Experimental Determination of the Charge Carrier Transport Models for Improving the Simulation of the HR GaAs:Cr Detectors’ Response
Abstract
1. Introduction
2. Instrumentation and Methods
2.1. Timepix3 Detectors with HR GaAs:Cr Sensors
2.2. Data Preprocessing
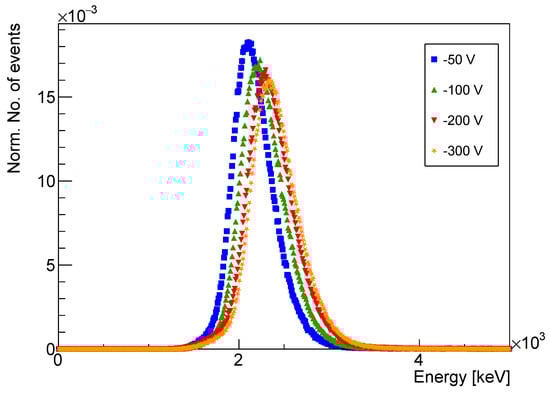
2.3. Mobility–Lifetime Product Measurement Principles
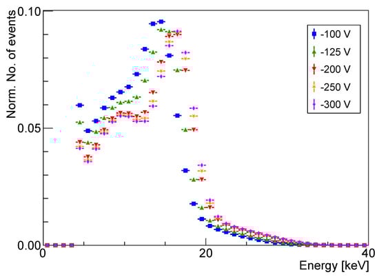
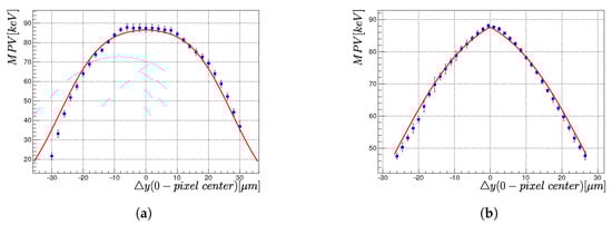
2.4. Proton Beam Measurement and Data Analysis
2.5. Simulation in the Allpix Squared Framework
3. Experimental and Simulated Results
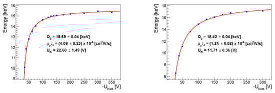
3.1. Mobility–Lifetime Product of Electrons
3.2. Drift Velocity Models
3.2.1. Electrons
3.2.2. Holes
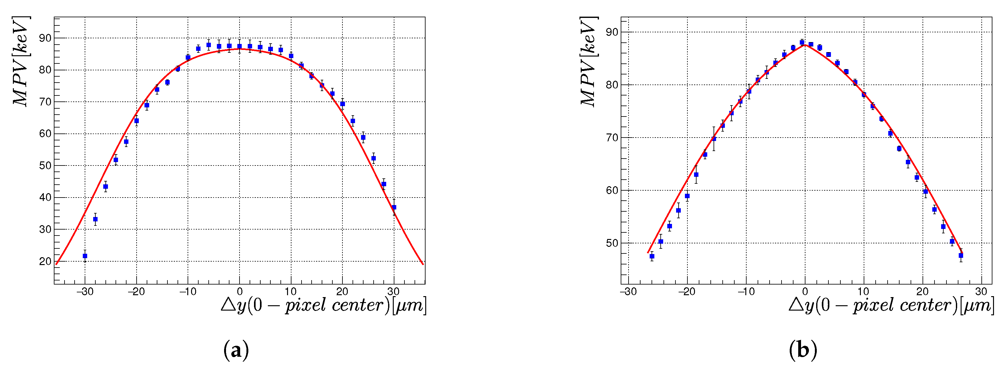
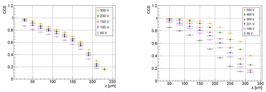
3.3. CCE Dependencies on Interaction Depth
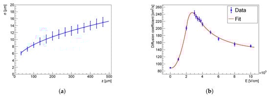
3.4. Charge Cloud Size vs. Interaction Depth
3.5. Simulation Verification with X-rays
4. Conclusions
Author Contributions
Funding
Data Availability Statement
Acknowledgments
Conflicts of Interest
Appendix A

Appendix B

References
- Tyazhev, A.V.; Budnitsky, D.L.; Koretskay, O.B.; Novikov, V.A.; Okaevich, L.S.; Potapov, A.I.; Tolbanov, O.P.; Vorobiev, A.P. GaAs radiation imaging detectors with an active layer thickness up to 1 mm. Nucl. Instrum. Methods Phys. Res. Sect. Accel. Spectrometers Detect. Assoc. Equip. 2003, 509, 34–39. [Google Scholar] [CrossRef]
- Poikela, T.; Plosila, J.; Westerlund, T.; Campbell, M.; De Gaspari, M.; Llopart, X.; Gromov, V.; Kluit, R.; van Beuzekom, M.; Zappon, F.; et al. Timepix3: A 65K channel hybrid pixel readout chip with simultaneous ToA/ToT and sparse readout. JINST 2014, 9, C05013. [Google Scholar] [CrossRef]
- Greiffenberg, D.; Andrä, M.; Barten, R.; Bergamaschi, A.; Brückner, M.; Alvarez, S.C.; Chsherbakov, I.; Dinapoli1, R.; Fajardo, P.; Fröjdh, E.; et al. Characterization of GaAs:Cr sensors using the charge-integrating JUNGFRAU readout chip. JINST 2019, 14, P05020. [Google Scholar] [CrossRef]
- Greiffenberg, D.; Andrä, M.; Barten, R.; Bergamaschi, A.; Brückner, M.; Busca, P.; Chiriotti, S.; Chsherbakov, I.; Dinapoli, R.; Fajardo, P.; et al. Characterization of Chromium Compensated GaAs Sensors with the Charge-Integrating JUNGFRAU Readout Chip by Means of a Highly Collimated Pencil Beam. Sensors 2021, 21, 1550. [Google Scholar] [CrossRef] [PubMed]
- Bergmann, B.; Azzarello, P.; Broulím, P.; Burian, P.; Meduna, L.; Paniccia, M.; Perrina, C.; Pospisil, S.; Tlustos, L.; Wu, X. Detector response and performance of a 500 µm thick GaAs attached to Timepix3 in relativistic particle beams. JINST 2020, 15, C03013. [Google Scholar] [CrossRef]
- Smolyanskiy, P.; Bergmann, B.; Kotov, S.; Kruchonak, U.; Kozhevnikov, D.; Sierra, Y.M.; Stekl, I.; Zhemchugov, A. Properties of GaAs:Cr-based Timepix detectors. JINST 2018, 13, T02005. [Google Scholar] [CrossRef]
- Smolyanskiy, P.; Bergmann, B.; Billoud, T.; Burian, P.; Sitarz, M.; Søndergaard, C.; Pospíšil, S. Study of charge carrier transport properties and lifetimes in HR GaAs:Cr with Timepix3. JINST 2021, 16, C12023. [Google Scholar] [CrossRef]
- Jakubek, J. Energy-sensitive X-ray radiography and charge sharing effect in pixelated detector. Nucl. Instrum. Methods Phys. Res. Sect. Accel. Spectrometers Detect. Assoc. Equip. 2009, 607, 192–195. [Google Scholar] [CrossRef]
- Campbell, M.; Heijne, E.; Holý, T.; Idárraga, J.; Jakůbek, J.; Lebel, C.; Llopart, X.; Pospíšil, S.; Tlustos, L.; Vykydal, Z. Study of the charge sharing in a silicon pixel detector by means of a-particles interacting with a Medipix2 device. Nucl. Instrum. Methods Phys. Res. Sect. Accel. Spectrometers Detect. Assoc. Equip. 2008, 591, 38–41. [Google Scholar] [CrossRef]
- Smolyanskiy, P.; Kozhevnikov, D.; Bakina, O.; Dedovich, D.; Kuper, K.; Fabelo, A.L.; Zhemchugov, A. Study of a GaAs:Cr-based Timepix detector using synchrotron facility. JINST 2017, 12, P11009. [Google Scholar] [CrossRef]
- Available online: https://medipix.web.cern.ch/ (accessed on 1 August 2023).
- Jakubek, J. Precise energy calibration of pixel detector working in time-over-threshold mode. Nucl. Instrum. Methods Phys. Res. Sect. Accel. Spectrometers Detect. Assoc. Equip. 2011, 633, S262–S266. [Google Scholar] [CrossRef]
- Burian, P.; Broulím, P.; Jára, M.; Georgiev, V.; Bergmann, B. Katherine: Ethernet Embedded Readout Interface for Timepix3. JINST 2017, 12, C11001. [Google Scholar] [CrossRef]
- Ayzenshtat, G.I.; Bimatov, M.V.; Tolbanov, O.P.; Vorobiev, A.P. Charge collection in X-ray pixel detectors based on SI-GaAs doped with Cr. Nucl. Instrum. Methods Phys. Res. Sect. Accel. Spectrometers Detect. Assoc. Equip. 2003, 509, 52–55. [Google Scholar] [CrossRef]
- Bergmann, B.; Pichotka, M.; Pospisil, S.; Vycpalek, J.; Burian, P.; Broulim, P.; Jakubek, J. 3D track reconstruction capability of a silicon hybrid active pixel detector. Eur. Phys. J. C 2017, 77, 421. [Google Scholar] [CrossRef]
- Lachish, U. Electron lifetime determination in semiconductor gamma detector arrayes. arXiv 2017, arXiv:1701.03459. [Google Scholar]
- Spannagel, S.; Wolters, K.; Hynds, D.; Tehrani, N.A.; Benoit, M.; Dannheim, D.N.; Gauvin, N.; Nürnberg, A.; Schütze, P.; Vicente, M. Allpix2: A modular simulation framework for silicon detectors. Nucl. Instrum. Methods Phys. Res. Sect. Accel. Spectrometers Detect. Assoc. Equip. 2018, 901, 164–172. [Google Scholar] [CrossRef]
- Ruch, J.G.; Kino, G.S. Transport Properties of GaAs. Phys. Rev. 1968, 174, 921. [Google Scholar] [CrossRef]
- Bergmann, B.; Burian, P.; Manek, P.; Pospisil, S. 3D reconstruction of particle tracks in a 2 mm thick CdTe hybrid pixel detector. Eur. Phys. J. C 2019, 79, 165. [Google Scholar] [CrossRef]
- Dalal, V.L.; Dreeben, A.B.; Triano, A. Temperature Dependence of Hole Velocity in p-GaAs. J. Appl. Phys. 1971, 42, 2864. [Google Scholar] [CrossRef]
- Knoll, G. Radiation Detection and Measurement, 4th ed.; John Wiley & Sons: New York, NY, USA, 2010. [Google Scholar]
- Schioppa, E.J.; Idarraga, J.; Van Beuzekom, M.; Visser, J.; Koffeman, E.; Heijne, E.; Engel, K.J.; Uher, J. Study of Charge Diffusion in a Silicon Detector Using an Energy Sensitive Pixel Readout Chip. IEEE Trans. Nucl. Sci. 2015, 62, 5. [Google Scholar] [CrossRef]
- Butcher, P.N.; Fawcett, W.; Ogg, N.R. Effect of field-dependent diffusion on stable domain propagation in the Gunn effect. Br. J. Appl. Phys. 1967, 18.6, 755. [Google Scholar] [CrossRef]
- Ponchut, C.; Cotte, M.; Lozinskaya, A.; Zarubin, A.; Tolbanov, O.; Tyazhev, A. Characterisation of GaAs:Cr pixel sensors coupled to Timepix chips in view of synchrotron applications. JINST 2017, 12, C12023. [Google Scholar] [CrossRef]












Disclaimer/Publisher’s Note: The statements, opinions and data contained in all publications are solely those of the individual author(s) and contributor(s) and not of MDPI and/or the editor(s). MDPI and/or the editor(s) disclaim responsibility for any injury to people or property resulting from any ideas, methods, instructions or products referred to in the content. |
© 2023 by the authors. Licensee MDPI, Basel, Switzerland. This article is an open access article distributed under the terms and conditions of the Creative Commons Attribution (CC BY) license (https://creativecommons.org/licenses/by/4.0/).
Share and Cite
Smolyanskiy, P.; Burian, P.; Sitarz, M.; Bergmann, B. Experimental Determination of the Charge Carrier Transport Models for Improving the Simulation of the HR GaAs:Cr Detectors’ Response. Sensors 2023, 23, 6886. https://doi.org/10.3390/s23156886
Smolyanskiy P, Burian P, Sitarz M, Bergmann B. Experimental Determination of the Charge Carrier Transport Models for Improving the Simulation of the HR GaAs:Cr Detectors’ Response. Sensors. 2023; 23(15):6886. https://doi.org/10.3390/s23156886
Chicago/Turabian StyleSmolyanskiy, Petr, Petr Burian, Mateusz Sitarz, and Benedikt Bergmann. 2023. "Experimental Determination of the Charge Carrier Transport Models for Improving the Simulation of the HR GaAs:Cr Detectors’ Response" Sensors 23, no. 15: 6886. https://doi.org/10.3390/s23156886
APA StyleSmolyanskiy, P., Burian, P., Sitarz, M., & Bergmann, B. (2023). Experimental Determination of the Charge Carrier Transport Models for Improving the Simulation of the HR GaAs:Cr Detectors’ Response. Sensors, 23(15), 6886. https://doi.org/10.3390/s23156886

