Estimation of Left and Right Ventricular Ejection Fractions from cine-MRI Using 3D-CNN
Abstract
1. Introduction
- -
- Proposed a method for simultaneously estimating the LVEF and RVEF from cine-MRI images of the heart.
- -
- Compared to traditional methods, the LVEF and RVEF were estimated without the need for tracing.
- -
- Showing the finding that the 3D-CNN captures left ventricle features rather than right ventricle features from the short-axis images.
2. Materials and Methods
2.1. Subjects and Images
2.2. Analysis Method
2.3. Evaluation of Accuracy
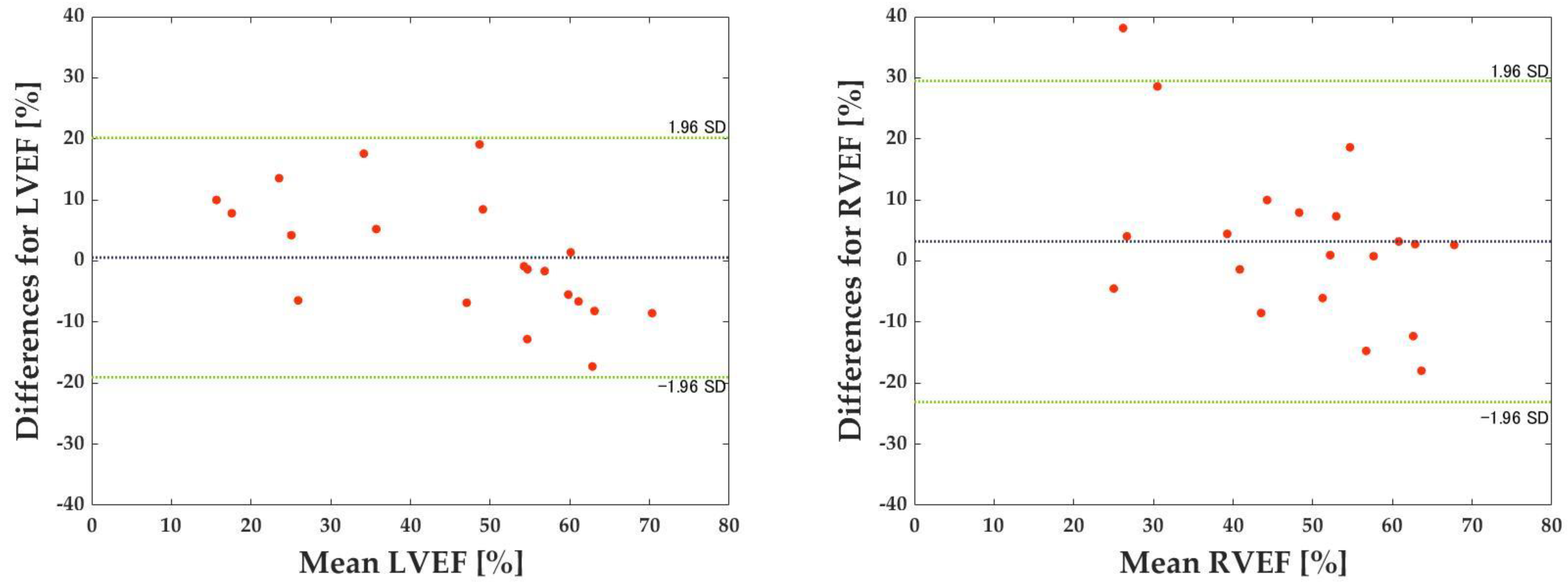
3. Results
4. Discussion
5. Conclusions
Author Contributions
Funding
Institutional Review Board Statement
Informed Consent Statement
Data Availability Statement
Acknowledgments
Conflicts of Interest
References
- Zhuang, X.; Li, L.; Payer, C.; Štern, D.; Urschler, M.; Heinrich, M.P.; Oster, J.; Wang, C.; Smedby, Ö.; Bian, C.; et al. Evaluation of Algorithms for Multi-Modality Whole Heart Segmentation: An Open-Access Grand Challenge. Med. Image Anal. 2019, 58, 101537. [Google Scholar] [CrossRef] [PubMed]
- Liu, Z.; He, X.; Lu, Y. Combining UNet 3+ and Transformer for Left Ventricle Segmentation via Signed Distance and Focal Loss. Appl. Sci. 2022, 12, 9208. [Google Scholar] [CrossRef]
- Vonk-Noordegraaf, A.; Haddad, F.; Chin, K.M.; Forfia, P.R.; Kawut, S.M.; Lumens, J.; Naeije, R.; Newman, J.; Oudiz, R.J.; Provencher, S.; et al. Right Heart Adaptation to Pulmonary Arterial Hypertension: Physiology and Pathobiology. J. Am. Coll. Cardiol. 2013, 62, 22–33. [Google Scholar] [CrossRef]
- Sugeng, L.; Mor-Avi, V.; Weinert, L.; Niel, J.; Ebner, C.; Steringer-Mascherbauer, R.; Schmidt, F.; Galuschky, C.; Schummers, G.; Lang, R.M.; et al. Quantitative Assessment of Left Ventricular Size and Function: Side-by-Side Comparison of Real-Time Three-Dimensional Echocardiography and Computed Tomography with Magnetic Resonance Reference. Circulation 2006, 114, 654–661. [Google Scholar] [CrossRef]
- Pickett, C.A.; Cheezum, M.K.; Kassop, D.; Villines, T.C.; Hulten, E.A. Accuracy of Cardiac CT, Radionucleotide and Invasive Ventriculography, Two- and Three-Dimensional Echocardiography, and SPECT for Left and Right Ventricular Ejection Fraction Compared with Cardiac MRI: A Meta-Analysis. Eur. Heart J. Cardiovasc. Imaging 2015, 16, 848–852. [Google Scholar] [CrossRef]
- Singh, S.P.; Wang, L.; Gupta, S.; Goli, H.; Padmanabhan, P.; Gulyás, B. 3d Deep Learning on Medical Images: A Review. Sensors 2020, 20, 5097. [Google Scholar] [CrossRef] [PubMed]
- Zhang, R.; Zhuo, L.; Chen, M.; Yin, H.; Li, X.; Wang, Z. Hybrid Deep Feature Fusion of 2D CNN and 3D CNN for Vestibule Segmentation from CT Images. Comput. Math. Methods Med. 2022, 2022, 6557593. [Google Scholar] [CrossRef]
- Sugimori, H.; Sugiyama, T.; Nakayama, N.; Yamashita, A. Development of a Deep Learning-Based Algorithm to Detect the Distal End of a Surgical Instrument. Appl. Sci. 2020, 10, 4245. [Google Scholar] [CrossRef]
- Sugimori, H. Evaluating the Overall Accuracy of Additional Learning and Automatic Classification System for CT Images. Appl. Sci. 2019, 9, 682. [Google Scholar] [CrossRef]
- Manabe, K.; Asami, Y.; Yamada, T.; Sugimori, H. Improvement in the Convolutional Neural Network for Computed Tomography Images. Appl. Sci. 2021, 11, 1505. [Google Scholar] [CrossRef]
- Sugimori, H.; Hamaguchi, H.; Fujiwara, T.; Ishizaka, K. Classification of Type of Brain Magnetic Resonance Images with Deep Learning Technique. Magn. Reson. Imaging 2021, 77, 180–185. [Google Scholar] [CrossRef] [PubMed]
- Yoon, T.; Kang, D. Bimodal CNN for Cardiovascular Disease Classification by Co-Training ECG Grayscale Images and Scalograms. Sci. Rep. 2023, 13, 2937. [Google Scholar] [CrossRef] [PubMed]
- Özkaraca, O.; Bağrıaçık, O.İ.; Gürüler, H.; Khan, F.; Hussain, J.; Khan, J.; Laila, U.e. Multiple Brain Tumor Classification with Dense CNN Architecture Using Brain MRI Images. Life 2023, 13, 349. [Google Scholar] [CrossRef] [PubMed]
- Oura, D.; Sato, S.; Honma, Y.; Kuwajima, S.; Sugimori, H. Quality Assurance of Chest X-Ray Images with a Combination of Deep Learning Methods. Appl. Sci. 2023, 13, 2067. [Google Scholar] [CrossRef]
- Ichikawa, S.; Hamada, M.; Sugimori, H. A Deep-Learning Method Using Computed Tomography Scout Images for Estimating Patient Body Weight. Sci. Rep. 2021, 11, 15627. [Google Scholar] [CrossRef]
- Ichikawa, S.; Itadani, H.; Sugimori, H. Prediction of Body Weight from Chest Radiographs Using Deep Learning with a Convolutional Neural Network. Radiol. Phys. Technol. 2023, 16, 127–134. [Google Scholar] [CrossRef]
- Usui, K.; Yoshimura, T.; Tang, M.; Sugimori, H. Age Estimation from Brain Magnetic Resonance Images Using Deep Learning Techniques in Extensive Age Range. Appl. Sci. 2023, 13, 1753. [Google Scholar] [CrossRef]
- Ichikawa, S.; Itadani, H.; Sugimori, H. Toward Automatic Reformation at the Orbitomeatal Line in Head Computed Tomography Using Object Detection Algorithm. Phys. Eng. Sci. Med. 2022, 45, 835–845. [Google Scholar] [CrossRef]
- Kawakami, M.; Hirata, K.; Furuya, S.; Kobayashi, K.; Sugimori, H.; Magota, K.; Katoh, C. Development of Combination Methods for Detecting Malignant Uptakes Based on Physiological Uptake Detection Using Object Detection with PET-CT MIP Images. Front. Med. 2020, 7, 616746. [Google Scholar] [CrossRef]
- Yoshimura, T.; Nishioka, K.; Hashimoto, T.; Mori, T.; Kogame, S.; Seki, K.; Sugimori, H.; Yamashina, H.; Nomura, Y.; Kato, F.; et al. Prostatic Urinary Tract Visualization with Super-Resolution Deep Learning Models. PLoS ONE 2023, 18, e0280076. [Google Scholar] [CrossRef]
- Yoshimura, T.; Hasegawa, A.; Kogame, S.; Magota, K.; Kimura, R.; Watanabe, S.; Hirata, K.; Sugimori, H. Medical Radiation Exposure Reduction in PET via Super-Resolution Deep Learning Model. Diagnostics 2022, 12, 872. [Google Scholar] [CrossRef]
- Juhong, A.; Li, B.; Yao, C.-Y.; Yang, C.-W.; Agnew, D.W.; Lei, Y.L.; Huang, X.; Piyawattanametha, W.; Qiu, Z. Super-Resolution and Segmentation Deep Learning for Breast Cancer Histopathology Image Analysis. Biomed. Opt. Express 2023, 14, 18. [Google Scholar] [CrossRef]
- Luan, S.; Xue, X.; Wei, C.; Ding, Y.; Zhu, B.; Wei, W. Machine Learning-Based Quality Assurance for Automatic Segmentation of Head-and-Neck Organs-at-Risk in Radiotherapy. Technol. Cancer Res. Treat. 2023, 22, 15330338231157936. [Google Scholar] [CrossRef]
- Matsui, T.; Sugimori, H.; Koseki, S.; Koyama, K. Postharvest Biology and Technology Automated Detection of Internal Fruit Rot in Hass Avocado via Deep Learning-Based Semantic Segmentation of X-ray Images. Postharvest Biol. Technol. 2023, 203, 112390. [Google Scholar] [CrossRef]
- Sun, X.; Garg, P.; Plein, S.; van der Geest, R.J. SAUN: Stack Attention U-Net for Left Ventricle Segmentation from Cardiac Cine Magnetic Resonance Imaging. Med. Phys. 2021, 48, 1750–1763. [Google Scholar] [CrossRef]
- Tran, D.; Bourdev, L.; Fergus, R.; Torresani, L.; Paluri, M. Learning Spatiotemporal Features with 3D Convolutional Networks. Proc. IEEE Int. Conf. Comput. Vis. 2015, 2015, 4489–4497. [Google Scholar] [CrossRef]
- Yoshimura, T.; Manabe, K.; Sugimori, H. Non-Invasive Estimation of Gleason Score by Semantic Segmentation and Regression Tasks Using a Three-Dimensional Convolutional Neural Network. Appl. Sci. 2023, 13, 8028. [Google Scholar] [CrossRef]
- Bernard, O.; Lalande, A.; Zotti, C.; Cervenansky, F.; Yang, X.; Heng, P.A.; Cetin, I.; Lekadir, K.; Camara, O.; Gonzalez Ballester, M.A.; et al. Deep Learning Techniques for Automatic MRI Cardiac Multi-Structures Segmentation and Diagnosis: Is the Problem Solved? IEEE Trans. Med. Imaging 2018, 37, 2514–2525. [Google Scholar] [CrossRef] [PubMed]
- Liu, Z.; Zhang, Y.; Li, W.; Li, S.; Zou, Z.; Chen, B. Multislice Left Ventricular Ejection Fraction Prediction from Cardiac MRIs without Segmentation Using Shared SptDenNet. Comput. Med. Imaging Graph. 2020, 86, 101795. [Google Scholar] [CrossRef] [PubMed]
- Yu, A.C.; Mohajer, B.; Eng, J. External Validation of Deep Learning Algorithms for Radiologic Diagnosis: A Systematic Review. Radiol. Artif. Intell. 2022, 4, e210064. [Google Scholar] [CrossRef]
- Lin, A.; Wu, J.; Yang, X. A Data Augmentation Approach to Train Fully Convolutional Networks for Left Ventricle Segmentation. Magn. Reson. Imaging 2020, 66, 152–164. [Google Scholar] [CrossRef] [PubMed]
- Ivanov, I.; Lomaev, Y.; Barkovskaya, A. Automatic Calculation of Left Ventricular Volume in Magnetic Resonance Imaging Using an Image-Based Clustering Approach. IOP Conf. Ser. Mater. Sci. Eng. 2019, 537, 042046. [Google Scholar] [CrossRef]
- Codella, N.C.F.; Cham, M.D.; Wong, R.; Chu, C.; Min, J.K.; Prince, M.R.; Wang, Y.; Weinsaft, J.W. Rapid and Accurate Left Ventricular Chamber Quantification Using a Novel CMR Segmentation Algorithm: A Clinical Validation Study. J. Magn. Reson. Imaging 2010, 31, 845–853. [Google Scholar] [CrossRef] [PubMed]
- Lu, Y.; Fu, J.; Li, X.; Zhou, W.; Liu, S.; Zhang, X.; Wu, W.; Jia, C.; Liu, Y.; Chen, Z. RTN: Reinforced Transformer Network for Coronary CT Angiography Vessel-Level Image Quality Assessment. In Lecture Notes in Computer Science; Springer: Berlin/Heidelberg, Germany, 2022; Volume 13431, pp. 644–653. [Google Scholar] [CrossRef]









| Environment | Contents |
|---|---|
| Software | MATLAB 2022a |
| OS | Windows 10 |
| CPU | Intel core i9-10980XE 3.0 GHz |
| GPU | NVIDIA RTX A6000 48 GB × 2 |
| Memory | DDR4 2933 Quad-Channel 64 GB |
| Correlation Coefficient R | MAE | RMSE | |
|---|---|---|---|
| dataset A | 0.845 (p < 0.05) | 9.31 | 12.26 |
| dataset B | 0.704 (p < 0.05) | 10.48 | 14.54 |
| dataset C | 0.824 (p < 0.05) | 8.56 | 11.76 |
| dataset D | 0.888 (p < 0.05) | 8.17 | 9.77 |
| dataset E | 0.757 (p < 0.05) | 10.51 | 12.97 |
| Correlation Coefficient R | MAE | RMSE | |
|---|---|---|---|
| dataset F | 0.407 (p = 0.08) | 13.4 | 16.8 |
| dataset G | 0.637 (p < 0.05) | 11.02 | 13.92 |
| dataset H | 0.641 (p < 0.05) | 9.74 | 13.64 |
| dataset I | 0.641 (p < 0.05) | 10.47 | 14.11 |
| dataset J | 0.480 (p < 0.05) | 12.4 | 16.28 |
| Correlation Coefficient R | MAE | RMSE | |
|---|---|---|---|
| LVEF | 0.804 | 9.41 | 12.26 |
| RVEF | 0.561 | 11.35 | 14.95 |
Disclaimer/Publisher’s Note: The statements, opinions and data contained in all publications are solely those of the individual author(s) and contributor(s) and not of MDPI and/or the editor(s). MDPI and/or the editor(s) disclaim responsibility for any injury to people or property resulting from any ideas, methods, instructions or products referred to in the content. |
© 2023 by the authors. Licensee MDPI, Basel, Switzerland. This article is an open access article distributed under the terms and conditions of the Creative Commons Attribution (CC BY) license (https://creativecommons.org/licenses/by/4.0/).
Share and Cite
Inomata, S.; Yoshimura, T.; Tang, M.; Ichikawa, S.; Sugimori, H. Estimation of Left and Right Ventricular Ejection Fractions from cine-MRI Using 3D-CNN. Sensors 2023, 23, 6580. https://doi.org/10.3390/s23146580
Inomata S, Yoshimura T, Tang M, Ichikawa S, Sugimori H. Estimation of Left and Right Ventricular Ejection Fractions from cine-MRI Using 3D-CNN. Sensors. 2023; 23(14):6580. https://doi.org/10.3390/s23146580
Chicago/Turabian StyleInomata, Soichiro, Takaaki Yoshimura, Minghui Tang, Shota Ichikawa, and Hiroyuki Sugimori. 2023. "Estimation of Left and Right Ventricular Ejection Fractions from cine-MRI Using 3D-CNN" Sensors 23, no. 14: 6580. https://doi.org/10.3390/s23146580
APA StyleInomata, S., Yoshimura, T., Tang, M., Ichikawa, S., & Sugimori, H. (2023). Estimation of Left and Right Ventricular Ejection Fractions from cine-MRI Using 3D-CNN. Sensors, 23(14), 6580. https://doi.org/10.3390/s23146580

