Application of the Electromagnetic Method to the Spatial Distribution of Subsurface Saline and Fresh Water in the Coastal Mudflat Area of Jiangsu Province
Abstract
1. Introduction
2. Study Area Overview
2.1. Landform Overview
2.2. Geological Overview
2.3. Geoelectric Characteristics
3. Data Collection
3.1. Instrument Modification
3.2. Drag-and-Drop Mobile Reception System
4. Methodology
5. Profile Interpretation Method
5.1. Drill Hole Data Analysis
5.2. Analysis of Profile Results
5.3. Interpretation
6. Spatial Distribution of Saline and Fresh Water
7. Conclusions
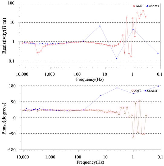
- The modified electromagnetic sensors can adapt to the high-salt and highly corrosive environment of tidal flat areas. The water–land amphibious dragging platform can quickly collect data and obtain reliable data. Under the geological conditions of thick and low-resistivity cover in tidal flat areas, the CSAMT detection depth can reach 200 m, and the AMT can reach 500 m. In terms of the resolution of shallow subsurface layers, CSAMT has the stronger detection capability.
- By combining electromagnetic data with other information, such as shallow seismic exploration, the characteristics of the main structure of the Neogene strata and the distribution of underground brackish and fresh water in the Yangkou Port area can be interpreted. Through the subdivision of the top and bottom boundaries of the main aquifers in the Neogene strata and the thickness of clay aquitards, the salinity and water content of the strata water can be effectively evaluated. The distribution of regional clay aquitards can further analyze the replacement relationship of the quality of fresh water and brackish water in the aquifers.
Author Contributions
Funding
Institutional Review Board Statement
Data Availability Statement
Conflicts of Interest
References
- Al-Amoush, H.; Al-Tarazi, E.; Abu Rajab, J.; Al-Dwyeek, Y.; Al-Atrash, M.; Shudiefat, A. Geophysical Investigation Using Time Domain Electromagnetic Method (TDEM) at Wadi Deir Al-Kahaf Area/Jordan for Groundwater Artificial Recharge Purposes. J. Water Resour. Prot. 2015, 7, 143–151. [Google Scholar] [CrossRef]
- Lee, K.S.; Kim, T.H. Topographic relief mapping on lnter-tidal mudflat in Kyongki bay area using infrared bands of multi-temporal Landsat TM data. J. Remote Sens. 2004, 20, 163–173. [Google Scholar]
- Jaud, M.; Grasso, F.; Le Dantec, N.; Verney, R.; Delacourt, C.; Ammann, J.; Deloffre, J.; Grandjean, P. Potential of UAVs for Monitoring Mudflat Morphodynamics (Application to the Seine Estuary, France). ISPRS Int. J. Geo-Inf. 2016, 5, 50. [Google Scholar] [CrossRef]
- Yogeshwar, P.; Tezkan, B.; Haroon, A. Investigation of the Azraq sedimentary basin, Jordan using integrated geoelectrical and electromagnetic techniques. Near Surf. Geophys. 2013, 11, 381–390. [Google Scholar] [CrossRef]
- Abuzied, S.M.; Kaiser, M.F.; Shendi, E.-A.H.; Abdel-Fattah, M.I. Multi-criteria decision support for geothermal resources exploration based on remote sensing, GIS and geophysical techniques along the Gulf of Suez coastal area, Egypt. Geothermics 2020, 88, 101893. [Google Scholar] [CrossRef]
- Kubo, R.; Kawasaki, S.; Suzuki, K.; Yamaguchi, S.; Hata, T. Geological structure of beachrock by geophysical exploration: Application to Yagaji Island in Okinawa, Japan. In Proceedings of the 11th SEGJ International Symposium, Yokohama, Japan, 18–21 November 2013; Society of Exploration Geophysicists: Yokohama, Japan, 2013; pp. 232–235. [Google Scholar] [CrossRef]
- Døssing, A.; Martelet, G.; Rasmussen, T.M.; Gloaguen, E.; da Silva, E.L.S.; Linde, J. A Multidisciplinary UAV- and Ground-Geophysical Mapping of Complex Mineralisations in an Inter-Tidal Coastal Zone, Brittany (France). In Proceedings of the NSG2020 3rd Conference on Geophysics for Mineral Exploration and Mining, Online, 7–8 December 2020; European Association of Geoscientists & Engineers: Utrecht, The Netherlands, 2020; pp. 1–5. [Google Scholar] [CrossRef]
- Hu, C.F.; Pan, C.H.; Wu, X.G.; Tang, Z.W.; Zheng, J. Tidal flat evolution law and its mechanism on the south bank of Hangzhou Bay from 1959 to 2019. Adv. Water Sci. 2021, 32, 230–241. [Google Scholar] [CrossRef]
- Hua, Y.M. Research of Remote Sensing Dynamic Monitoring for Mudflat Area Reclamation and Utilization Resources of Hangzhou Bay. Master’s Thesis, Zhejiang University, Hangzhou, China, 2016. [Google Scholar]
- Zhu, Y.; Huang, Y.; Zeng, H.; Kong, L.W. Engineering geological features and shallow gas distributionin south bank of Hangzhou bay bridge. Rock Soil Mech. 2002, 23, 215–219. [Google Scholar] [CrossRef]
- Yang, L.; Mei, R. Applying controlled source audio-frequency magnetotelluric soundings to investigate banded geothermalreservoirs in reclaimed tideland along the coast of Jiangsu. Shanghai Land Resour. 2020, 41, 87–92. [Google Scholar]
- Huang, Y. Three Dimensional Variation and Risk Assessment of Soil Salinity in a Coastal Saline Land. Master’s Thesis, Jiangxi University of Finance and Economics, Nanchang, China, 2016. [Google Scholar]
- Ou, X.Y.; Li, H.L.; Yang, F.Q.; Mo, Y.J.; Lu, H.C. A preliminary study of the application of the audio magnetotelluric method to the investigation of seawater intrusion in Beihai. Geophys. Geochem. Explor. 2020, 44, 66–73. [Google Scholar] [CrossRef]
- Jiangsu Research Institute of Geological Survey. Nantong(I51C004001) 1/250,000 Regional Geological Survey Report; Report of Regional Geological Survey; Jiangsu Research Institute of Geological Survey: Nanjing, Jiangsu, 2003. [Google Scholar]
- Jiangsu East China Geological Survey Group, Co. SanCang Town (I51E020003), Jianggang (I51E020004), Libao (I51E021003), BingCha Town (I51E021004), ChaHe Town (I51E022004), BaiPu Town (I51E023004) 1/50,000 Regional Geological Survey Report; Report of Regional Geological Survey; Jiangsu East China Geological Survey Group Co.: Nanjing, Jiangsu, 2016. [Google Scholar]
- Nanjing Geological Survey Center, China Geological Survey. Yangkou Farm (I51E021005), Fengli Town (I51E022005), Beikan Town (I51E022006), Rudong County (I51E023005), Datong Town (I51E023006) 1/50,000 Regional Geological Survey Report; Report of Regional Geological Survey; Nanjing Geological Survey Center, China Geological Survey: Nanjing, Jiangsu, 2015. [Google Scholar]
- Shang, T.; Xu, Z.; Gong, X.; Li, X.; Tian, S.; Guan, Y. Application of electrical sounding to determine the spatial distribution of groundwater quality in the coastal area of Jiangsu Province, China. J. Hydrol. 2023, 599, 126348. [Google Scholar] [CrossRef]
- Zuo, L.Q.; Fan, D.F.; Wang, C.Y. Geothermal Survey Report of Xiaoyangkou Area, Rudong County, Jiangsu Province; Jiangsu Geological Survey Research Institute: Nanjing, Jiangsu, 2011. [Google Scholar]
- Jing, H.; Zou, P.F.; Wang, C.Y. Report on Geothermal Resource Investigation of RRY-1 Geothermal Well in Yangkou Township Area, Rudong County, Jiangsu Province; Jiangsu Geological Survey Research Institute: Nanjing, Jiangsu, 2014. [Google Scholar]
- Tang, X.Q.; Dong, J.; Danian, B.X.; Li, J. Investigation and research on the saline and fresh water interface of the coastal zone aquifer by electric method. Hydrogeol. Eng. Geol. 2007, 34, 38–43. [Google Scholar] [CrossRef]
- Sun, J.H.; Cheng, L.Q.; Zhao, W.F.; Ren, G.J.; Sun, G.S.; Wang, R.P.; Pei, M.X. Relationship between apparent resistivity and chloride ion concentration in seawater intrusion areas: A case study of Qinhuangdao. Geophys. Geochem. Explor. 2022, 46, 518–524. [Google Scholar] [CrossRef]
- Li, G.; Wu, S.L.; Cai, H.Z.; He, Z.S.; Liu, X.Q.; Zhou, C.; Tang, J.T. IncepTCN: A new deep temporal convolutional network combined with dictionary learning for strong cultural noise elimination of controlled-source electromagnetic data. Geophysics 2023, 88, E107–E122. [Google Scholar] [CrossRef]
- Piao, H.R. Principle of Electromagnetic Sounding Method; Geological Publishing House: Beijing, China, 1990. [Google Scholar]
- Kaufman, A.A.; Keller, G.V. Frequency-Domain and Time-Domain Electromagnetic Sounding; Geological Publishing House: Beijing, China, 1987. [Google Scholar]
- De Groot-Hedlin, C.; Constable, S. Occam’s inversion to generate smooth two–dimensional models from magnetotelluric data. Geophysics 1990, 55, 1613–1624. [Google Scholar] [CrossRef]
- Yue, H.Y.; Zhang, B.W.; Wang, K.; Li, J.L.; Wang, G.K.; Chen, D.Y. A shallow high-precision seismic detection technique for coastal mudflat areas. Geophys. Geochem. Explor. 2019, 43, 1225–1235. [Google Scholar] [CrossRef]
- Zhang, B.W.; Zhang, K.; Yue, H.Y.; Wang, K.; Chen, D.Y. Technical application of shallow seismic detection method in Jiangsu mudflat area. Geophys. Geochem. Explor. 2018, 42, 144–153. [Google Scholar] [CrossRef]
- Zhang, Z.H.; Chen, F.H.; Shi, D.H. Investigation Report on the Site Selection of Geothermal Drilling Wells in the 11.5 km2 Area of the Second Phase of the Polder in Yangkou, Rudong County; Jiangsu Provincial Engineering Physical Survey Institute: Nanjing, China, 2009. [Google Scholar]
- Fan, D.F.; Xu, X.Q.; Dai, K.M. Study on the genesis of the Xiaoyangkou geothermal field in Rudong County, Jiangsu. J. Geol. 2012, 36, 192–197. [Google Scholar] [CrossRef]
- Zhang, Z.H.; Wang, J.C.; Dai, K.M. Application of CSAMT in geothermal exploration in coastal polder areas. Geophys. Geochem. Explor. 2014, 38, 680–683. [Google Scholar] [CrossRef]
- Li, Y.; Jiang, Y.H.; Yang, G.Q.; Jin, Y.; Yang, H. Fracture characteristics and their significance in the Yangkou area of Rudong, Jiangsu. J. Geomech. 2016, 22, 602–609. [Google Scholar] [CrossRef]
- Zuo, L.Q.; Wang, C.H.; Jing, H.; Qiu, Y. Application of integrated physical prospecting method in geothermal exploration in Xiaoyangkou area of Nantong. J. Eng. Geophys. 2016, 13, 122–129. [Google Scholar] [CrossRef]
- Fan, D.F.; Xu, N.L. Study on the mineralization pattern of medium and low-temperature geothermal resources in the northern Jiangsu basin. Hydrogeol. Eng. Geol. 2015, 42, 164–170. [Google Scholar] [CrossRef]














| Areas | Electrical Layer | ρs/(Ω·m) | Geological Properties |
|---|---|---|---|
| Freshwater areas | ρ1 | 10–30 | Quaternary topsoil layer |
| ρ2 | 20–60 | Quaternary sand and clay interbeds | |
| ρ3 | 10–20 | Quaternary bottom clay, Neoproterozoic mudstone | |
| ρ4 | 5–15 | Paleocene to Middle Triassic | |
| ρ5 | >200 | Paleozoic | |
| Saline water areas | ρ1 | 10–30 | Quaternary topsoil layer |
| ρ2 | 2–12 | Quaternary, Neoproterozoic, and Paleocene sands | |
| ρ3 | 15–50 | Cretaceous to Middle Triassic | |
| ρ4 | >200 | Paleozoic |
| Stratigraphic | Starting Depth (m) | Final Depth (m) | Thickness (m) | Lithological Description |
|---|---|---|---|---|
| Series 4 Q | 0 | 15 | 15 | Silt |
| 15 | 30 | 15 | Coarse-grained sand | |
| 35 | 100 | 65 | Light grey fine sand, quartz sand | |
| 100 | 125 | 25 | Large-grained sandstone, ginger gravel, pale white quartz sand | |
| 125 | 165 | 40 | Large grains of sea sand | |
| 165 | 250 | 85 | Miscellaneous sandstone | |
| 250 | 290 | 40 | Grey mudstone, medium-grained sandstone | |
| 290 | 301 | 11 | Coarse-grained sea sand | |
| 301 | 304 | 3 | Coarse sand | |
| 306 | 316 | 10 | Light yellow clay with minor sandstone | |
| 318 | 324 | 6 | Grey soft mudstone, sandstone | |
| Neophyte system N | 324 | 336 | 12 | Light yellow clayey mud, light grey sandstone, conglomerate |
| 338 | 384 | 46 | Light grey muddy sandstone, fine sandstone | |
| 386 | 398 | 12 | Yellow soft mudstone, coarse-grained sandstone | |
| 400 | 406 | 6 | Grey muddy sandstone | |
| 408 | 430 | 22 | Grey clayey mud, large-grained sandstone, gravel | |
| 432 | 444 | 12 | Light yellow mudstone, coarse-grained sandstone, gravel | |
| 446 | 464 | 18 | Greyish yellow mudstone, quartz sand, gravel | |
| 466 | 472 | 6 | Large-grained sandstone, quartz sand, gravel | |
| 474 | 498 | 24 | Greyish light grey coarse-grained, fine-grained sandstone, gravel, quartz sand | |
| 502 | 510 | 8 | Grey clay, coarse sand, fine sand, gravel | |
| 512 | 526 | 14 | Light yellow clayey mud, coarse-grained sandstone, gravelly with more gravel | |
| 528 | 538 | 10 | Large gravel | |
| 540 | 564 | 24 | Light yellow soft mudstone, large-grained quartz sand | |
| 566 | 598 | 32 | Light grey clay, fine sand | |
| 598 | 610 | 12 | Grey clay, fine sand | |
| 612 | 616 | 4 | Coarse-grained quartz sand | |
| 618 | 626 | 8 | Yellow soft clay, large-grained quartz sand | |
| 628 | 646 | 18 | Grey clay, medium to coarse quartz sand | |
| 648 | 686 | 38 | Large to medium coarse-grained quartz sand with nodule agglomerates | |
| 688 | 688.5 | 0.5 | Light yellow clay, large quartz sand | |
| 690 | 698 | 8 | Soft yellow clay, a little grit | |
| 700 | 732 | 32 | Light grey soft clay, muddy sand | |
| 734 | 746 | 12 | Dark red soft clay, large-grained quartz sand | |
| 748 | 758 | 10 | Grey clay sand, coarse-grained quartz sand | |
| 760 | 760.5 | 0.5 | Grey soft clay sand | |
| 762 | 762.5 | 0.5 | Brownish-black hard mud slate, coarse-grained quartz sand | |
| 764 | 776 | 12 | Brownish-black carbonaceous rigid mudstone, pinkish-white calcareous siltstone, coarse-grained quartz sand, sandstone with a little gravel | |
| 788 | 794 | 6 | Light yellow-grey muddy sand, gravel | |
| Paleocene E | 796 | 818 | 22 | Black carbonaceous hard mudstone, minor off-white calcareous sandstone, large-grained quartz sand |
| 828 | 840 | 12 | Light yellow soft clay, silt | |
| 842 | 848 | 6 | Light grey fine sandstone, clay, quartz sand | |
| 850 | 856 | 6 | Light red soft mudstone, greyish white calcareous sandstone, quartz sand, gravel | |
| 858 | 866 | 8 | Quartz sand, pale yellow gravel, minor sand grains, transformed to brownish-black hard mud slate, quartz sand, minor sand grains | |
| 868 | 1008 | 140 | Yellow sandstone, gravel, quartz sand, fine sand, brown hard mudstone | |
| 1010 | 1018 | 8 | Pink mudstone, quartz sand, fine sand, gravel, brown hard mudstone | |
| 1020 | 1058 | 38 | Gravel | |
| Cretaceous K | 1058 | 1073 | 15 | Sandstone |
Disclaimer/Publisher’s Note: The statements, opinions and data contained in all publications are solely those of the individual author(s) and contributor(s) and not of MDPI and/or the editor(s). MDPI and/or the editor(s) disclaim responsibility for any injury to people or property resulting from any ideas, methods, instructions or products referred to in the content. |
© 2023 by the authors. Licensee MDPI, Basel, Switzerland. This article is an open access article distributed under the terms and conditions of the Creative Commons Attribution (CC BY) license (https://creativecommons.org/licenses/by/4.0/).
Share and Cite
Zhu, W.; Wang, W.; Wang, D.; Wang, G.; Cui, A.; Xi, Y.; Li, F.; Zhang, B.; Zhang, G. Application of the Electromagnetic Method to the Spatial Distribution of Subsurface Saline and Fresh Water in the Coastal Mudflat Area of Jiangsu Province. Sensors 2023, 23, 6405. https://doi.org/10.3390/s23146405
Zhu W, Wang W, Wang D, Wang G, Cui A, Xi Y, Li F, Zhang B, Zhang G. Application of the Electromagnetic Method to the Spatial Distribution of Subsurface Saline and Fresh Water in the Coastal Mudflat Area of Jiangsu Province. Sensors. 2023; 23(14):6405. https://doi.org/10.3390/s23146405
Chicago/Turabian StyleZhu, Wei, Wenguo Wang, Dayong Wang, Gang Wang, Aiming Cui, Yongzai Xi, Fei Li, Baowei Zhang, and Gege Zhang. 2023. "Application of the Electromagnetic Method to the Spatial Distribution of Subsurface Saline and Fresh Water in the Coastal Mudflat Area of Jiangsu Province" Sensors 23, no. 14: 6405. https://doi.org/10.3390/s23146405
APA StyleZhu, W., Wang, W., Wang, D., Wang, G., Cui, A., Xi, Y., Li, F., Zhang, B., & Zhang, G. (2023). Application of the Electromagnetic Method to the Spatial Distribution of Subsurface Saline and Fresh Water in the Coastal Mudflat Area of Jiangsu Province. Sensors, 23(14), 6405. https://doi.org/10.3390/s23146405

