan, J.; Ni, Z.; Shi, C.; Ye, S.; Fang, G. Human posture reconstruction for through-the-wall radar imaging using convolutional neural networks. IEEE Geosci. Remote Sens. Lett. 2021, 19, 3505205. [Google Scholar] [CrossRef]
- Zheng, Z.; Pan, J.; Ni, Z.; Shi, C.; Zhang, D.; Liu, X.; Fang, G. Recovering human pose and shape from through-the-wall radar images. IEEE Trans. Geosci. Remote Sens. 2022, 60, 5112015. [Google Scholar] [CrossRef]
- Chen, V.C. Micro-Doppler effect of micromotion dynamics: A review. Indep. Compon. Anal. Wavel. Neural Netw. 2003, 5102, 240–249. [Google Scholar]
- Chen, V.C.; Li, F.; Ho, S.S.; Wechsler, H. Micro-Doppler effect in radar: Phenomenon, model, and simulation study. IEEE Trans. Aerosp. Electron. Syst. 2006, 42, 2–21. [Google Scholar] [CrossRef]
- Choi, J.W.; Yim, D.H.; Cho, S.H. People counting based on an IR-UWB radar sensor. IEEE Sens. J. 2017, 17, 5717–5727. [Google Scholar] [CrossRef]
- Bao, R.; Yang, Z. CNN-based regional people counting algorithm exploiting multi-scale range-time maps with an IR-UWB radar. IEEE Sens. J. 2021, 21, 13704–13713. [Google Scholar] [CrossRef]
- Choi, J.H.; Kim, J.E.; Jeong, N.H.; Kim, K.T.; Jin, S.H. Accurate people counting based on radar: Deep learning approach. In Proceedings of the 2020 IEEE Radar Conference (RadarConf20), Florence, Italy, 21–25 September 2020; pp. 1–5. [Google Scholar]
- Choi, J.H.; Kim, J.E.; Kim, K.T. Deep learning approach for radar-based people counting. IEEE Internet Things J. 2021, 9, 7715–7730. [Google Scholar] [CrossRef]
- Choi, J.H.; Kim, J.E.; Kim, K.T. People counting using IR-UWB radar sensor in a wide area. IEEE Internet Things J. 2020, 8, 5806–5821. [Google Scholar] [CrossRef]
- Kılıç, A.; Babaoğlu, İ.; Babalık, A.; Arslan, A. Through-wall radar classification of human posture using convolutional neural networks. Int. J. Antennas Propag. 2019, 2019, 7541814. [Google Scholar] [CrossRef]
- Ye, W.; Chen, H.; Li, B. Using an end-to-end convolutional network on radar signal for human activity classification. IEEE Sens. J. 2019, 19, 12244–12252. [Google Scholar] [CrossRef]
- Chen, H.; Ye, W. Classification of human activity based on radar signal using 1-D convolutional neural network. IEEE Geosci. Remote Sens. Lett. 2019, 17, 1178–1182. [Google Scholar] [CrossRef]
- He, Y.; Li, X.; Jing, X. A multiscale residual attention network for multitask learning of human activity using radar micro-Doppler signatures. Remote Sens. 2019, 11, 2584. [Google Scholar] [CrossRef]
- Wang, M.; Cui, G.; Huang, H.; Gao, X.; Chen, P.; Li, H.; Yang, H.; Kong, L. Through-wall human motion representation via autoencoder-self organized mapping network. In Proceedings of the 2019 IEEE Radar Conference (RadarConf), Boston, MA, USA, 22–26 April 2019; pp. 1–6. [Google Scholar]
- Yang, X.; Chen, P.; Wang, M.; Guo, S.; Jia, C.; Cui, G. Human motion serialization recognition with through-the-wall radar. IEEE Access 2020, 8, 186879–186889. [Google Scholar] [CrossRef]
- Wang, X.; Chen, P.; Xie, H.; Cui, G. Through-wall human activity classification using complex-valued convolutional neural network. In Proceedings of the 2021 IEEE Radar Conference (RadarConf21), Atlanta, GA, USA, 8–14 May 2021; pp. 1–4. [Google Scholar]
- Lin, X.; Ding, Y.; Xu, X.; Sun, Y. A multi-target detection algorithm using high-order differential equation. IEEE Sens. J. 2019, 19, 5062–5069. [Google Scholar] [CrossRef]
- Han, K.; Hong, S. Detection and localization of multiple humans based on curve length of I/Q signal trajectory using MIMO FMCW radar. IEEE Microw. Wirel. Compon. Lett. 2021, 31, 413–416. [Google Scholar] [CrossRef]
- Lee, J.; Park, K.; Kim, Y. Deep learning-based device-free localization scheme for simultaneous estimation of indoor location and posture using FMCW radars. Sensors 2022, 22, 4447. [Google Scholar] [CrossRef] [PubMed]
- Zhu, D.; Wang, C.; Han, C.; Guo, J.; Sun, L. TWLBR: Multi-Human Through-Wall Localization and Behavior Recognition Based on MIMO Radar. In Proceedings of the GLOBECOM 2022—2022 IEEE Global Communications Conference, Rio de Janeiro, Brazil, 4–8 December 2022; pp. 3186–3191. [Google Scholar]
- Wang, C.; Zhu, D.; Sun, L.; Han, C.; Guo, J. Real-time Through-Wall Multi-Human Localization and Behavior Recognition Based on MIMO Radar. IEEE Trans. Geosci. Remote Sens. 2023, 61, 3274207. [Google Scholar]
- Yang, S.; Kim, Y. Single 24-GHz FMCW Radar-Based Indoor Device-Free Human Localization and Posture Sensing With CNN. IEEE Sens. J. 2022, 23, 3059–3068. [Google Scholar] [CrossRef]
- He, K.; Zhang, X.; Ren, S.; Sun, J. Deep residual learning for image recognition. In Proceedings of the IEEE Conference on Computer Vision and Pattern Recognition, Las Vegas, NV, USA, 27–30 June 2016; pp. 770–778. [Google Scholar]
- Fu, J.; Liu, J.; Tian, H.; Li, Y.; Bao, Y.; Fang, Z.; Lu, H. Dual attention network for scene segmentation. In Proceedings of the IEEE/CVF Conference on Computer Vision and Pattern Recognition, Long Beach, CA, USA, 15–20 June 2019; pp. 3146–3154. [Google Scholar]
- Zhang, M.L.; Zhou, Z.H. A review on multi-label learning algorithms. IEEE Trans. Knowl. Data Eng. 2013, 26, 1819–1837. [Google Scholar] [CrossRef]
- Jia, Y.; Guo, Y.; Song, R.; Wang, G.; Chen, S.; Zhong, X.; Cui, G. ResNet-based counting algorithm for moving targets in through-the-wall radar. IEEE Geosci. Remote Sens. Lett. 2020, 18, 1034–1038. [Google Scholar] [CrossRef]










| Layer Name | Operator |
|---|---|
| conv, , 64, stride = 2 | |
| Stage 1 | max pool, , stride = 2 |
| Stage 2 | |
| Stage 3 | |
| Stage 4 |
| Wave Form | Frequency Range | Step Frequency | Bandwidth | PRF |
|---|---|---|---|---|
| SFCW | 1.900∼2.411 GHz | 10 MHz | 10 MHz | 11 |
| Model | Accuracy (%) | Precision (%) | Recall (%) | F1 Score (%) |
|---|---|---|---|---|
| ResNet14 [42] | 91.42 | 92.42 | 85.45 | 87.10 |
| PCNet [23] | 93.43 | 93.15 | 89.70 | 90.85 |
| RPCNet [24] | 79.77 | 54.29 | 65.04 | 59.16 |
| Ours (Test Set 1) | 96.94 | 97.09 | 95.40 | 96.16 |
| Ours (Test Set 2) | 99.73 | 99.45 | 99.78 | 99.62 |
| Model | Accuracy (%) | Precision (%) | Recall (%) | F1 Score (%) |
|---|---|---|---|---|
| ID-1-D-CNN [28] | 20.07 | 16.55 | 19.32 | 15.82 |
| AEN + GRU [31] | 86.26 | 87.41 | 87.03 | 86.29 |
| Complex-valued VGG16 [32] | 92.17 | 92.56 | 92.23 | 92.34 |
| Ours (Test Set 1) | 96.03 | 96.40 | 96.23 | 96.18 |
| Ours (Test Set 2) | 99.37 | 99.39 | 99.40 | 99.39 |
| Loss | (%) | (%) | (%) | MALE (m) |
|---|---|---|---|---|
| 95.95 | 94.47 | 72.96 | 0.0995 | |
| 96.94 | 96.03 | 94.42 | 0.1204 |
| Loss | (%) | (%) | (%) | MALE (m) |
|---|---|---|---|---|
| 99.04 | 98.22 | 82.92 | 0.0870 | |
| 99.73 | 99.37 | 96.19 | 0.0997 |
Disclaimer/Publisher’s Note: The statements, opinions and data contained in all publications are solely those of the individual author(s) and contributor(s) and not of MDPI and/or the editor(s). MDPI and/or the editor(s) disclaim responsibility for any injury to people or property resulting from any ideas, methods, instructions or products referred to in the content. |
© 2023 by the authors. Licensee MDPI, Basel, Switzerland. This article is an open access article distributed under the terms and conditions of the Creative Commons Attribution (CC BY) license (https://creativecommons.org/licenses/by/4.0/).
Share and Cite
Lin, J.; Hu, J.; Xie, Z.; Zhang, Y.; Huang, G.; Chen, Z. A Multitask Network for People Counting, Motion Recognition, and Localization Using Through-Wall Radar. Sensors 2023, 23, 8147. https://doi.org/10.3390/s23198147
Lin J, Hu J, Xie Z, Zhang Y, Huang G, Chen Z. A Multitask Network for People Counting, Motion Recognition, and Localization Using Through-Wall Radar. Sensors. 2023; 23(19):8147. https://doi.org/10.3390/s23198147
Chicago/Turabian StyleLin, Junyu, Jun Hu, Zhiyuan Xie, Yulan Zhang, Guangjia Huang, and Zengping Chen. 2023. "A Multitask Network for People Counting, Motion Recognition, and Localization Using Through-Wall Radar" Sensors 23, no. 19: 8147. https://doi.org/10.3390/s23198147
APA StyleLin, J., Hu, J., Xie, Z., Zhang, Y., Huang, G., & Chen, Z. (2023). A Multitask Network for People Counting, Motion Recognition, and Localization Using Through-Wall Radar. Sensors, 23(19), 8147. https://doi.org/10.3390/s23198147
