Vehicular Traffic Flow Analysis and Minimize the Vehicle Queue Waiting Time Using Signal Distribution Control Algorithm
Abstract
1. Introduction
- Service provided for a number of vehicles per cycle length
- Surplus rate of vehicle overflow per cycle length
- Amount of vehicle waiting time for each cycle length
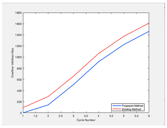
- Overflow vehicle count
- Waiting time overflow
- Reduction in total waiting time overflow
2. Traffic Signal Control Parameters
3. Traffic Vehicle Flow Direction
3.1. Formulation of the Traffic Management Procedure
- →Phase index
- →Indicator for the cycle (i = 1, 2, 3, 4)
- →Reaching from vehicle k during the cycle
- →The length of the queue or equation at the beginning of the cycle
- →Vehicle number/came in the kth phase of the cycle
- →Average vehicle/service provided during the cycle
- →Total number of vehicles in kth-indicator of the cycle length
- →Indicator total service time (or) service provided in the kth phase for the cycle length
- →The number of vehicles left (or) provided the service in the kth indicator cycle length
- →Provided by the service time/s
- →The total number of vehicle overflows rates during the kth indicator cycle length
- →The total number of vehicles waiting time during the kth indicator during the cycle length
- →Total system waiting time
3.2. Generalized Algorithm of Traffic Signal Control System
3.3. Constraints Expression
- If the kth phase system’s successive arrivals for i and i + 1. The displacement from the (k − 1)th phase to the kth phase will be made by the vehicle in the (i + 1)th stage. In this scenario, the crossroad junction areas’ cycle time and total vehicle interruption of the kth phase queue length will be delayed.
- The availability of the k-phase index arriving vehicle is greater than the delayed queue length.
- The total number of k-phase left over vehicles replacement is multiplied by the average number of arriving vehicles.
- The vehicle waiting time specified in the scheme is equal to the average waiting time of the kth indicator phase throughout the cycle.
- The total vehicle surplus ratio equals the number of vehicles that arrive from the kth indicator phase over the cyclic period.
3.4. PSEUDO-Algorithm
| Algorithm 1 |
| Function Traffic_Signal_Control Function Vehicle_to_RSU(Vehicle count, Time) Set Vehicle count to 0 While (Time interval) FOR each Vehicle and RSU Do vehicle count = vehicle count + 1 End FOR End While End Function Function RSU_to_Data_Manager(Vehicle count, Time) For 0 to Total_record Store data Clean data Pre_process data End For End Function Function Signal_Decision(direction, vehicle_count, time) For 0 to direction + 1 For 0 to time + 1 Signal_time(direction, vehicle_count) Status = On control_unit(direction, time, status) End For End Function Function control_unit(direction, time) For 0 to direction + 1 Signal_status = status End For End Function End Function |
4. Numerical Example
4.1. Computational Method
Experimental Setup
5. Results and Discussions
6. Conclusions
Author Contributions
Funding
Institutional Review Board Statement
Informed Consent Statement
Data Availability Statement
Acknowledgments
Conflicts of Interest
References
- Nilsson, G.; Como, G. On Generalized Proportional Allocation Policies for Traffic Signal Control. Int. Fed. Autom. Control 2017, 50, 9643–9648. [Google Scholar] [CrossRef]
- Jin, J.; Ma, X. A group–based traffic signal control with adaptive learning ability. Eng. Appl. Artif. Intell. 2017, 65, 282–293. [Google Scholar] [CrossRef]
- Sabar, N.R.; Chung, E.; Tsubota, T.; de Almeida, P.E.M. A memetic algorithm for real world multi–intersection traffic signal optimization problems. Eng. Appl. Artif. Intell. 2017, 63, 45–53. [Google Scholar] [CrossRef]
- Mckenney, D.; White, T. Distributed and adaptive traffic signal control within a realistic traffic simulation. Eng. Appl. Artif. Intell. 2013, 23, 574–583. [Google Scholar] [CrossRef]
- Eriskin, E.; Terzi, S.; Ceylan, H. Development of dynamic traffic signal control based on Monte Carlo simulation approach. Measurement 2022, 188, 110591. [Google Scholar] [CrossRef]
- Qadri, S.S.S.M.; Gökçe, M.A.; Öner, E. State-of-art review of traffic signal control methods: Challenges and opportunities. Eur. Transp. Res. Rev. 2020, 12, 55. [Google Scholar] [CrossRef]
- Wang, Y.; Yang, X.; Liu, Y.; Liang, H. Evaluation and Application of Urban Traffic Signal Optimizing Control Strategy Based on Reinforcement Learning. J. Adv. Transp. 2018, 2018, 3631489. [Google Scholar] [CrossRef]
- Ng, S.C.; Kwok, C.P. An Intelligent Traffic Light System Using Object Detection and Evolutionary Algorithm for Alleviating Traffic Congestion in Hong Kong. Int. J. Comput. Intell. Syst. 2020, 13, 802–809. [Google Scholar] [CrossRef]
- Celtek, S.A.; Durdu, A.; Ali, M.E.M. Real-time traffic signal control with swarm optimization methods. Measurement 2020, 166, 108206. [Google Scholar] [CrossRef]
- Jamal, A. Intelligent Intersection Control for Delay Optimization: Using Meta-Heuristic Search Algorithms. Sustainability 2020, 12, 1896. [Google Scholar] [CrossRef]
- Singh, L. Time Optimization for Traffic Signal Control Using Genetic Algorithm. Int. J. Recent Trends Eng. 2009, 2, 4. [Google Scholar]
- Alam, M.G.R.; Suma, T.M.; Uddin, S.M.; Siam, M.B.A.K.; Mahbub, M.S.B.; Hassan, M.M.; Fortino, G. Queueing Theory Based Vehicular Traffic Management System Through Jackson Network Model and Optimization. IEEE Access 2021, 2, 136018–136031. [Google Scholar] [CrossRef]
- Kumar, P.; Manur, M.; Pani, A.K. Road Traffic Prediction and Optimal Alternate Path Selection Using HBI-LSTM and HV-ABC. Indian J. Sci. Technol. 2022, 15, 689–699. [Google Scholar] [CrossRef]
- Wang, Q.; Zhang, Q.; Liang, X.; Wang, Y.; Zhou, C.; Ivanovich Mikulovich, V. Traffic Lights Detection and Recognition Method Based on the Improved YOLOv4 Algorithm. Sensors 2022, 22, 200. [Google Scholar] [CrossRef] [PubMed]
- Moreno, R.; Bianco, F.; Carpita, S.; Monticelli, A.; Fredianelli, L.; Licitra, G. Adjusted Controlled Pass-By (CPB) Method for Urban Road Traffic Noise Assessment. Sustainability 2023, 15, 5340. [Google Scholar] [CrossRef]
- De León, G.; Cesbron, J.; Klein, P.; Leandri, P.; Losa, M. Novel Methodology to Recover Road Surface Height Maps from Illuminated Scene through Convolutional Neural Networks. Sensors 2022, 22, 6603. [Google Scholar] [CrossRef]
- Ascari, E.; Cerchiai, M.; Fredianelli, L.; Licitra, G. Statistical Pass-By for Unattended Road Traffic Noise Measurement in an Urban Environment. Sensors 2022, 22, 8767. [Google Scholar] [CrossRef]
- Hota, L.; Nayak, B.P.; Sahoo, B.; Chong, P.H.; Kumar, A. An Adaptive Traffic-Flow Management System with a Cooperative Transitional Maneuver for Vehicular Platoons. Sensors 2023, 23, 2481. [Google Scholar] [CrossRef]
- Deshpande, S.; Hsieh, S.J. Cyber-Physical System for Smart Traffic Light Control. Sensors 2023, 23, 5028. [Google Scholar] [CrossRef]
- Gu, J.; Lee, M.; Jun, C.; Han, Y.; Kim, Y.; Kim, J. Traffic Signal Optimization for Multiple Intersections Based on Reinforcement Learning. Appl. Sci. 2021, 11, 10688. [Google Scholar] [CrossRef]
- Lakshmanan, M.; Jyotikab, N.V.N.; Nivetha, P.; Preethi, A. Traffic Light Controller using Image Processing. Turk. J. Comput. Math. Educ. 2021, 12, 405–411. [Google Scholar] [CrossRef]





| Date | Time | Red Signal Duration/Cycle | Green Signal Duration for the Direction | N-S | W-E | S-N | E-W | Total No. of Vehicles |
|---|---|---|---|---|---|---|---|---|
| 2 April 2023 | 7.00–7.10 | 450 | 600 | 112 | 196 | 151 | 113 | 572 |
| 2 April 2023 | 7.10–7.20 | 450 | 600 | 151 | 226 | 172 | 122 | 671 |
| 2 April 2023 | 7.20–7.30 | 450 | 600 | 182 | 244 | 202 | 154 | 782 |
| 2 April 2023 | 7.30–7.40 | 450 | 600 | 196 | 241 | 202 | 166 | 805 |
| 2 April 2023 | 7.40–7.50 | 450 | 600 | 184 | 222 | 191 | 157 | 754 |
| 2 April 2023 | 7.50–8.00 | 450 | 600 | 179 | 208 | 183 | 149 | 719 |
| 3 April 2023 | 7.00–7.10 | 450 | 600 | 279 | 302 | 247 | 221 | 1049 |
| 3 April 2023 | 7.10–7.20 | 450 | 600 | 282 | 302 | 254 | 221 | 1059 |
| 3 April 2023 | 7.20–7.30 | 450 | 600 | 277 | 289 | 245 | 219 | 1030 |
| 3 April 2023 | 7.30–7.40 | 450 | 600 | 281 | 299 | 256 | 211 | 1047 |
| 3 April 2023 | 7.40–7.50 | 450 | 600 | 278 | 299 | 245 | 213 | 1035 |
| 3 April 2023 | 7.50–8.00 | 450 | 600 | 249 | 278 | 202 | 177 | 906 |
| 3 April 2023 | 8.00–8.10 | 450 | 600 | 116 | 179 | 129 | 111 | 535 |
| 4 April 2023 | 7.00–7.10 | 450 | 600 | 191 | 162 | 177 | 141 | 480 |
| 4 April 2023 | 7.10–7.20 | 450 | 600 | 189 | 202 | 166 | 133 | 501 |
| 4 April 2023 | 7.20–7.30 | 450 | 600 | 188 | 221 | 166 | 142 | 529 |
| 4 April 2023 | 7.30–7.40 | 450 | 600 | 187 | 211 | 203 | 167 | 581 |
| 4 April 2023 | 7.40–7.50 | 450 | 600 | 195 | 233 | 181 | 176 | 590 |
| 4 April 2023 | 7.50–8.00 | 450 | 600 | 189 | 241 | 193 | 159 | 593 |
| 5 April 2023 | 7.00–7.10 | 450 | 600 | 141 | 155 | 123 | 100 | 519 |
| 5 April 2023 | 7.10–7.20 | 450 | 600 | 129 | 145 | 110 | 91 | 475 |
| 5 April 2023 | 7.20–7.30 | 450 | 600 | 123 | 139 | 119 | 89 | 470 |
| 5 April 2023 | 7.30–7.40 | 450 | 600 | 131 | 165 | 129 | 88 | 513 |
| 5 April 2023 | 7.40–7.50 | 450 | 600 | 133 | 166 | 98 | 88 | 485 |
| 5 April 2023 | 7.50–8.00 | 450 | 600 | 124 | 109 | 89 | 81 | 403 |
| 5 April 2023 | 8.00–8.10 | 450 | 600 | 109 | 187 | 154 | 97 | 547 |
| 6 April 2023 | 7.00–7.10 | 450 | 600 | 146 | 171 | 123 | 95 | 581 |
| 6 April 2023 | 7.10–7.20 | 450 | 600 | 134 | 167 | 112 | 91 | 568 |
| 6 April 2023 | 7.20–7.30 | 450 | 600 | 136 | 166 | 111 | 84 | 592 |
| 6 April 2023 | 7.30–7.40 | 450 | 600 | 129 | 141 | 134 | 111 | 597 |
| 6 April 2023 | 7.40–7.50 | 450 | 600 | 133 | 129 | 113 | 86 | 537 |
| 6 April 2023 | 7.50–8.00 | 450 | 600 | 123 | 131 | 104 | 92 | 526 |
| 7 April 2023 | 7.00–7.10 | 450 | 600 | 144 | 182 | 119 | 99 | 509 |
| 7 April 2023 | 7.10–7.20 | 450 | 600 | 144 | 188 | 122 | 92 | 517 |
| 7 April 2023 | 7.20–7.30 | 450 | 600 | 139 | 171 | 118 | 107 | 518 |
| 7 April 2023 | 7.30–7.40 | 450 | 600 | 135 | 179 | 117 | 103 | 524 |
| 7 April 2023 | 7.40–7.50 | 450 | 600 | 141 | 123 | 110 | 78 | 433 |
| 7 April 2023 | 7.50–8.00 | 450 | 600 | 136 | 119 | 94 | 82 | 424 |
Disclaimer/Publisher’s Note: The statements, opinions and data contained in all publications are solely those of the individual author(s) and contributor(s) and not of MDPI and/or the editor(s). MDPI and/or the editor(s) disclaim responsibility for any injury to people or property resulting from any ideas, methods, instructions or products referred to in the content. |
© 2023 by the authors. Licensee MDPI, Basel, Switzerland. This article is an open access article distributed under the terms and conditions of the Creative Commons Attribution (CC BY) license (https://creativecommons.org/licenses/by/4.0/).
Share and Cite
Solaiappan, S.; Kumar, B.R.; Anbazhagan, N.; Song, Y.; Joshi, G.P.; Cho, W. Vehicular Traffic Flow Analysis and Minimize the Vehicle Queue Waiting Time Using Signal Distribution Control Algorithm. Sensors 2023, 23, 6819. https://doi.org/10.3390/s23156819
Solaiappan S, Kumar BR, Anbazhagan N, Song Y, Joshi GP, Cho W. Vehicular Traffic Flow Analysis and Minimize the Vehicle Queue Waiting Time Using Signal Distribution Control Algorithm. Sensors. 2023; 23(15):6819. https://doi.org/10.3390/s23156819
Chicago/Turabian StyleSolaiappan, Srinivasagam, Bharathi Ramesh Kumar, N. Anbazhagan, Yooseung Song, Gyanendra Prasad Joshi, and Woong Cho. 2023. "Vehicular Traffic Flow Analysis and Minimize the Vehicle Queue Waiting Time Using Signal Distribution Control Algorithm" Sensors 23, no. 15: 6819. https://doi.org/10.3390/s23156819
APA StyleSolaiappan, S., Kumar, B. R., Anbazhagan, N., Song, Y., Joshi, G. P., & Cho, W. (2023). Vehicular Traffic Flow Analysis and Minimize the Vehicle Queue Waiting Time Using Signal Distribution Control Algorithm. Sensors, 23(15), 6819. https://doi.org/10.3390/s23156819

