Analysis of Ankle Muscle Dynamics during the STS Process Based on Wearable Sensors
Abstract
1. Introduction
2. Method
2.1. Forward Dynamics Calculation of Joint Moment
2.1.1. Activation Dynamics Models
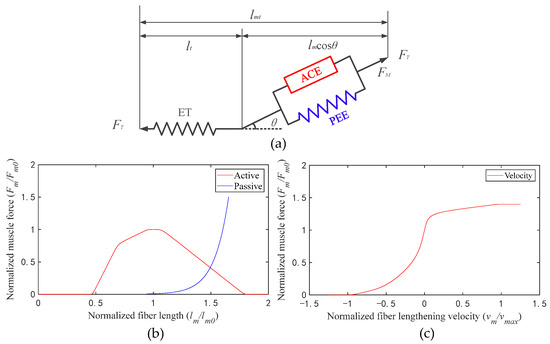
2.1.2. Muscle Tendon Model
2.1.3. Musculoskeletal Information
2.1.4. Joint Moment
2.2. Inverse Dynamics Calculation of Joint Moment
3. Experiment
4. Results
5. Discussion
6. Conclusions
Author Contributions
Funding
Institutional Review Board Statement
Informed Consent Statement
Data Availability Statement
Acknowledgments
Conflicts of Interest
References
- Hamard, R.; Hug, F.; Kelp, N.Y.; Feigean, R.; Aeles, J.; Dick, T.J.M. Inclusion of image-based In Vivo experimental data into the Hill-type muscle model affects the estimation of individual force-sharing strategies during walking. J. Biomech. 2022, 135, 111033. [Google Scholar] [CrossRef] [PubMed]
- Zhao, Y.; Ding, S.; Todoh, M. Validate the force-velocity relation of the Hill’s muscle model from a molecular perspective. Front. Bioeng. Biotechnol. 2022, 10, 1006571. [Google Scholar] [CrossRef] [PubMed]
- Ghosh, S.; Srivastava, A.K.; Roy, S. Dynamic modeling of pneumatic braided muscle actuator based on Hill muscle model. Int. J. Non-Linear Mech. 2023, 150, 104340. [Google Scholar] [CrossRef]
- Liu, K.; Yan, J.; Liu, Y.; Ye, M. Noninvasive Estimation of Joint Moments with Inertial Sensor System for Analysis of STS Rehabilitation Training. J. Healthc. Eng. 2018, 2018, 6570617. [Google Scholar] [CrossRef]
- Bujalski, P.; Martins, J.; Stirling, L. A Monte Carlo analysis of muscle force estimation sensitivity to muscle-tendon properties using a Hill-based muscle model. J. Biomech. 2018, 79, 67–77. [Google Scholar] [CrossRef]
- Luo, X.; Cai, G.; Ma, K.; Cai, A. Construction and Simulation of Biomechanical Model of Human Hip Joint Muscle-Tendon Assisted by Elastic External Tendon by Hill Muscle Model. Comput. Intell. Neurosci. 2022, 2022, 1987345. [Google Scholar] [CrossRef]
- Jamwal, P.K.; Hussain, S.; Tsoi, Y.H.; Ghayesh, M.H.; Xie, S.Q. Musculoskeletal modelling of human ankle complex: Estimation of ankle joint moments. Clin. Biomech. 2017, 44, 75–82. [Google Scholar] [CrossRef]
- Xie, K.; Lyu, Y.; Zhang, X.; Song, R. How Compliance of Surfaces Affects Ankle Moment and Stiffness Regulation During Walking. Front. Bioeng. Biotechnol. 2021, 9, 726051. [Google Scholar] [CrossRef]
- Buchanan, T.S.; Lloyd, D.G.; Manal, K.; Besier, T.F. Estimation of muscle forces and joint moments using a forward-inverse dynamics model. Med. Sci. Sport. Exerc. 2005, 37, 1911–1916. [Google Scholar] [CrossRef]
- Rutherford, D.; Baker, M. Knee moment outcomes using inverse dynamics and the cross product function in moderate knee osteoarthritis gait: A comparison study. J. Biomech. 2018, 78, 150–154. [Google Scholar] [CrossRef]
- Huang, Y.; Chen, K.; Zhang, X.; Wang, K.; Ota, J. Joint moment estimation for the human arm from sEMG using backpropagation neural networks and autoencoders. Biomed. Signal Process. Control. 2020, 62, 102501. [Google Scholar] [CrossRef]
- Bae, J.; Kong, K.; Tomizuka, M. Real-time Estimation of Lower Extremity Joint Moments in Normal Gait. IFAC Proc. 2009, 42, 443–448. [Google Scholar] [CrossRef]
- Belaise, C.; Blache, Y.; Thouzé, A.; Monnet, A.; Begon, M. Effect of wobbling mass modeling on joint dynamics during human movements with impacts. Multibody Syst. Dyn. 2016, 38, 345–366. [Google Scholar] [CrossRef]
- Heikenfeld, J.; Jajack, A.; Rogers, J.; Gutruf, P.; Tian, L.; Pan, T.; Li, R.; Khine, M.; Kim, J.; Wang, J. Wearable sensors: Modalities, challenges, and prospects. Lab A Chip 2018, 18, 217–248. [Google Scholar] [CrossRef] [PubMed]
- Wang, X.; Weng, L.; Zhang, X.; Guan, L.; Li, X. Preparation of multifunctional self-healing MXene/PVA double network hydrogel wearable strain sensor for monitoring human body and organ movement. Ceram. Int. 2023, 49, 26759–26766. [Google Scholar] [CrossRef]
- He, Z.; Wang, K.; Zhao, Z.; Zhang, T.; Li, Y.; Wang, L. A Wearable Flexible Acceleration Sensor for Monitoring Human Motion. Biosensors 2022, 12, 620. [Google Scholar] [CrossRef]
- Bandodkar, A.J.; Jeang, W.J.; Ghaffari, R.; Rogers, J.A. Wearable sensors for biochemical sweat analysis. Annu. Rev. Anal. Chem. 2019, 12, 1–22. [Google Scholar] [CrossRef]
- Huang, X.; Liu, Y.; Zhou, J.; Nejad, S.K.; Wong, T.H.; Huang, Y.; Hu, L.; Yiu, C.K.; Park, W.; Li, J.; et al. Garment embedded sweat-activated batteries in wearable electronics for continuous sweat monitoring. NPJ Flex. Electron. 2022, 6, 1–8. [Google Scholar] [CrossRef]
- Tao, W.; Liu, T.; Zheng, R.; Feng, H. Gait analysis using wearable sensors. Sensors 2012, 12, 2255–2283. [Google Scholar] [CrossRef] [PubMed]
- Chu, Y.; Zhong, J.; Liu, H.; Ma, Y.; Liu, N.; Song, Y.; Liang, J.; Shao, Z.; Sun, Y.; Dong, Y.; et al. Human pulse diagnosis for medical assessments using a wearable piezoelectret sensing system. Adv. Funct. Mater. 2018, 28, 1803413. [Google Scholar] [CrossRef]
- Gil-Martín, M.; Johnston, W.; San-Segundo, R.; Caulfield, B. Scoring Performance on the Y-Balance Test Using a Deep Learning Approach. Sensors 2021, 21, 7110. [Google Scholar] [CrossRef] [PubMed]
- Xiong, B.; Zeng, N.; Li, Y.; Du, M.; Huang, M.; Shi, W.; Mao, G.; Yang, Y. Determining the Online Measurable Input Variables in Human Joint Moment Intelligent Prediction Based on the Hill Muscle Model. Sensors 2020, 20, 1185. [Google Scholar] [CrossRef] [PubMed]
- Millard, M.; Uchida, T.; Seth, A.; Delp, S.L. Flexing computational muscle: Modeling and simulation of musculotendon dynamics. J. Biomech. Eng. 2013, 135, 021005. [Google Scholar] [CrossRef] [PubMed]
- Rajagopal, A.; Dembia, C.L.; DeMers, M.S.; Delp, D.D.; Hicks, J.L.; Delp, S.L. Full-Body Musculoskeletal Model for Muscle-Driven Simulation of Human Gait. IEEE Trans. Biomed. Eng. 2016, 63, 2068–2079. [Google Scholar] [CrossRef]
- Kim, H.; Palmieri-Smith, R.; Kipp, K. Muscle force contributions to ankle joint contact forces during an unanticipated cutting task in people with chronic ankle instability. J. Biomech. 2021, 124, 110566. [Google Scholar] [CrossRef]
- Miller, A.E.J.; MacDougall, J.D.; Tarnopolsky, M.A.; Sale, D.G. Gender differences in strength and muscle fiber characteristics. Eur. J. Appl. Physiol. 1993, 66, 254–262. [Google Scholar] [CrossRef]
- Kaplanis, P.A.; Pattichis, C.S.; Hadjileontiadis, L.J.; Roberts, V.C. Surface EMG analysis on normal subjects based on isometric voluntary contraction. J. Electromyogr. Kinesiol. 2009, 19, 157–171. [Google Scholar] [CrossRef]
- Russell, P.J.; Croce, R.V.; Swartz, E.E.; Decoster, L.C. Knee-muscle activation during landings: Developmental and gender comparisons. Med. Sci. Sport. Exerc. 2007, 39, 159–170. [Google Scholar] [CrossRef]
- Anderson, F.C.; Pandy, M.G. A Dynamic Optimization Solution for Vertical Jumping in Three Dimensions. Comput. Methods Biomech. Biomed. Eng. 1999, 2, 201–231. [Google Scholar] [CrossRef]
- Delp, S.L.; Loan, J.P.; Hoy, M.G.; Zajac, F.E.; Topp, E.L.; Rosen, J.M. An interactive graphics-based model of the lower extremity to study orthopaedic surgical procedures. IEEE Trans. Biomed. Eng. 1990, 37, 757–767. [Google Scholar] [CrossRef]
- Friederich, J.A.; Brand, R.A. Muscle fiber architecture in the human lower limb. J. Biomech. 1990, 23, 91–95. [Google Scholar] [CrossRef] [PubMed]
- GB/T 10000-1988; Standardization Administration of the People’s Republic of China. Human Dimensions of Chinese Adults; Standardization Administration of the People’s Republic of China: Beijing, China, 2004.
- GB/T 17245-2004; Standardization Administration of the People’s Republic of China. Inertial Parameters of Adult Human Body; Standardization Administration of the People’s Republic of China: Beijing, China, 2004.









| Muscle | Tib-Ant | Ext-Dig | Med-Gas | Soleus |
|---|---|---|---|---|
| Peaking force (N) | 831 | 470 | 1432 | 3262 |
| Optimal fiber length (mm) | 93 | 96 | 57 | 47 |
| Tendon length (mm) | 211 | 325 | 368 | 236 |
| Pennation angle at the optimum muscle fiber length (r) | 0.087 | 0.140 | 0.300 | 0.436 |
| Muscle origin (mm) | (17, 253, 10.4) | (2.8, 275.7, 26.4) | (−2.8, 17, −22.6) | (−1.8, 252, 6.7) |
| Via point 1 (mm) | (31, 33, −17) | (27.3, 27.3, 6.6) | (−13, 11.3, −24.5) | - |
| Via point 2 (mm) | - | (40.6, −2.8, 7.5) | - | - |
| Muscle insertion (mm) | (64, −22.7, −21.7) | (164, −41, 32.1) | (−46, −10.4, 2.8) | (−46, −10.4, 2.8) |
| Segments | Segment Length/ Height (%) | Segment Mass/ Whole Body Mass (%) | Center of Mass/ Segment Length Distance | Moment of Inertia (kg·m2) |
|---|---|---|---|---|
| Foot | 14.77 | 3.6 | 0.5 | 0.0044 |
| Shank | 23.86 | 10.6 | 0.567 | 0.0385 |
| Thigh | 28.13 | 22.7 | 0.567 | 0.1987 |
| HAT | 50.17 | 63.1 | 0.374 | 0.9180 |
Disclaimer/Publisher’s Note: The statements, opinions and data contained in all publications are solely those of the individual author(s) and contributor(s) and not of MDPI and/or the editor(s). MDPI and/or the editor(s) disclaim responsibility for any injury to people or property resulting from any ideas, methods, instructions or products referred to in the content. |
© 2023 by the authors. Licensee MDPI, Basel, Switzerland. This article is an open access article distributed under the terms and conditions of the Creative Commons Attribution (CC BY) license (https://creativecommons.org/licenses/by/4.0/).
Share and Cite
Liu, K.; Ji, S.; Liu, Y.; Gao, C.; Zhang, S.; Fu, J.; Dai, L. Analysis of Ankle Muscle Dynamics during the STS Process Based on Wearable Sensors. Sensors 2023, 23, 6607. https://doi.org/10.3390/s23146607
Liu K, Ji S, Liu Y, Gao C, Zhang S, Fu J, Dai L. Analysis of Ankle Muscle Dynamics during the STS Process Based on Wearable Sensors. Sensors. 2023; 23(14):6607. https://doi.org/10.3390/s23146607
Chicago/Turabian StyleLiu, Kun, Shuo Ji, Yong Liu, Chi Gao, Shizhong Zhang, Jun Fu, and Lei Dai. 2023. "Analysis of Ankle Muscle Dynamics during the STS Process Based on Wearable Sensors" Sensors 23, no. 14: 6607. https://doi.org/10.3390/s23146607
APA StyleLiu, K., Ji, S., Liu, Y., Gao, C., Zhang, S., Fu, J., & Dai, L. (2023). Analysis of Ankle Muscle Dynamics during the STS Process Based on Wearable Sensors. Sensors, 23(14), 6607. https://doi.org/10.3390/s23146607

