Research on Global Optimization Algorithm of Integrated Energy and Thermal Management for Plug-In Hybrid Electric Vehicles
Abstract
1. Introduction
2. Control-Oriented Model of PHEV
2.1. Vehicle Model
2.2. Battery Model
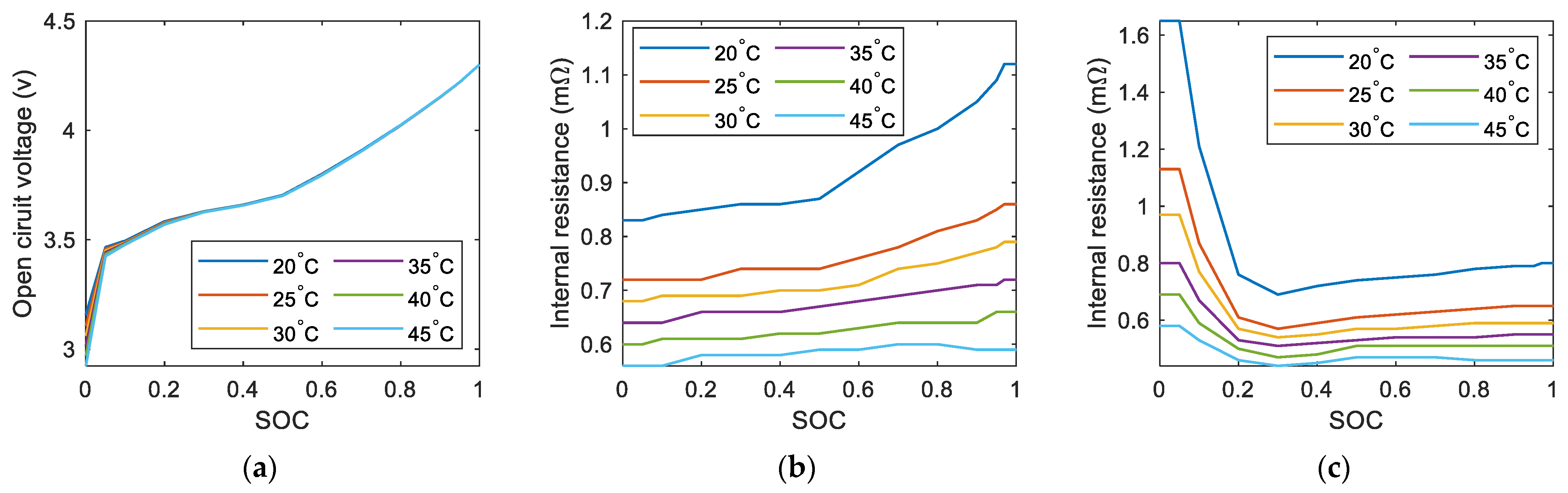
2.2.1. Equivalent Circuit Model
2.2.2. Thermal Model
2.2.3. Degradation Model
3. IETMS Global Optimization Based on AGO–DP
3.1. Statement of IETMS Global Optimization Problem
3.2. Dynamic Programming Principle
- Calculate cost-to-go function of each state in the terminal state space:
- Calculate cost-to-go function of each state at time :where is the optimal cost-to-go function from the state at the time stage to the terminal state. The recursive relationship is as follows:
- According to the optimal cost-to-go function at time , solve the corresponding optimal control :
- Repeat the above steps until the initial state, and complete the backward optimization process of the DP algorithm. Then, through the state equation of the PHEV system, the optimal state and optimal control sequences of each time stage are solved in a forward direction to determine the global optimal solution.
3.3. Adaptive Grid Optimization of State Variables
- The variation range of SOC at each time stage is related to the maximum and minimum output power of the battery at that time. The output power limit of the battery at time can be calculated according to Equations (20) and (21). A positive battery output power indicates that the battery is discharging and the current is also positive; On the contrary, a negative output power indicates that the battery is charging, and the current is also negative.
- After determining the actual limit of the battery output power, the recursive calculation in a forward direction can be performed from the SOC initial state. Then the upper and lower limits of SOC at the next time stage correspond to the minimum output power and maximum output power of the battery, which is expressed as:where and are the corresponding battery output currents when operating at maximum and minimum output power at time .
- The recursive calculation in a backward direction is performed from the SOC terminal state. The upper and lower limits of SOC at the previous time correspond to the maximum output power and minimum output power of the battery, respectively, which is expressed as:
- According to the above method, the forward recursive boundary and the backward recursive boundary of SOC are obtained, respectively. The optimized limits of the SOC feasible region can be calculated by Equations (26) and (27), as shown in Figure 8.
- According to the SOC feasible region range at each time stage, the SOC grid interval is adaptively adjusted to ensure that all state grid points are within the feasible region. In this paper, the state grid points are evenly distributed, and the number of SOC grid points in the global optimization problem is set to . The position of SOC grid points can be calculated by:
- If the maximum output power and minimum output power of the battery are both positive or negative at time , the battery must be discharged or charged at this time to meet the vehicle demand power. At this time, the maximum and minimum heat generation of the battery are:If the plus–minus sign of the maximum battery output power and the minimum battery output power are opposite, it means that the battery does not need to be operated at this moment, and the demand power can be met only by the engine. Hence, the maximum heat generation can still be calculated according to Equation (29), while the minimum heat generation is 0.
- The battery heat exchange boundary at each moment can be calculated by:
- The recursive calculation in a forward direction is performed from the battery temperature’s initial state. The upper and lower boundaries of battery temperature at each time can be calculated by:
- The recursive calculation in a backward direction is performed from the battery temperature terminal state. The boundaries of battery temperature can be expressed as:
- According to the forward recursive boundary and backward recursive boundary , the limits of the battery temperature feasible region can be calculated by:
- Similarly, the state grid points of battery temperature are evenly distributed. The number of grid points of battery temperature is set to , and the position of grid points is:
4. Simulation Results and Discussion
4.1. Comparison of Global Optimization Algorithms
4.2. IETMS Energy-Saving Potential Analysis
5. Conclusions
Author Contributions
Funding
Institutional Review Board Statement
Informed Consent Statement
Data Availability Statement
Conflicts of Interest
Abbreviations
| AC | Air conditioning |
| AGO–DP | Dynamic programming based on adaptive grid optimization |
| CD/CS | Charge depleting and charge sustaining |
| DP | Dynamic programming |
| EMS | Energy management strategy |
| HWFET | Highway fuel economy test driving cycle |
| IETMS | Integrated energy and thermal management strategy |
| PHEV | Plug-in hybrid electric vehicle |
| PID | Proportion integral differential |
| SOC | State of charge |
| SUV | Sport-utility vehicle |
| TMS | Thermal management strategy |
| UDDS | Urban dynamometer driving schedule |
| WLTC | World light-duty vehicle test cycle |
References
- Zou, W.; Sun, Y.; Gao, D.-C.; Zhang, X.; Liu, J. A review on integration of surging plug-in electric vehicles charging in energy-flexible buildings: Impacts analysis, collaborative management technologies, and future perspective. Appl. Energy 2023, 331, 120393. [Google Scholar] [CrossRef]
- Cusenza, M.A.; Bobba, S.; Ardente, F.; Cellura, M.; Di Persio, F. Energy and environmental assessment of a traction lithium-ion battery pack for plug-in hybrid electric vehicles. J. Clean. Prod. 2019, 215, 634–649. [Google Scholar] [CrossRef] [PubMed]
- Jin, Y.; Yang, L.; Du, M.; Qiang, J.; Li, J.; Chen, Y.; Tu, J. Two-scale based energy management for connected plug-in hybrid electric vehicles with global optimal energy consumption and state-of-charge trajectory prediction. Energy 2023, 267, 126498. [Google Scholar] [CrossRef]
- Zhang, F.; Hu, X.; Langari, R.; Cao, D. Energy management strategies of connected HEVs and PHEVs: Recent progress and outlook. Prog. Energy Combust. Sci. 2019, 73, 235–256. [Google Scholar] [CrossRef]
- Sun, X.; Fu, J.; Yang, H.; Xie, M.; Liu, J. An energy management strategy for plug-in hybrid electric vehicles based on deep learning and improved model predictive control. Energy 2023, 269, 126772. [Google Scholar] [CrossRef]
- Liu, Y.; Liang, J.; Song, J.; Ye, J. Research on Energy Management Strategy of Fuel Cell Vehicle Based on Multi-Dimensional Dynamic Programming. Energies 2022, 15, 5190. [Google Scholar] [CrossRef]
- Pu, S.; Chu, L.; Hu, J.; Li, S.; Hou, Z. An Equivalent Consumption Minimization Strategy for a Parallel Plug-In Hybrid Electric Vehicle Based on an Environmental Perceiver. Sensors 2022, 22, 9621. [Google Scholar] [CrossRef]
- Salmasi, F.R. Control Strategies for Hybrid Electric Vehicles: Evolution, Classification, Comparison, and Future Trends. IEEE Trans. Veh. Technol. 2007, 56, 2393–2404. [Google Scholar] [CrossRef]
- Wang, Y.; Sun, Z.; Chen, Z. Development of energy management system based on a rule-based power distribution strategy for hybrid power sources. Energy 2019, 175, 1055–1066. [Google Scholar] [CrossRef]
- Ming, L.; Ying, Y.; Liang, L.; Yao, L.; Zhou, W. Energy Management Strategy of a Plug-in Parallel Hybrid Electric Vehicle Using Fuzzy Control. Energy Procedia 2017, 105, 2660–2665. [Google Scholar] [CrossRef]
- Wu, G.; Wang, C.; Zhao, W.; Meng, Q. Integrated energy management of hybrid power supply based on short-term speed prediction. Energy 2023, 262, 125620. [Google Scholar] [CrossRef]
- Guo, L.; Zhang, X.; Zou, Y.; Guo, N.; Li, J.; Du, G. Cost-optimal energy management strategy for plug-in hybrid electric vehicles with variable horizon speed prediction and adaptive state-of-charge reference. Energy 2021, 232, 120993. [Google Scholar] [CrossRef]
- Li, S.; Hu, M.; Gong, C.; Zhan, S.; Qin, D. Energy Management Strategy for Hybrid Electric Vehicle Based on Driving Condition Identification Using KGA-Means. Energies 2018, 11, 1531. [Google Scholar] [CrossRef]
- Li, S.; Chu, L.; Hu, J.; Pu, S.; Li, J.; Hou, Z.; Sun, W. A Novel A-ECMS Energy Management Strategy Based on Dragonfly Algorithm for Plug-in FCEVs. Sensors 2023, 23, 1192. [Google Scholar] [CrossRef]
- Yao, Y.; Wang, J.; Zhou, Z.; Li, H.; Liu, H.; Li, T. Grey Markov prediction-based hierarchical model predictive control energy management for fuel cell/battery hybrid unmanned aerial vehicles. Energy 2023, 262, 125405. [Google Scholar] [CrossRef]
- Yang, N.; Ruan, S.; Han, L.; Liu, H.; Guo, L.; Xiang, C. Reinforcement learning-based real-time intelligent energy management for hybrid electric vehicles in a model predictive control framework. Energy 2023, 270, 126971. [Google Scholar] [CrossRef]
- Zhang, Y.; Chen, Z.; Li, G.; Liu, Y.; Huang, Y. A Novel Model Predictive Control Based Co-Optimization Strategy for Velocity Planning and Energy Management of Intelligent PHEVs. IEEE Trans. Veh. Technol. 2022, 71, 12667–12681. [Google Scholar] [CrossRef]
- Xu, X.; Zhao, J.; Zhao, J.; Shi, K.; Dong, P.; Wang, S.; Liu, Y.; Guo, W.; Liu, X. Comparative study on fuel saving potential of series-parallel hybrid transmission and series hybrid transmission. Energy Convers. Manag. 2022, 252, 114970. [Google Scholar] [CrossRef]
- Zhou, W.; Cai, X.; Chen, Y.; Li, J.; Peng, X. Decoding the optimal charge depletion behavior in energy domain for predictive energy management of series plug-in hybrid electric vehicle. Appl. Energy 2022, 316, 119098. [Google Scholar] [CrossRef]
- Hao, L.; Wang, Y.; Bai, Y.; Zhou, Q. Energy management strategy on a parallel mild hybrid electric vehicle based on breadth first search algorithm. Energy Convers. Manag. 2021, 243, 114408. [Google Scholar] [CrossRef]
- Liu, C.; Wang, Y.; Wang, L.; Chen, Z. Load-adaptive real-time energy management strategy for battery/ultracapacitor hybrid energy storage system using dynamic programming optimization. J. Power Source 2019, 438, 227024. [Google Scholar] [CrossRef]
- Yu, Y.; Jiang, J.; Wang, P.; Li, J. A-EMCS for PHEV based on real-time driving cycle prediction and personalized travel characteristics. Math. Biosci. Eng. 2020, 17, 6310–6341. [Google Scholar] [CrossRef]
- Park, S.; Ahn, C. Model Predictive Control with Stochastically Approximated Cost-to-Go for Battery Cooling System of Electric Vehicles. IEEE Trans. Veh. Technol. 2021, 70, 4312–4323. [Google Scholar] [CrossRef]
- Wei, C.; Hofman, T.; Caarls, E.I.; Iperen, R.V. Evolution and Classification of Energy and Thermal Management Systems in Electrified Powertrains. In Proceedings of the 2019 IEEE Vehicle Power and Propulsion Conference (VPPC), Hanoi, Vietnam, 14–17 October 2019; pp. 1–6. [Google Scholar]
- Amini, M.R.; Wang, H.; Gong, X.; Liao-McPherson, D.; Kolmanovsky, I.; Sun, J. Cabin and Battery Thermal Management of Connected and Automated HEVs for Improved Energy Efficiency Using Hierarchical Model Predictive Control. IEEE Trans. Control Syst. Technol. 2020, 28, 1711–1726. [Google Scholar] [CrossRef]
- Widmer, F.; Ritter, A.; Duhr, P.; Onder, C.H. Battery lifetime extension through optimal design and control of traction and heating systems in hybrid drivetrains. eTransportation 2022, 14, 100196. [Google Scholar] [CrossRef]
- Zhou, W.; Yang, L.; Cai, Y.; Ying, T. Dynamic programming for New Energy Vehicles based on their work modes part I: Electric Vehicles and Hybrid Electric Vehicles. J. Power Source 2018, 406, 151–166. [Google Scholar] [CrossRef]
- Maino, C.; Misul, D.; Musa, A.; Spessa, E. Optimal mesh discretization of the dynamic programming for hybrid electric vehicles. Appl. Energy 2021, 292, 116920. [Google Scholar] [CrossRef]
- Xu, N.; Kong, Y.; Zhang, Y.; Yue, F.; Sui, Y.; Li, X.; Liu, H.; Xu, Z. Determination of vehicle working modes for global optimization energy management and evaluation of the economic performance for a certain control strategy. Energy 2022, 251, 123825. [Google Scholar] [CrossRef]
- Liu, H.; Wang, C.; Zhao, X.; Guo, C. An Adaptive-Equivalent Consumption Minimum Strategy for an Extended-Range Electric Bus Based on Target Driving Cycle Generation. Energies 2018, 11, 1805. [Google Scholar] [CrossRef]
- Asef, A.; Chitsaz, I.; Madani, N. Modeling and total cost optimization of battery thermal management system in a hybrid electric vehicle. J. Energy Storage 2022, 52, 104844. [Google Scholar] [CrossRef]
- Song, Z.; Hofmann, H.; Li, J.; Hou, J.; Zhang, X.; Ouyang, M. The optimization of a hybrid energy storage system at subzero temperatures: Energy management strategy design and battery heating requirement analysis. Appl. Energy 2015, 159, 576–588. [Google Scholar] [CrossRef]
- Zhao, Y.; Dan, D.; Zheng, S.; Wei, M.; Xie, Y. A two-stage eco-cooling control strategy for electric vehicle thermal management system considering multi-source information fusion. Energy 2023, 267, 126606. [Google Scholar] [CrossRef]
- Xiao, B.; Ruan, J.; Yang, W.; Walker, P.D.; Zhang, N. A review of pivotal energy management strategies for extended range electric vehicles. Renew. Sustain. Energy Rev. 2021, 149, 111194. [Google Scholar] [CrossRef]
- Du, Y.; Shironita, S.; Hosono, E.; Asakura, D.; Sone, Y.; Umeda, M. Differences in the deterioration behaviors of fast-charged lithium-ion batteries at high and low temperatures. J. Power Source 2023, 556, 232513. [Google Scholar] [CrossRef]
- Li, J.; Wu, X.; Xu, M.; Liu, Y. A real-time optimization energy management of range extended electric vehicles for battery lifetime and energy consumption. J. Power Source 2021, 498, 229939. [Google Scholar] [CrossRef]
















| Component | Parameter | Value | Unit |
|---|---|---|---|
| Vehicle | Curb weight | 3120 | kg |
| Rotating mass conversion coefficient | 1.1 | - | |
| Aerodynamic drag coefficient | 0.6 | - | |
| Equivalent windward area | 3.25 | m2 | |
| Rolling resistance coefficient | 0.009 | - | |
| Transmission efficiency | 0.95 | - | |
| Final drive ratio | 16.32 | - | |
| Engine | Max power/speed | 130/5200 | kW |
| Max torque/speed | 300/3500 | Nm | |
| Generator | Max power | 165 | kW |
| Max speed | 13,000 | rpm | |
| Max torque | 350 | Nm | |
| Drive Motor | Max power | 195 | kW |
| Max speed | 14,000 | rpm | |
| Max torque | 350 | Nm | |
| Battery Pack | Nominal capacity | 155 | Ah |
| Nominal energy | 54.3 | kWh | |
| Nominal voltage | 350.4 | V | |
| Specific heat | 1100 | J/(kg × °C) | |
| Mass | 267 | kg |
| Parameter | Value |
|---|---|
| Initial SOC | 0.85 |
| Terminal SOC | 0.45 |
| Limits of SOC | [0.4:0.9] |
| Initial battery temperature | 35 |
| Terminal battery temperature | 25 |
| Limits of battery temperature | [22:37] |
| Grid points of engine output power | [0:1000:11,000] |
| Grid points of battery cooling power | [0:200:2600] |
| Driving Condition | Cycle Number | Optimal Driving Cost ($/100 km) | ||
|---|---|---|---|---|
| DP | AGO–DP | |||
| UDDS | 10 | 7.89 | 6.56 | −16.85% |
| 11 | 8.06 | 6.72 | −16.53% | |
| 12 | 8.27 | 6.95 | −15.97% | |
| 13 | 8.16 | 7.15 | −12.32% | |
| 14 | 8.10 | 7.34 | −9.46% | |
| HWFET | 5 | 9.42 | 8.76 | −6.95% |
| 6 | 10.05 | 9.50 | −5.42% | |
| 7 | 10.29 | 10.05 | −2.30% | |
| 8 | 10.60 | 10.48 | −1.17% | |
| 9 | 10.91 | 10.81 | −0.94% | |
| WLTC | 4 | 10.80 | 10.15 | −6.07% |
| 5 | 11.44 | 10.80 | −5.59% | |
| 6 | 11.59 | 11.33 | −2.30% | |
| 7 | 11.92 | 11.73 | −1.60% | |
| 8 | 12.20 | 12.04 | −1.31% | |
Disclaimer/Publisher’s Note: The statements, opinions and data contained in all publications are solely those of the individual author(s) and contributor(s) and not of MDPI and/or the editor(s). MDPI and/or the editor(s) disclaim responsibility for any injury to people or property resulting from any ideas, methods, instructions or products referred to in the content. |
© 2023 by the authors. Licensee MDPI, Basel, Switzerland. This article is an open access article distributed under the terms and conditions of the Creative Commons Attribution (CC BY) license (https://creativecommons.org/licenses/by/4.0/).
Share and Cite
Jiang, J.; Yu, Y.; Min, H.; Sun, W.; Cao, Q.; Huang, T.; Wang, D. Research on Global Optimization Algorithm of Integrated Energy and Thermal Management for Plug-In Hybrid Electric Vehicles. Sensors 2023, 23, 7149. https://doi.org/10.3390/s23167149
Jiang J, Yu Y, Min H, Sun W, Cao Q, Huang T, Wang D. Research on Global Optimization Algorithm of Integrated Energy and Thermal Management for Plug-In Hybrid Electric Vehicles. Sensors. 2023; 23(16):7149. https://doi.org/10.3390/s23167149
Chicago/Turabian StyleJiang, Junyu, Yuanbin Yu, Haitao Min, Weiyi Sun, Qiming Cao, Tengfei Huang, and Deping Wang. 2023. "Research on Global Optimization Algorithm of Integrated Energy and Thermal Management for Plug-In Hybrid Electric Vehicles" Sensors 23, no. 16: 7149. https://doi.org/10.3390/s23167149
APA StyleJiang, J., Yu, Y., Min, H., Sun, W., Cao, Q., Huang, T., & Wang, D. (2023). Research on Global Optimization Algorithm of Integrated Energy and Thermal Management for Plug-In Hybrid Electric Vehicles. Sensors, 23(16), 7149. https://doi.org/10.3390/s23167149
