A Safety Warning Model Based on IAHA-SVM for Coal Mine Environment
Abstract
1. Introduction
2. Related Work
2.1. Artificial Hummingbird Algorithm
2.1.1. Initialization
2.1.2. Guided Foraging
2.1.3. Territorial Foraging
2.1.4. Migration Foraging
2.2. Support Vector Machine
3. Our Proposed IAHA Algorithm
3.1. Improvement Strategies
3.1.1. Combining Tent Chaos Mapping with Backward Learning to Initialize Populations
3.1.2. Levy Flight
3.1.3. Simplex Method for Optimization
3.1.4. IAHA Execution Steps
| Algorithm 1 IAHA implementation steps. |
| Step 1: Parameters such as population size, dimensionality, number of iterations, and upper and lower limits of the search space are set;
Step 2: The food source locations are initialized using a fused Tent chaos mapping and direction-learning strategy, and the corresponding fitness values are calculated. The access table is also initialized; Step 3: Flight skills are randomly selected; Step 4: The phase of guided foraging or area foraging begins based on the Levy flight strategy with a 50% probability of each of the two foraging behaviors. The visit table is updated after foraging behavior; Step 5: When migratory foraging conditions are met, hummingbirds perform migratory foraging, randomly replacing the worst food source location. The access table is updated after foraging behavior; Step 6: The location of poor food sources is optimized using the simplex method; Step 7: The algorithm is terminated when the algorithm termination condition is met; otherwise, return to step 3. |
3.2. Experimental Results
3.2.1. Experimental Environment
3.2.2. Comparison with Other Intelligent Optimization Algorithms
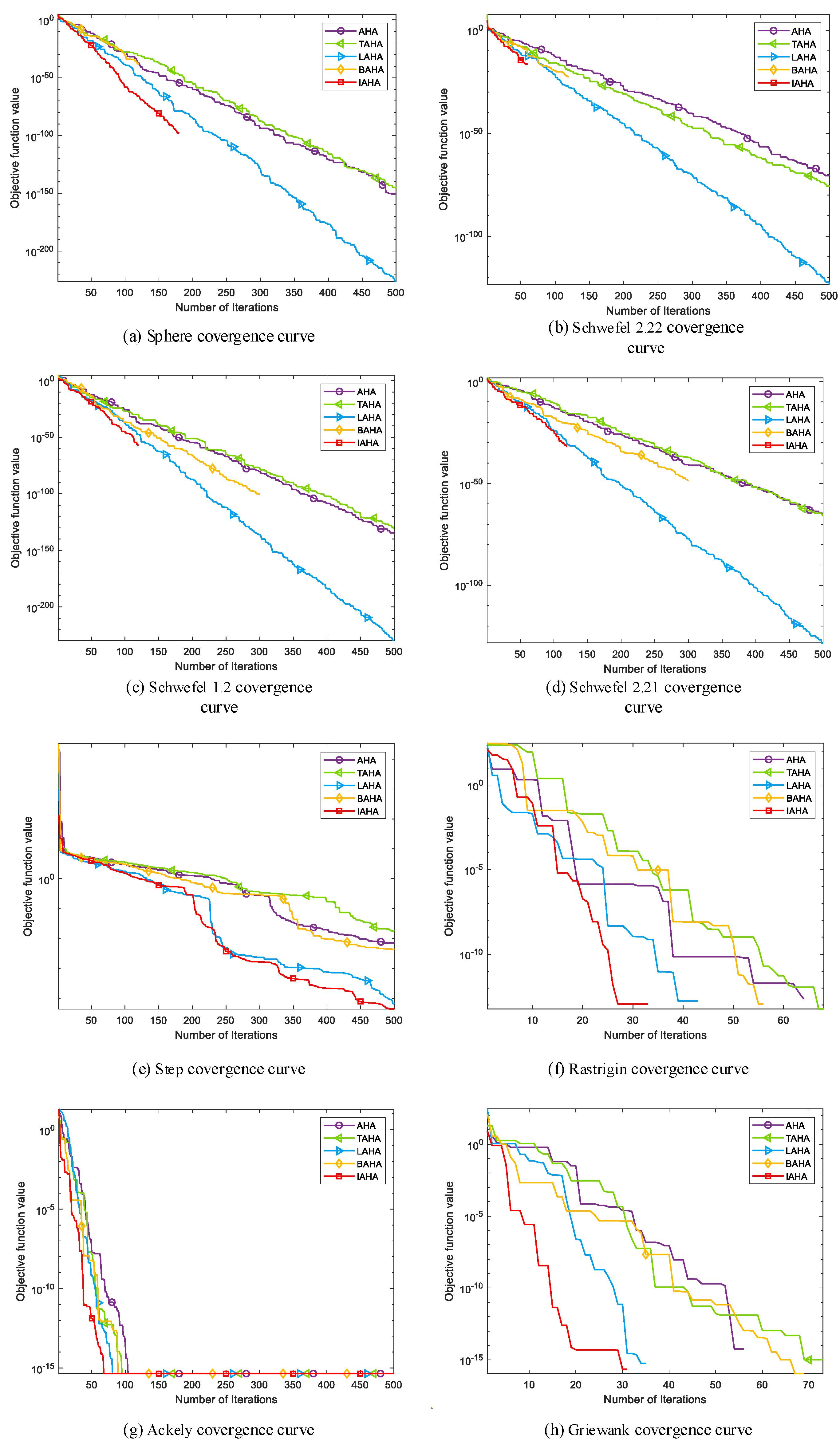
3.2.3. Comparative Analysis with a Single-Improvement-Stage AHA Algorithm
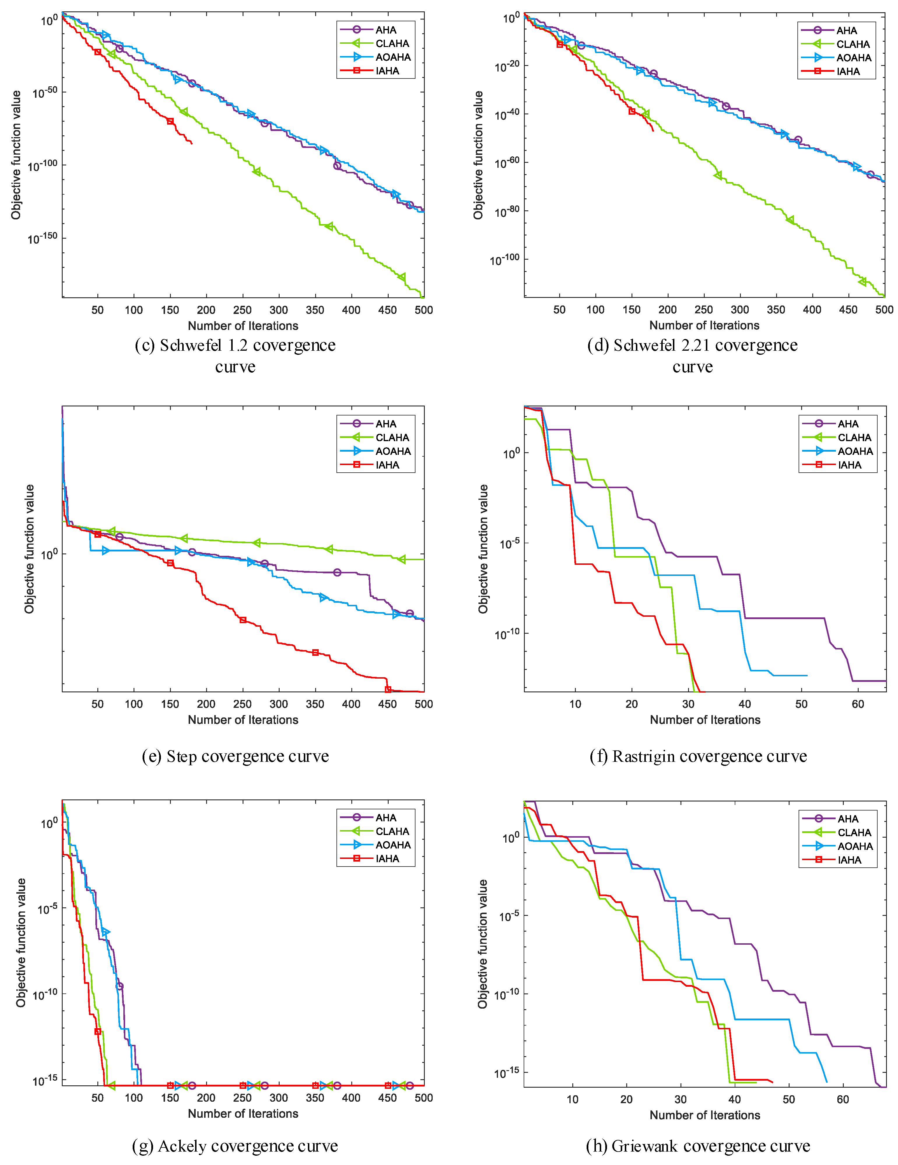
3.2.4. Comparative Analysis with Other Improved AHA Algorithms
3.2.5. Significance Analysis
4. Our Proposed IAHA-SVM Coal Mine Environmental Safety Warning Model
4.1. Our Proposed IAHA-SVM Model
| Algorithm 2 IAHA-SVM Execution Steps. |
| Step 1: The collected coal mine safety-related data are divided into training and test sets and normalized;
Step 2: The SVM penalty-term coefficients (C); kernel function parameters (g); and IAHA-related parameters, including population size, maximum number of iterations, etc., are initialized; Step 3: The food source locations are initialized using a fused Tent chaos mapping and direction-learning strategy, and the training-set samples are classified, with the SVM coal mine environmental safety classification accuracy as the individual fitness value; Step 4: Flight skills are randomly selected; Step 5: The phase of guided foraging or area foraging based on the Levy flight strategy begins, with a 50% probability of each of the two foraging behaviors. The visit table is updated after the foraging behavior; Step 6: When migratory foraging conditions are met, hummingbirds perform migratory foraging, randomly replacing the worst food source location. The access table is updated after the foraging behavior; Step 7: The location of poor food sources is optimized using the simplex method; Step 8: The algorithm is terminated if the IAHA algorithm termination condition is met and the optimal C and g parameter values are output; otherwise, return to step 4; Step 9: The IAHA-SVM coal mine environmental safety warning model is established. |
4.2. Experimental Results
5. Conclusions and Future Work
Author Contributions
Funding
Institutional Review Board Statement
Informed Consent Statement
Data Availability Statement
Conflicts of Interest
References
- Mulumba, D.M.; Liu, J.; Hao, J.; Zheng, Y.; Liu, H. Application of an Optimized PSO-BP Neural Network to the Assessment and Prediction of Underground Coal Mine Safety Risk Factors. Appl. Sci. 2023, 13, 5317. [Google Scholar] [CrossRef]
- Senapati, A.; Bhattacherjee, A.; Chatterjee, S. Causal relationship of some personal and impersonal variates to occupational injuries at continuous miner worksites in underground coal mines. Saf. Sci. 2022, 146, 105562. [Google Scholar] [CrossRef]
- Petsonk, E.L.; Rose, C.; Cohen, R. Coal mine dust lung disease. New lessons from an old exposure. Appl. Sci. 2013, 187, 1178–1185. [Google Scholar] [CrossRef] [PubMed]
- Alfonso, I.; Goméz, C.; Garcés, K.; Chavarriaga, J. Lifetime optimization of Wireless Sensor Networks for gas monitoring in underground coal mining. In Proceedings of the 7th International Conference on Computers Communications and Control, Oradea, Romania, 8–12 May 2018; pp. 224–230. [Google Scholar]
- Krishnan, A.; Shalu, R.; Sandeep, S.; Jithin, S.; Thomas, L.; Panicker, S.T. A Need-To-Basis Dust Suppression System using Wireless Sensor Network. In Proceedings of the IEEE Recent Advances in Intelligent Computational Systems (RAICS), Thiruvananthapuram, India, 3–5 December 2020; pp. 207–212. [Google Scholar]
- Porselvi, T.; Ganesh, S.; Janaki, B.; Priyadarshini, K. IoT based coal mine safety and health monitoring system using LoRaWAN. In Proceedings of the 2021 3rd International Conference on Signal Processing and Communication (ICPSC), Coimbatore, India, 13–14 May 2021; pp. 49–53. [Google Scholar]
- Zhu, Y.; You, G. Monitoring system for coal mine safety based on wireless sensor network. In Proceedings of the 2019 Cross Strait Quad-Regional Radio Science and Wireless Technology Conference (CSQRWC), Taiyuan, China, 18–21 July 2019; pp. 1–2. [Google Scholar]
- Mitchell, T.M. Machine Learning; McGraw-Hill: New York, NY, USA, 2007; Volume 1. [Google Scholar]
- Kumari, K.; Dey, P.; Kumar, C.; Pandit, D.; Mishra, S.; Kisku, V.; Chaulya, S.; Ray, S.; Prasad, G. UMAP and LSTM based fire status and explosibility prediction for sealed-off area in underground coal mine. Process. Saf. Environ. Prot. 2021, 146, 837–852. [Google Scholar] [CrossRef]
- Ślęzak, D.; Grzegorowski, M.; Janusz, A.; Kozielski, M.; Nguyen, S.H.; Sikora, M.; Stawicki, S.; Wróbel, Ł. A framework for learning and embedding multi-sensor forecasting models into a decision support system: A case study of methane concentration in coal mines. Inf. Sci. 2018, 451, 112–133. [Google Scholar] [CrossRef]
- Jo, B.W.; Khan, R.M.A. An internet of things system for underground mine air quality pollutant prediction based on azure machine learning. Sensors 2018, 18, 930. [Google Scholar] [CrossRef] [PubMed]
- Wang, L. Intelligent Optimization Algorithms with Applications; Tsinghua University Press: Beijing, China, 2021. [Google Scholar]
- Kennedy, J.; Eberhart, R. Particle Swarm Optimization. In Proceedings of the ICNN’95-International Conference on Neural Networks, Perth, WA, Australia, 27 November–1 December 1995; IEEE: New York, NY, USA, 1995; Volume 4, pp. 1942–1948. [Google Scholar]
- Mirjalili, S.; Mirjalili, S.M.; Lewis, A. Grey Wolf Optimizer. Adv. Eng. Softw. 2014, 69, 46–61. [Google Scholar] [CrossRef]
- Mirjalili, S.; Lewis, A. The Whale Optimization Algorithm. Adv. Eng. Softw. 2016, 95, 51–67. [Google Scholar] [CrossRef]
- Zhao, W.; Wang, L.; Mirjalili, S. Artificial hummingbird algorithm: A new bio-inspired optimizer with its engineering applications. Comput. Methods Appl. Mech. Eng. 2022, 388, 114194. [Google Scholar] [CrossRef]
- Joachims, T. Making Large-Scale SVM Learning Practical; Technical Report;University of Dortmund: Dortmund, Germany, 1998. [Google Scholar]
- Li, C.; Li, S.; Liu, Y. least squares support vector machine model optimized by moth-flame optimization algorithm for annual power load forecasting. Adv. Eng. Softw. 2016, 45, 1166–1178. [Google Scholar] [CrossRef]
- Cong, Y.; Wang, J.; Li, X. Traffic flow forecasting by a least squares support vector machine with a fruit fly optimization algorithm. Procedia Eng. 2016, 137, 59–68. [Google Scholar] [CrossRef]
- Tuerxun, W.; Chang, X.; Hongyu, G.; Zhijie, J.; Huajian, Z. Fault diagnosis of wind turbines based on a support vector machine optimized by the sparrow search algorithm. IEEE Access 2021, 9, 69307–69315. [Google Scholar] [CrossRef]
- Xue, Y.; Dou, D.; Yang, J. Multi-fault diagnosis of rotating machinery based on deep convolution neural network and support vector machine. Measurement 2020, 156, 107571. [Google Scholar] [CrossRef]
- Haupt, R.L.; Haupt, S.E. Practical Genetic Algorithms; John Wiley & Sons: Hoboken, NJ, USA, 2004. [Google Scholar]
- Shan, L.; Qiang, H.; Li, J.; Wang, Z. Chaotic optimization algorithm based on Tent map. Control. Decis. 2005, 20, 179–182. [Google Scholar]
- Iacca, G.; dos Santos Junior, V.C.; de Melo, V.V. An improved Jaya optimization algorithm with Levy flight. Expert Syst. Appl. 2021, 165, 113902. [Google Scholar] [CrossRef]
- Lamming, M.G.; Rhodes, W.L. A simple method for improved color printing of monitor images. TOG 1990, 9, 345–375. [Google Scholar] [CrossRef]
- Wang, L.; Zhang, L.; Zhao, W.; Liu, X. Parameter Identification of a Governing System in a Pumped Storage Unit Based on an Improved Artificial Hummingbird Algorithm. Energies 2022, 15, 6966. [Google Scholar] [CrossRef]
- Ramadan, A.; Kamel, S.; Hassan, M.H.; Ahmed, E.M.; Hasanien, H.M. Accurate photovoltaic models based on an adaptive opposition artificial hummingbird algorithm. Energies 2022, 11, 318. [Google Scholar] [CrossRef]










| Number | Function Name | Definition | Function Value | Optimal Value |
|---|---|---|---|---|
| (1) | Sphere | [−100 , 100] | 0 | |
| (2) | Schwefel 2.22 | [−10, 10] | 0 | |
| (3) | Schwefel 1.2 | [−100, 100] | 0 | |
| (4) | Schwefel 2.21 | [−100, 100] | 0 | |
| (5) | Step | [−100, 100] | 0 | |
| (6) | Rastrigin | [−5.12, 5.12] | 0 | |
| (7) | Ackley | [−32, 32] | 0 | |
| (8) | Griewank | [−600, 600] | 0 |
| Function | Evaluation | PSO | WOA | GWO | AHA | IAHA |
|---|---|---|---|---|---|---|
| Sphere | Mean | 0 | ||||
| SD | 0 | |||||
| Schwefel 2.22 | Mean | 0 | ||||
| SD | 0 | |||||
| Schwefel 1.2 | Mean | 0 | ||||
| SD | 0 | |||||
| Schwefel 2.21 | Mean | 1.01 | 0 | |||
| SD | 0 | |||||
| Step | Mean | |||||
| SD | ||||||
| Rastrigin | Mean | 2.53 | 0 | 0 | ||
| SD | 0 | 0 | ||||
| Ackley | Mean | |||||
| SD | 0 | 0 | ||||
| Griewank | Mean | 0 | 0 | |||
| SD | 0 | 0 |
| Function | Evaluation | AHA | TAHA | LAHA | DAHA | IAHA |
|---|---|---|---|---|---|---|
| Sphere | Mean | 0 | 0 | |||
| SD | 0 | 0 | 0 | |||
| Schwefel 2.22 | Mean | 0 | 0 | |||
| SD | 0 | 0 | ||||
| Schwefel 1.2 | Mean | 0 | 0 | |||
| SD | 0 | 0 | 0 | |||
| Schwefel 2.21 | Mean | 0 | 0 | |||
| SD | 0 | 0 | ||||
| Step | Mean | |||||
| SD | ||||||
| Rastrigin | Mean | 0 | 0 | 0 | 0 | 0 |
| SD | 0 | 0 | 0 | 0 | 0 | |
| Ackley | Mean | |||||
| SD | 0 | 0 | 0 | 0 | 0 | |
| Griewank | Mean | 0 | 0 | 0 | 0 | 0 |
| SD | 0 | 0 | 0 | 0 | 0 |
| Function | Evaluation | AHA | CLAHA | AOAHA | IAHA |
|---|---|---|---|---|---|
| Sphere | Mean | 0 | |||
| SD | 0 | 0 | |||
| Schwefel 2.22 | Mean | 0 | |||
| SD | 0 | ||||
| Schwefel 1.2 | Mean | 0 | |||
| SD | 0 | 0 | |||
| Schwefel 2.21 | Mean | 0 | |||
| SD | 0 | ||||
| Step | Mean | ||||
| SD | |||||
| Rastrigin | Mean | 0 | 0 | 0 | 0 |
| SD | 0 | 0 | 0 | 0 | |
| Ackley | Mean | ||||
| SD | 0 | 0 | 0 | 0 | |
| Griewank | Mean | 0 | 0 | 0 | 0 |
| SD | 0 | 0 | 0 | 0 |
| Function | PSO | WOA | GWO | AHA | TAHA | LAHA | DAHA | CLAHA | AOAHA |
|---|---|---|---|---|---|---|---|---|---|
| Sphere | 0 | 0 | 0 | 0 | 0 | 0 | 0 | 0 | |
| Schwefel 2.22 | 0 | 0 | 0 | 0 | 0 | 0 | 0 | 0 | |
| Schwefel 1.2 | 0 | 0 | 0 | 0 | 0 | 0 | 0 | 0 | |
| Schwefel 2.21 | 0 | 0 | 0 | 0 | 0 | 0 | 0 | 0 | |
| Step | 0 | 0 | 0 | 0 | 0 | 0.24 | 0 | 0 | 0 |
| Rastrigin | 0 | 0.35 | 0 | ||||||
| Ackley | 0 | 0 | 0 | ||||||
| Griewank | 0 | 0.09 | 0.09 |
| Warning Level | Symbol | ||||||||
|---|---|---|---|---|---|---|---|---|---|
| A | 4 | ||||||||
| B | 30–79.9 | 8.5–15.4 | 0.16–0.40 | 0.0016–0.0023 | 0.0021–0.004 | 0.00045–0.00066 | 0.0005-0.0099 | 1.6–4.9 | 3 |
| C | 23–29.9 | 15.5–19.4 | 0.06–0.15 | 0.0006–0.0015 | 0.0006–0.0020 | 0.00023–0.00044 | 0.0002–0.00049 | 0.59–1.59 | 2 |
| D | 16–22.9 | 19.5–23.5 | 0–0.05 | 0–0.0005 | 0–0.0005 | 0–0.00022 | 0–0.00019 | 0-0.58 | 1 |
| Model | Penalty Factor (C) | Parameter (g) | Accuracy Rate % |
|---|---|---|---|
| AHA-SVM | 548.744 | 62.098 | 94.1667 |
| IAHA-SVM | 123.979 | 0.891 | 98.3333 |
Disclaimer/Publisher’s Note: The statements, opinions and data contained in all publications are solely those of the individual author(s) and contributor(s) and not of MDPI and/or the editor(s). MDPI and/or the editor(s) disclaim responsibility for any injury to people or property resulting from any ideas, methods, instructions or products referred to in the content. |
© 2023 by the authors. Licensee MDPI, Basel, Switzerland. This article is an open access article distributed under the terms and conditions of the Creative Commons Attribution (CC BY) license (https://creativecommons.org/licenses/by/4.0/).
Share and Cite
Li, Z.; Feng, F. A Safety Warning Model Based on IAHA-SVM for Coal Mine Environment. Sensors 2023, 23, 6614. https://doi.org/10.3390/s23146614
Li Z, Feng F. A Safety Warning Model Based on IAHA-SVM for Coal Mine Environment. Sensors. 2023; 23(14):6614. https://doi.org/10.3390/s23146614
Chicago/Turabian StyleLi, Zhen, and Feng Feng. 2023. "A Safety Warning Model Based on IAHA-SVM for Coal Mine Environment" Sensors 23, no. 14: 6614. https://doi.org/10.3390/s23146614
APA StyleLi, Z., & Feng, F. (2023). A Safety Warning Model Based on IAHA-SVM for Coal Mine Environment. Sensors, 23(14), 6614. https://doi.org/10.3390/s23146614

