Modelling of the Energy Depletion Process and Battery Depletion Attacks for Battery-Powered Internet of Things (IoT) Devices
Abstract
1. Introduction
2. Energy Consumption Models for IoT Devices
2.1. Power Consumption of an IoT Device
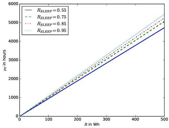
2.2. Modelling of the Expected Lifetime of an IoT Device
2.3. Stochastic Modelling of the Battery of an IoT Device
3. Energy Depletion Attacks in IoT Networks
4. Modelling the Energy Depletion Process for a Battery of an IoT Device
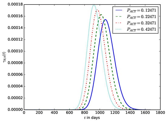
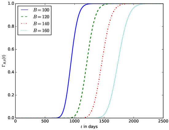
4.1. Markovian Model of the Battery for IoT Devices
4.2. Diffusion Approximation Model of the Battery for IoT Devices
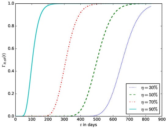
5. Analysis of Ghost Energy Depletion Attacks on an IoT Network
- 1
- The energy consumption of the various hardware components of the IoT device (e.g., microcontrollers, radio transceivers, sensors, actuators, and other electronic components). Energy-demanding microcontrollers and radio transceivers will consume more energy than energy-efficient ones. They will drain the energy stored in the battery of the IoT device quickly during a battery depletion attack.
- 2
- The energy capacity of the IoT battery. For a given IoT device, the lifetime depends mainly on its battery’s energy capacity. With a high-capacity battery, the lifetime of the device could be longer. A ghost energy depletion attack will quickly shut down a device with a small battery capacity.
- 3
- Frequency of data collection (sensing), actuation (where necessary), processing, and communication (reception and transmission of information). The more frequent the device’s sensing, processing, actuation, processing, and communication operations, the higher the device’s energy consumption. A ghost attacker could compel victim IoT devices to perform such operations more frequently than during normal operations.
- 4
- The MAC protocol in the link layer. A ghost attacker can abuse the MAC protocol in the link layer to create collisions, thus increasing the energy consumption of the devices sharing the channel with it. A collision-free protocol at the link layer could reduce this kind of attack.
- 5
- The cryptographic algorithm is implemented on the IoT device to encrypt and decrypt information. The energy required to encrypt or decrypt a packet depends on the number of microcontroller clock cycles required to execute the algorithm (encryption or decryption) and the average current drawn by each cycle. Therefore, with information about the number of cycles required to execute the algorithm, the current drawn in each cycle, the microcontroller’s clock frequency, and the microcontroller’s operating voltage, the energy required to execute an encryption or decryption algorithm on an IoT device can be estimated. The more sophisticated or computationally intensive the cryptographic algorithm, the more quickly it can be leveraged by an attacker to drain the energy of an IoT device.
- 6
- The packet sizes. The longer the packet size, the more energy is required to transmit the packet and the longer the time required to transmit the packet. A ghost attacker could decide to create longer packets that take too long to transmit, causing other IoT devices sharing the channel with it to experience more collisions.
5.1. Analysis of High Computational Load Ghost Energy Depletion Attack
5.2. Analysis of MAC Misbehaviour Ghost Energy Depletion Attack
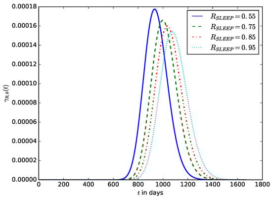
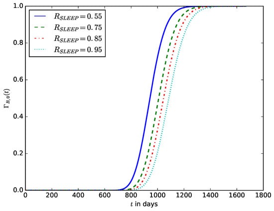
6. Numerical Examples
7. Conclusions
Author Contributions
Funding
Institutional Review Board Statement
Informed Consent Statement
Data Availability Statement
Conflicts of Interest
References
- Homssi, B.A.; Al-Hourani, A.; Chandrasekharan, S.; Gomez, K.M.; Kandeepan, S. On the Bound of Energy Consumption in Cellular IoT Networks. IEEE Trans. Green Commun. Netw. 2019, 4, 355–364. [Google Scholar] [CrossRef]
- Raymond, D.R.; Marchany, R.C.; Brownfield, M.I.; Midkiff, S.F. Effects of Denial-of-Sleep Attacks on Wireless Sensor Network MAC Protocols. IEEE Trans. Veh. Technol. 2009, 58, 367–380. [Google Scholar] [CrossRef]
- Ioulianou, P.P.; Vassilakis, V.G.; Logothetis, M.D. Battery Drain Denial-of-Service Attacks and Defenses in the Internet of Things. J. Telecommun. Inf. Technol. 2019, 2, 37–45. [Google Scholar] [CrossRef]
- Meng, T.; Li, X.; Zhang, S.; Zhao, Y. A Hybrid Secure Scheme for Wireless Sensor Networks against Timing Attacks Using Continuous-Time Markov Chain and Queueing Model. Sensors 2016, 16, 1606. [Google Scholar] [CrossRef] [PubMed]
- Guo, Z.; Harris, I.G.; Jiang, Y.; Tsaur, L.F. An efficient approach to prevent Battery Exhaustion Attack on BLE-based mesh networks. In Proceedings of the 2017 International Conference on Computing, Networking and Communications (ICNC), Silicon Valley, CA, USA, 26–29 January 2017; pp. 1–5. [Google Scholar] [CrossRef]
- Shakhov, V.; Koo, I.; Rodionov, A. Energy exhaustion attacks in wireless networks. In Proceedings of the 2017 International Multi-Conference on Engineering, Computer and Information Sciences (SIBIRCON), Novosibirsk, Russia, 18–22 September 2017; pp. 1–3. [Google Scholar] [CrossRef]
- Shakhov, V.; Koo, I. Depletion-of-Battery Attack: Specificity, Modelling and Analysis. Sensors 2018, 18, 1849. [Google Scholar] [CrossRef] [PubMed]
- Czachórski, T.; Gelenbe, E.; Kuaban, G.S. Modelling energy changes in the energy harvesting battery of an IoT device. In Proceedings of the 2022 30th International Symposium on Modeling, Analysis, and Simulation of Computer and Telecommunication Systems (MASCOTS), Nice, France, 18–20 October 2022; pp. 81–88. [Google Scholar] [CrossRef]
- Gelenbe, E. On Approximate Computer Systems Models. J. ACM 1975, 22, 261–269. [Google Scholar] [CrossRef]
- Gelenbe, E.; Pujolle, G. The Behaviour of a Single-Queue in a General Queueing Network. Acta Inf. 1976, 7, 123–136. [Google Scholar] [CrossRef]
- Kobayashi, H. Application of the diffusion approximationto queueing networks, Part 1: Equilibrium queue distributions. J. ACM 1974, 21, 316–328. [Google Scholar] [CrossRef]
- Czachórski, T.; Gelenbe, E.; Kuaban, S.G.; Marek, D. Transient Behaviour of a Network Router. In Proceedings of the 43th International Conference on Telecommunications and Signal Processing, Milano, Italy, 7–9 July 2020. [Google Scholar]
- Czachórski, T.; Gelenbe, E.; Kuaban, G.S.; Marek, D. Time-Dependent Performance of a Multi-Hop Software Defined Network. Appl. Sci. 2021, 11, 2469. [Google Scholar] [CrossRef]
- Sørensen, A.; Wang, H.; Remy, M.J.; Kjettrup, N.; Sørensen, R.B.; Nielsen, J.J.; Popovski, P.; Madueño, G.C. Modeling and Experimental Validation for Battery Lifetime Estimation in NB-IoT and LTE-M. IEEE Internet Things J. 2022, 9, 9804–9819. [Google Scholar] [CrossRef]
- Naderi, M.Y.; Basagni, S.; Chowdhury, K.R. Modeling the residual energy and lifetime of energy harvesting sensor nodes. In Proceedings of the 2012 IEEE Global Communications Conference (GLOBECOM), Anaheim, CA, USA, 3–7 December 2012; pp. 3394–3400. [Google Scholar] [CrossRef]
- Li, Q.; Gochhayat, S.P.; Conti, M.; Liu, F. EnergIoT: A solution to improve network lifetime of IoT devices. Pervasive Mob. Comput. 2017, 42, 124–133. [Google Scholar] [CrossRef]
- Raval, M.; Bhardwaj, S.; Aravelli, A.; Dofe, J.; Gohel, H. Smart energy optimization for massive IoT using artificial intelligence. Internet Things 2021, 13, 100354. [Google Scholar] [CrossRef]
- Martinez, B.; Montón, M.; Prades, J.D. The Power of Models: Modeling Power Consumption for IoT Devices. IEEE Sens. J. 2015, 15, 5777–5789. [Google Scholar] [CrossRef]
- Michelinakis, F.; Al-selwi, A.S.; Capuzzo, M.; Zanella, A.; Mahmood, K.; Elmokashfi, A. Dissecting Energy Consumption of NB-IoT Devices Empirically. IEEE Internet Things J. 2021, 8, 1224–1242. [Google Scholar] [CrossRef]
- Lauridsen, M.; Krigslund, R.; Rohr, M.; Madueno, G. An Empirical NB-IoT Power Consumption Model for Battery Lifetime Estimation. In Proceedings of the 2018 IEEE 87th Vehicular Technology Conference (VTC), Porto, Portugal, 3–6 June 2018; pp. 1–5. [Google Scholar] [CrossRef]
- XIDASIOT. IoT’s Power Problem; XIDAS: Irvine, CA, USA.
- Aktas̨, A.; Kirçiçek, Y. Solar Hybrid Systems and Energy Storage Systems; Elsevier: Amsterdam, The Netherlands, 2021; pp. 87–125. [Google Scholar]
- Zhang, Q.; Cui, N.; Shang, Y.; Duan, B.; Zhang, C. An improved Peukert battery model of nonlinear capacity considering temperature effect. In Proceedings of the 5th IFAC Conference on Engine and Powertrain Control, Simulation and Modeling E-COSM, Changchun, China, 20–22 September 2018; pp. 665–669. [Google Scholar] [CrossRef]
- Gelenbe, E. Energy packet networks: ICT based energy allocation and storage. In Proceedings of the International Conference on Green Communications and Networking, Colmar, France, 5–7 October 2011; Springer: Berlin/Heidelberg, Germany, 2011; pp. 186–195. [Google Scholar]
- Gelenbe, E. Energy packet networks: Adaptive energy management for the cloud. In Proceedings of the CloudCP’12—2nd International Workshop on Cloud Computing Platforms, Bern, Switzerland, 10 April 2012; ACM: New York, NY, USA, 2012; pp. 1–5. [Google Scholar]
- Gelenbe, E. Energy packet networks: Smart electricity storage to meet surges in demand. In Proceedings of the SimuTools, Desenzano del Garda, Italy, 19–23 March 2012; pp. 1–7. [Google Scholar]
- Gelenbe, E.; Morfopoulou, C. A Framework for Energy-Aware Routing in Packet Networks. Comput. J. 2011, 54, 850–859. [Google Scholar] [CrossRef]
- Gelenbe, E. Adaptive Management of Energy Packets. In Proceedings of the COMPSAC Workshops, Vasteras, Sweden, 21–25 July 2014; pp. 1–6. [Google Scholar]
- Gelenbe, E.; Kadioglu, Y.M. Energy loss through standby and leakage in energy harvesting wireless sensors. In Proceedings of the CAMAD, Guildford, UK, 7–9 September 2015; pp. 231–236. [Google Scholar]
- Gelenbe, E. A sensor node with energy harvesting. ACM SIGMETRICS Perform. Eval. Rev. 2014, 42, 37–39. [Google Scholar] [CrossRef]
- Gelenbe, E.; Kadioglu, Y.M. Energy Life-Time of Wireless Nodes with Network Attacks and Mitigation. In Proceedings of the 2018 IEEE International Conference on Communications Workshops (ICC Workshops), Kansas City, MO, USA, 20–24 May 2018; pp. 1–6. [Google Scholar] [CrossRef]
- Gelenbe, E.; Murat, K.Y. Battery attacks on sensors: Wireless nodes with battery attacks. In Proceedings of the EuroCybersec 2018: International Symposium on Computer and Information Sciences, Cybersecurity Workshop, London, UK, 26–27 February 2018; Springer: Cham, Switzerland, 2018. [Google Scholar] [CrossRef]
- Jornet, J.M.; Akyildiz, I.F. Joint Energy Harvesting and Communication Analysis for Perpetual Wireless Nanosensor Networks in the Terahertz Band. IEEE Trans. Nanotechnol. 2012, 11, 570–580. [Google Scholar] [CrossRef]
- Gautam, A.; Dharmaraja, S. An analytical model driven by fluid queue for battery life time of a user equipment in LTE-A networks. Phys. Commun. 2018, 30, 213–219. [Google Scholar] [CrossRef]
- Tunc, C.; Akar, N. Markov fluid queue model of an energy harvesting IoT device with adaptive sensing. Perform. Eval. 2017, 111, 1–16. [Google Scholar] [CrossRef]
- Jones, G.L.; Harrison, P.G.; Harder, U.; Field, T. Fluid Queue Models of Battery Life. In Proceedings of the 2011 IEEE 19th Annual International Symposium on Modelling, Analysis, and Simulation of Computer and Telecommunication Systems, Singapore, 25–27 July 2011; pp. 278–285. [Google Scholar] [CrossRef]
- Czachórski, T.; Nycz, M.; Nycz, T.; Pekergin, F. Analytical and numerical means to model transient states in computer networks. In Proceedings of the Computer Networks: 20th International Conference, CN 2013, Lwówek Śląski, Poland, 17–21 June 2013; Springer: Berlin/Heidelberg, Germany, 2013; pp. 426–435. [Google Scholar]
- Czachórski, T. Queuing Models for Performance evaluation of Computer Networks-Transient State Analysis. In Analytic Methods in Interdisciplinary Applications; Mityushev, V.V., Ed.; Springer: Cham, Switzerland, 2014; Volume 116, pp. 51–80. [Google Scholar] [CrossRef]
- Abdelrahman, O.; Gelenbe, E. A Diffusion Model for Energy Harvesting Sensor Nodes. In Proceedings of the 24th IEEE International Symposium on Modeling, Analysis and Simulation of Computer and Telecommunication Systems (MASCOTS), London, UK, 19–21 September 2016; pp. 154–158. [Google Scholar]
- Abdelrahman, O.H. A Markov-Modulated Diffusion Model for Energy Harvesting Sensor Nodes. Probab. Eng. Inf. Sci. 2017, 31, 505–515. [Google Scholar] [CrossRef]
- Cai, L.X.; Liu, Y.; Luan, T.H.; Shen, X.S.; Mark, J.W.; Poor, H.V. Sustainability Analysis and Resource Management for Wireless Mesh Networks with Renewable Energy Supplies. IEEE J. Sel. Areas Commun. 2014, 32, 345–355. [Google Scholar] [CrossRef]
- Czachórski, T.; Gelenbe, E.; Kuaban, G.S.; Marek, D. Energy optimization for an Unmanned Aerial Vehicle (e.g., Drone) during its Mission. SN Comput. Sci. 2022, in press. [Google Scholar]
- Nguyen, V.L.; Hwang, R.H. Energy Depletion Attacks in Low Power Wireless Networks. IEEE Access 2019, 7, 51915–51932. [Google Scholar] [CrossRef]
- Min, R.; Chandrakasan, A. MobiCom poster: Top five myths about the energy consumption of wireless communication. ACM SIGMOBILE Mob. Comput. Commun. Rev. 2003, 7, 65–67. [Google Scholar] [CrossRef]
- Pu, C.; Groves, B. Energy Depletion Attack in Low Power and Lossy Networks: Analysis and Defenses. In Proceedings of the IEEE 2019 2nd International Conference on Data Intelligence and Security (ICDIS), South Padre Island, TX, USA, 28–30 June 2019; pp. 14–21. [Google Scholar] [CrossRef]
- Cao, X.; Shila, D.M.; Cheng, Y.; Yang, Z.; Zhou, Y.; Chen, J. Ghost-in-ZigBee: Energy Depletion Attack on ZigBee-Based Wireless Networks. Internet Things J. 2016, 3, 816–829. [Google Scholar] [CrossRef]
- Ali, A.; Shah, G.A.; Arshad, J. Energy efficient techniques for M2M communication: A survey. J. Netw. Comput. Appl. 2016, 68, 42–55. [Google Scholar] [CrossRef]
- Smith, R.; Palin, D.; Ioulianou, P.P.; Vassilakis, V.G.; Shahandashti, S.F. Battery draining attacks against edge computing nodes in IoT networks. Cyber-Phys. Syst. 2020, 6, 96–116. [Google Scholar] [CrossRef]
- Vasconcelos, G.; Carrijo, G.; Miani, R.; Souza, J.; Guizilini, V. UAVs Path Deviation Attacks: Survey and Research Challenges. In Proceedings of the 2020 IEEE International Conference on Sensing, Communication and Networking (SECON Workshops), Como, Italy, 22–26 June 2020; pp. 1–6. [Google Scholar] [CrossRef]
- Koparan, C.; Koc, A.B.; Privette, C.V.; Sawyer, C.B. In Situ Water Quality Measurements Using an Unmanned Aerial Vehicle (UAV) System. Water 2018, 10, 264. [Google Scholar] [CrossRef]
- Koparan, C.; Koc, A.B.; Privette, C.V.; Sawyer, C.B. Autonomous In Situ Measurements of Noncontaminant Water Quality Indicators and Sample Collection with a UAV. Water 2019, 11, 604. [Google Scholar] [CrossRef]
- Koparan, C.; Koc, A.B.; Privette, C.V.; Sawyer, C.B. Adaptive Water Sampling Device for Aerial Robots. Drones 2020, 4, 5. [Google Scholar] [CrossRef]
- Euchi, J. Do drones have a realistic place in a pandemic fight for delivering medical supplies in healthcare systems problems? Chin. J. Aeronaut. 2020, 34, 182–190. [Google Scholar] [CrossRef]
- Desnitsky, V.; Kotenko, I. Simulation and assessment of battery depletion attacks on unmanned aerial vehicles for crisis management infrastructures. Simul. Model. Pract. Theory 2021, 107, 102244. [Google Scholar] [CrossRef]
- Proto, A.; de Brito Carvalho, T.C.M. Applying distance metrics for anomaly detection of energy-based attacks in IoT sensors. Braz. J. Dev. 2020, 6, 92412–92435. [Google Scholar] [CrossRef]
- Kleinrock, L. Queueing Systems; Wiley: New York, NY, USA, 1975; Volume I, pp. 72–74. [Google Scholar]
- Cox, R.P.; Miller, H.D. The Theory of Stochastic Processes; Chapman and Hall: London, UK, 1965. [Google Scholar]
- Buchholz, P.; Kriege, J.; Felko, I. Input Modeling with Phase-Type Distributions and Markov Models: Theory and Applications; Springer: Berlin/Heidelberg, Germany, 2014. [Google Scholar]
- Reinecke, P.; Krauß, T.; Wolter, K. Hyperstar: Phase-type fitting made easy. In Proceedings of the 2012 Ninth International Conference on Quantitative Evaluation of Systems, London, UK, 17–20 September 2012; pp. 201–202. [Google Scholar]
- Newton, E. How to Optimise Your IoT Device’s Power Consumption. Machine Learning, 5 April 2021. [Google Scholar]




















Disclaimer/Publisher’s Note: The statements, opinions and data contained in all publications are solely those of the individual author(s) and contributor(s) and not of MDPI and/or the editor(s). MDPI and/or the editor(s) disclaim responsibility for any injury to people or property resulting from any ideas, methods, instructions or products referred to in the content. |
© 2023 by the authors. Licensee MDPI, Basel, Switzerland. This article is an open access article distributed under the terms and conditions of the Creative Commons Attribution (CC BY) license (https://creativecommons.org/licenses/by/4.0/).
Share and Cite
Kuaban, G.S.; Gelenbe, E.; Czachórski, T.; Czekalski, P.; Tangka, J.K. Modelling of the Energy Depletion Process and Battery Depletion Attacks for Battery-Powered Internet of Things (IoT) Devices. Sensors 2023, 23, 6183. https://doi.org/10.3390/s23136183
Kuaban GS, Gelenbe E, Czachórski T, Czekalski P, Tangka JK. Modelling of the Energy Depletion Process and Battery Depletion Attacks for Battery-Powered Internet of Things (IoT) Devices. Sensors. 2023; 23(13):6183. https://doi.org/10.3390/s23136183
Chicago/Turabian StyleKuaban, Godlove Suila, Erol Gelenbe, Tadeusz Czachórski, Piotr Czekalski, and Julius Kewir Tangka. 2023. "Modelling of the Energy Depletion Process and Battery Depletion Attacks for Battery-Powered Internet of Things (IoT) Devices" Sensors 23, no. 13: 6183. https://doi.org/10.3390/s23136183
APA StyleKuaban, G. S., Gelenbe, E., Czachórski, T., Czekalski, P., & Tangka, J. K. (2023). Modelling of the Energy Depletion Process and Battery Depletion Attacks for Battery-Powered Internet of Things (IoT) Devices. Sensors, 23(13), 6183. https://doi.org/10.3390/s23136183

