A Pressure-Based Multiphase Flowmeter: Proof of Concept
Abstract
:1. Introduction
2. Instrument Design
2.1. Concept and Design
2.2. Calculation Model
3. Experimental Setup and Test Envelope
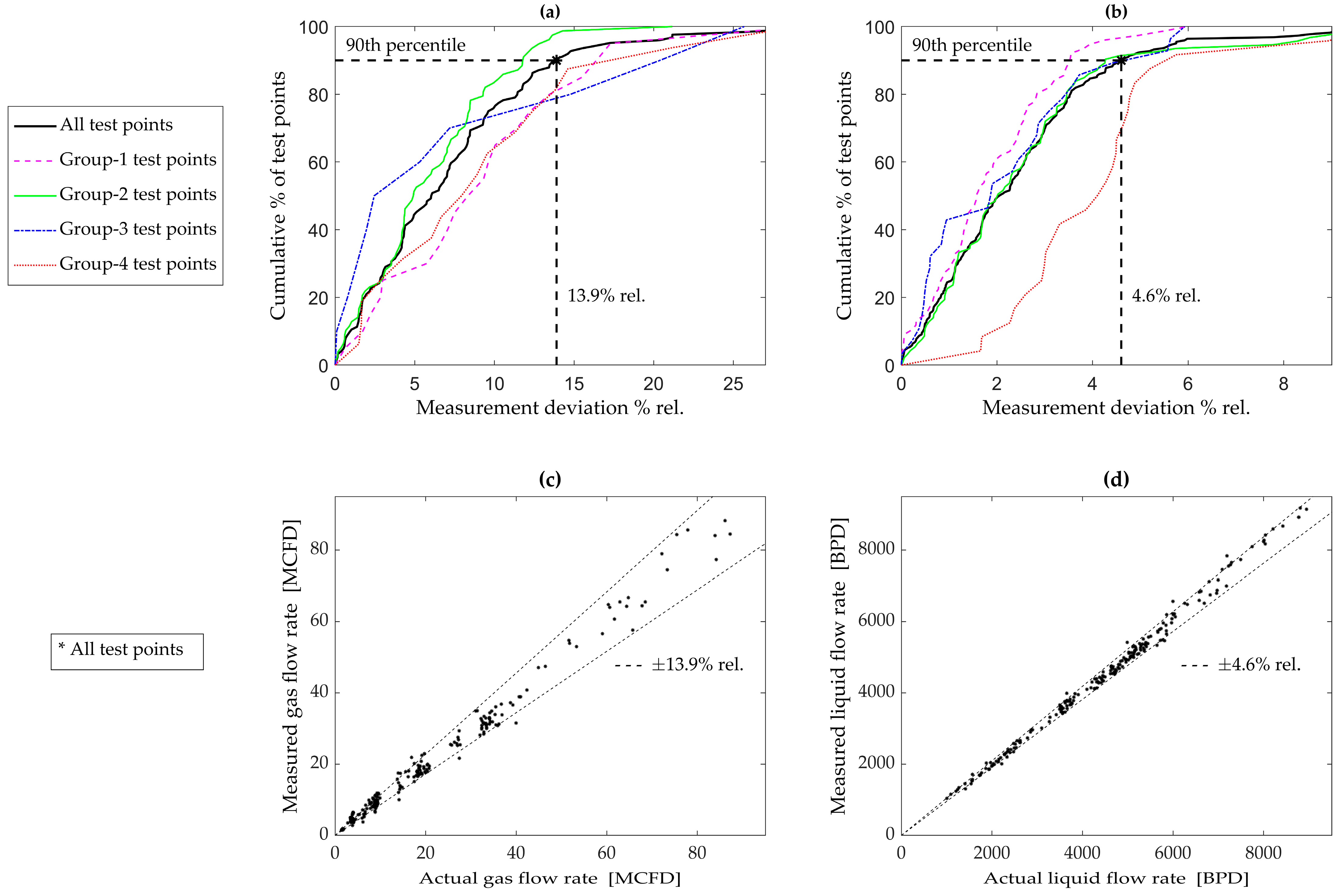
4. Results and Discussion
4.1. Flow Regime Identification
4.2. Measurement Accuracy
4.3. Discussion
5. Conclusions
Author Contributions
Funding
Institutional Review Board Statement
Informed Consent Statement
Data Availability Statement
Acknowledgments
Conflicts of Interest
References
- Meribout, M.; Azzi, A.; Ghendour, N.; Kharoua, N.; Khezzar, L.; AlHosani, E. Multiphase Flow Meters Targeting Oil & Gas Industries. Measurement 2020, 165, 108111. [Google Scholar]
- Corneliussen, S.; Couput, J.; Dahl, E.; Dykesteen, E.; Frøysa, K.; Malde, E.; Moestue, H.; Moksnes, P.O.; Scheers, L.; Tunheim, H. Handbook of Multiphase Flow Metering, revision 2; Norwegian Society for Oil and Gas Measurement (NFOGM): Oslo, Norway, 2005. [Google Scholar]
- Hansen, L.S.; Pedersen, S.; Durdevic, P. Multi-Phase Flow Metering in Offshore Oil and Gas Transportation Pipelines: Trends and Perspectives. Sensors 2019, 19, 2184. [Google Scholar] [CrossRef] [PubMed]
- Tromp, R.R.; Cerioni, L.M.C. Multiphase Flow Regime Characterization and Liquid Flow Measurement Using Low-Field Magnetic Resonance Imaging. Molecules 2021, 26, 3349. [Google Scholar] [CrossRef] [PubMed]
- Collins, A.; Clark, S. Evolution of Wet Gas Venturi Metering and Wet Gas Correction Algorithms. Meas. Control 2013, 46, 15–20. [Google Scholar] [CrossRef]
- Tjugum, S.; Sætre, C.; Johansen, G.A. Multibeam Gamma-Ray Measurements and Electrical Tomography for Improved Multiphase Flow Metering. In Proceedings of the 29th North Sea Flow Measurement Workshop, Tonsberg, Norway, 20–23 October 2011. [Google Scholar]
- Pinguet, B.G.; Roux, G.; Hopman, N. Field Experience in Multiphase Gas-Well Testing: The Benefit of the Combination of Venturi and Gamma Ray Fraction Meter. In Proceedings of the SPE Annual Technical Conference and Exhibition, San Antonio, TX, USA, 24 September 2006. [Google Scholar]
- Ma, Y.; Li, C.; Pan, Y.; Hao, Y.; Huang, S.; Cui, Y.; Han, W. A Flow Rate Measurement Method for Horizontal Oil-Gas-Water Three-Phase Flows Based on Venturi Meter, Blind Tee, and Gamma-Ray Attenuation. Flow Meas. Instrum. 2021, 80, 101965. [Google Scholar] [CrossRef]
- Reader-Harris, M.J.; Brunton, W.C.; Gibson, J.J.; Hodges, D.; Nicholson, I.G. Discharge Coefficients of Venturi Tubes with Standard and Non-Standard Convergent Angles. Flow Meas. Instrum. 2001, 12, 135–145. [Google Scholar] [CrossRef]
- Hall, A.R.W.; Reader-Harris, M.J. Use of Venturi Meters in Multiphase Flow Measurement. In Proceedings of the 17th North Sea Flow Measurement Workshop, Tonsberg, Norway, 25 October 1999. [Google Scholar]
- Shavrina, E.; Zeng, Y.; Khoo, B.C.; Nguyen, V. The Investigation of Gas Distribution Asymmetry Effect on Coriolis Flowmeter Accuracy at Multiphase Metering. Sensors 2022, 22, 7739. [Google Scholar] [CrossRef] [PubMed]
- Unalmis, O.H.; Raul, V.V.; Ramakrishnan, V. Subsea Multiphase Flowmeter: Performance Tests in Multiphase Flow Loop. In Proceedings of the SPE Asia Pacific Oil & Gas Conference and Exhibition, Perth, Australia, 25 October 2016. [Google Scholar]
- Kouba, G.; Wang, S.; Gomez, L.; Mohan, R.; Shoham, O. Review of the State-of-the-Art Gas/Liquid Cylindrical Cyclone (GLCC) Technology—Field Applications. In Proceedings of the International Oil & Gas Conference and Exhibition, Beijing, China, 5 December 2006. [Google Scholar]
- Ramakrishnan, V.; Arsalan, M.; Deffenbaugh, M. A Non-Nuclear Inline Densitometer for Multiphase Flows. Meas. Sci. Technol. 2023, 34, 077002. [Google Scholar] [CrossRef]
- Zhang, X.; Speranza, A.; Mustafa, M.; Streeton, R. Improving Reliability of Multiphase Flow Metering with Thermodynamic Models and Correct Field Configuration. In Proceedings of the AIChE Spring Meeting, San Antonio, TX, USA, 26–30 March 2017. [Google Scholar]
- Reader-Harris, M.J.; McNaught, J.M. Best Practice Guide: Impulse Lines for Differential-Pressure Flowmeters; TUV Nel Ltd.: East Kilbride, UK, 2005. [Google Scholar]
- Razali, M.A.B.; Xie, C.; Loh, W.L. Experimental Investigation of Gas-Liquid Flow in a Vertical Venturi Installed Downstream of a Horizontal Blind Tee Flow Conditioner and the Flow Regime Transition. Flow Meas. Instrum. 2021, 80, 101961. [Google Scholar] [CrossRef]
- Brunton, S.L.; Noack, B.R.; Koumoutsakos, P. Machine Learning for Fluid Mechanics. Annu. Rev. Fluid Mech. 2020, 52, 477–508. [Google Scholar] [CrossRef]
- Zhou, F.; Henry, M.; Tombs, M. Laboratory and Field Trials of Coriolis Mass Flow Metering for Three-Phase Flow Measurement. In Proceedings of the 8th International Symposium on Measurement Techniques for Multiphase Flows, Guangzhou, China, 13–15 December 2013. [Google Scholar]
- Hogendoorn, J.; Boer, A.; Zoeteweij, M.; Bousche, O.; Tromp, R.; de Leeuw, R.; Moeleker, P.; Appel, M.; de Jong, H. Magnetic Resonance Multiphase Flow Meter: Gas Flow Measurement Principle and Wide Range Testing Results. In Proceedings of the 32nd North Sea Flow Measurement Workshop, St Andrews, UK, 21–24 October 2014. [Google Scholar]





| Literature References | Measurement Principle for Total Flow Rate | Measurement Principle for Mixture Density |
|---|---|---|
| [6,7,8] | Differential pressure across area reduction | Gamma-ray attenuation |
| [11] | Coriolis (vibrating tubes): deformation | Coriolis (vibrating tubes): natural frequency |
| [12] | Pipe strain (cross correlation): flow velocity | Pipe strain (cross correlation): sound speed |
| [13] | Gas–liquid cyclonic separator, with a Coriolis meter in the liquid line and an orifice plate in the gas line | |
| Parameter | Range |
|---|---|
| Line pressure, P | ~200 psig |
| Line temperature, T | ~80 F |
| Liquid flow rate, LFR | 1000–9000 BPD |
| Gas flow rate, GFR | 0–90 MCFD |
| Gas volume fraction, GVF | 6–93% |
| Water liquid ratio, WLR | 0–100% |
Disclaimer/Publisher’s Note: The statements, opinions and data contained in all publications are solely those of the individual author(s) and contributor(s) and not of MDPI and/or the editor(s). MDPI and/or the editor(s) disclaim responsibility for any injury to people or property resulting from any ideas, methods, instructions or products referred to in the content. |
© 2023 by the authors. Licensee MDPI, Basel, Switzerland. This article is an open access article distributed under the terms and conditions of the Creative Commons Attribution (CC BY) license (https://creativecommons.org/licenses/by/4.0/).
Share and Cite
Ramakrishnan, V.; Arsalan, M. A Pressure-Based Multiphase Flowmeter: Proof of Concept. Sensors 2023, 23, 7267. https://doi.org/10.3390/s23167267
Ramakrishnan V, Arsalan M. A Pressure-Based Multiphase Flowmeter: Proof of Concept. Sensors. 2023; 23(16):7267. https://doi.org/10.3390/s23167267
Chicago/Turabian StyleRamakrishnan, Vijay, and Muhammad Arsalan. 2023. "A Pressure-Based Multiphase Flowmeter: Proof of Concept" Sensors 23, no. 16: 7267. https://doi.org/10.3390/s23167267
APA StyleRamakrishnan, V., & Arsalan, M. (2023). A Pressure-Based Multiphase Flowmeter: Proof of Concept. Sensors, 23(16), 7267. https://doi.org/10.3390/s23167267

