Structural Health Monitoring in Long-Span Steel Structures Based on the BeiDou Navigation Satellite System
Abstract
1. Introduction
2. Project Background and Tianhan System
2.1. Project Background
2.2. The BDS-Based SHM System
2.3. BIM
2.4. Numerical Calculation Model
2.5. ZigBee and Hardware Preparation
2.6. Tianhan App
3. Application of the Tianhan System
3.1. Overview
3.2. Displacement Monitoring
3.3. Stress Monitoring
4. Results and Discussion
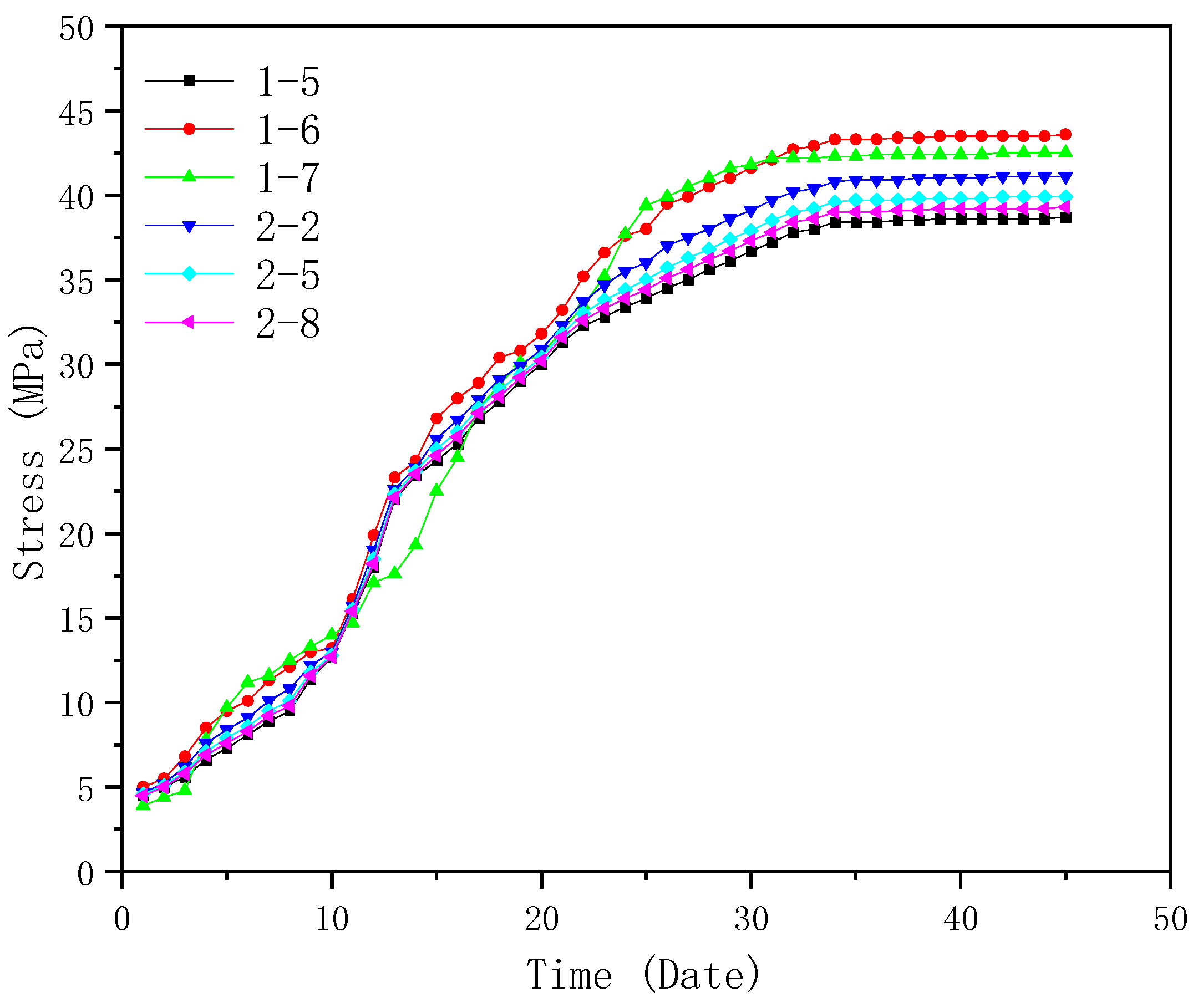
4.1. Typical Monitoring Results and Discussion
4.2. Maximum Monitoring Results and Discussion
4.3. Potential Applications, Limitations and Future Work
5. Conclusions
Author Contributions
Funding
Institutional Review Board Statement
Informed Consent Statement
Data Availability Statement
Conflicts of Interest
References
- Kabando, E.K.; Gong, J. An overview of long-span spatial grid structures failure case studies. Asian J. Civ. Eng. 2019, 20, 1137–1152. [Google Scholar] [CrossRef]
- DeLoach, S.R. Continuous deformation monitoring with GPS. J. Surv. Eng. 1989, 115, 93–110. [Google Scholar] [CrossRef]
- Xu, L.; Peng, J.; Wei, Y.; Jiang, K.; Wang, W.; Liu, M. Deformation Monitoring of Steel Structures based on Measuring Robots and Global Navigation Satellite Systems During Unloading Construction. In IOP Conference Series: Earth and Environmental Science; IOP Publishing: Bristol, UK, 2021. [Google Scholar] [CrossRef]
- Xi, R.; Xiao, Y.; Liu, X.; Wang, K. Feasibility analysis of high-precision deformation monitoring using BeiDou navigation satellite system. In China Satellite Navigation Conference (CSNC) 2015 Proceedings: Volume I; Springer: Berlin/Heidelberg, Germany, 2015; pp. 27–34. [Google Scholar] [CrossRef]
- Jiang, W.; Xi, R.; Chen, H.; Xiao, Y. Accuracy analysis of continuous deformation monitoring using BeiDou Navigation Satellite System at middle and high latitudes in China. Adv. Space Res. 2017, 59, 843–857. [Google Scholar] [CrossRef]
- Li, Z.H.; Zhang, X.H.; Zhu, Z. A new model of high accuracy deformation monitoring with GPS. Acta Geod. Et Cartogr. Sin. 2002, 31, 206–210. Available online: https://www.docin.com/p-1098280401.html (accessed on 15 May 2023). (In Chinese).
- Jiang, W.; Liu, H.; Liu, W.; He, Y. CORS development for Xilongchi dam deformation monitoring. Geomat. Inf. Sci. Wuhan Univ. 2012, 37, 949–952. Available online: http://ch.whu.edu.cn/en/article/id/283 (accessed on 15 May 2023).
- Zhang, X.; Li, Z.; Xu, S. A new model for high accuracy deformation monitor with GPS. Geomat. Inf. Sci. Wuhan Univ. 2001, 26, 451–454. Available online: http://ch.whu.edu.cn/en/article/id/5212 (accessed on 15 May 2023).
- Ikehara, M.E. Global Positioning System surveying to monitor land subsidence in Sacramento Valley, California, USA. Hydrol. Sci. J. 1994, 39, 417–429. [Google Scholar] [CrossRef]
- Jackson, M.E.; Bodin, P.W.; Savage, W.Z.; Nel, E.M. Measurement of local horizontal velocities on the Slumgullion landslide using the Global Positioning System. U.S. Geol. Surv. Bull. 1996, 2130, 93–95. Available online: https://www.researchgate.net/publication/283996104_Measurement_of_local_velocities_on_the_Slumgullion_landslide_using_the_Global_Positioning_System (accessed on 15 May 2023).
- King, M.A.; Williams, S.D. Apparent stability of GPS monumentation from short-baseline time series. J. Geophys. Res. Solid Earth 2009, 114, B10403. [Google Scholar] [CrossRef]
- Xi, R.; Chen, H.; Meng, X.; Jiang, W.; Chen, Q. Reliable dynamic monitoring of bridges with integrated GPS and BeiDou. J. Surv. Eng. 2018, 144, 04018008. [Google Scholar] [CrossRef]
- Wieser, A.; Brunner, F.K. Analysis of bridge deformations using continuous GPS measurements. In Proceedings of the 2th International Conference of Engineering Surveying-INGEO, Bratislava, Slovakia, 11–13 November 2002; pp. 45–52. Available online: https://www.researchgate.net/publication/228461750_Analysis_of_Bridge_Deformations_using_Continuous_GPS_Measurements (accessed on 15 May 2023).
- Moschas, F.; Psimoulis, P.A.; Stiros, S.C. GPS/RTS data fusion to overcome signal deficiencies in certain bridge dynamic monitoring projects. Smart Struct. Syst. 2013, 12, 251–269. [Google Scholar] [CrossRef]
- Moschas, F.; Stiros, S. Dynamic multipath in structural bridge monitoring: An experimental approach. GPS Solut. 2014, 18, 209–218. [Google Scholar] [CrossRef]
- Yang, Y.; Li, J.; Wang, A.; Xu, J.; He, H.; Guo, H.; Shen, J.; Dai, X. Preliminary assessment of the navigation and positioning performance of BeiDou regional navigation satellite system. Sci. China Earth Sci. 2014, 57, 144–152. [Google Scholar] [CrossRef]
- He, H.; Li, J.; Yang, Y.; Xu, J.; Guo, H.; Wang, A. Performance assessment of single- and dual-frequency BeiDou/GPS single-epoch kinematic positioning. GPS Solut. 2014, 18, 393–403. [Google Scholar] [CrossRef]
- Yang, Y.; Li, J.; Xu, J.; Tang, J.; Guo, H.; He, H. Contribution of the compass satellite navigation system to global PNT users. Chin. Sci. Bull. 2011, 56, 2813–2819. [Google Scholar] [CrossRef]
- Shi, C.; Zhao, Q.; Li, M.; Tang, W.; Hu, Z.; Lou, Y.; Zhang, H.; Niu, X.; Liu, J. Precise orbit determination of Beidou Satellites with precise positioning. Sci. China Earth Sci. 2012, 55, 1079–1086. [Google Scholar] [CrossRef]
- Deng, C.; Tang, W.; Liu, J.; Shi, C. Reliable single-epoch ambiguity resolution for short baselines using combined GPS/BeiDou system. GPS Solut. 2014, 18, 375–386. [Google Scholar] [CrossRef]
- Verhagen, S.; Teunissen, P.J. Ambiguity resolution performance with GPS and BeiDou for LEO formation flying. Adv. Space Res. 2014, 54, 830–839. [Google Scholar] [CrossRef]
- Montenbruck, O.; Hauschild, A.; Steigenberger, P.; Hugentobler, U.; Teunissen, P.; Nakamura, S. Initial assessment of the COMPASS/BeiDou-2 regional navigation satellite system. GPS Solut. 2013, 17, 211–222. [Google Scholar] [CrossRef]
- Zhang, X.; Wu, M.; Liu, W.; Li, X.; Yu, S.; Lu, C.; Wickert, J. Initial assessment of the COMPASS/BeiDou-3: New-generation navigation signals. J. Geod. 2017, 91, 1225–1240. [Google Scholar] [CrossRef]
- Wanninger, L.; Beer, S. BeiDou satellite-induced code pseudorange variations: Diagnosis and therapy. GPS Solut. 2015, 19, 639–648. [Google Scholar] [CrossRef]
- Xi, R.; Chen, Q.; Xi, R.; Meng, X.; Jiang, W. Analysis of bridge deformations using real-time BDS measurements. In Proceedings of the 2017 6th International Conference on Computer Science and Network Technology (ICCSNT), Dalian, China, 21–22 October 2017; pp. 532–536. [Google Scholar] [CrossRef]
- Xiao, Y.; Jiang, W.; Chen, H.; Yuan, P.; Xi, R. Research and realization of deformation monitoring algorithm with millimeter level precision based on Beidou navigation satellite system. Acta Geod. Et Cartogr. Sin. 2016, 45, 16. [Google Scholar] [CrossRef]
- Shi, C.; Zhao, Q.; Hu, Z.; Liu, J. Precise relative positioning using real tracking data from COMPASS GEO and IGSO satellites. GPS Solut. 2013, 17, 103–119. [Google Scholar] [CrossRef]
- Msaewe, H.A.; Hancock, C.M.; Psimoulis, P.A.; Roberts, G.W.; Bonenberg, L.; Ligt, H.D. Investigating multi-GNSS performance in the UK and China based on a zero-baseline measurement approach. Measurement 2017, 102, 186–199. [Google Scholar] [CrossRef]
- Noemi, B.; Giuseppe, L.; Gianmario, B. Damage identification procedure for seismically isolated bridges. Struct. Control Health Monit. 2012, 19, 565–578. [Google Scholar] [CrossRef]
- Khatir, S.; Tiachacht, S.; Benaissa, B.; Thanh, C.L.; Capozucca, R.; Wahab, M.A. Damage Identification in Frame Structure Based on Inverse Analysis. In Lecture Notes in Civil Engineering, Proceedings of the 2nd International Conference on Structural Damage Modelling and Assessment: SDMA 2021, Ghent University, Gent, Belgium, 4–5 August 2022; Springer: Berlin/Heidelberg, Germany, 2022. [Google Scholar] [CrossRef]
- Tiachacht, S.; Bouazzouni, A.; Khatir, S.; Wahab, A.M.; Behtani, A.; Capozucca, R. Damage assessment in structures using combination of a modified Cornwell indicator and genetic algorithm. Eng. Struct. 2018, 177, 421–430. [Google Scholar] [CrossRef]
- Ghannadi, P.; Kourehli, S.S.; Noori, M.; Altabey, W.A. Efficiency of grey wolf optimization algorithm for damage detection of skeletal structures via expanded mode shapes. Adv. Struct. Eng. 2020, 23, 2850–2865. [Google Scholar] [CrossRef]
- Rao, R.V.; Patel, V. An elitist teaching-learning-based optimization algorithm for solving complex constrained optimization problems. Int. J. Ind. Eng. Comput. 2012, 3, 535–560. [Google Scholar] [CrossRef]
- Yang, X.S.; Deb, S. Cuckoo Search via Levy Flights. In Proceedings of the 2009 World Congress on Nature & Biologically Inspired Computing (NaBIC), Coimbatore, India, 9–11 December 2010. [Google Scholar] [CrossRef]
- Yang, X.S.; Deb, S. Engineering Optimisation by Cuckoo Search. Int. J. Math. Model. Numer. Optim. 2010, 1, 330–343. [Google Scholar] [CrossRef]
- Benaissa, B.; Hocine, N.A.; Khatir, S.; Riahi, M.S.; Mirjalili, S. YUKI Algorithm and POD-RBF for Elastostatic and dynamic crack identification. J. Comput. Sci. 2021, 55, 101451. [Google Scholar] [CrossRef]
- Slimani, M.; Khatir, T.; Tiachacht, S.; Boutchicha, D.; Benaissa, B. Experimental sensitivity analysis of sensor placement based on virtual springs and damage quantification in CFRP composite. J. Mater. Eng. Struct. 2022, 9, 207–220. Available online: http://revue.ummto.dz/index.php/JMES/article/view/3140 (accessed on 15 May 2023).
- Kahouadji, A.; Tiachacht, S.; Slimani, M.; Behtani, A.; Khatir, S.; Benaissa, B. Vibration-Based Damage Assessment in Truss Structures Using Local Frequency Change Ratio Indicator Combined with Metaheuristic Optimization Algorithms. In Lecture Notes in Civil Engineering, Proceedings of the International Conference of Steel and Composite for Engineering Structures: ICSCES 2022, Ancona, Italy, 12–13 September 2023; Springer International Publishing: Cham, Switzerland, 2023; pp. 171–185. [Google Scholar] [CrossRef]
- GB_T1591-2018; High Strength Low Alloy Structural Steels. State Administration for Market Regulation and Standardization Administration of China: Beijing, China, 2018.
- GB50205-2020; Standard for Acceptance Of Construction Quality of Steel Structures. Ministry of Housing and Urban-Rural Development of the People's Republic of China: Beijing, China, 2020.
- Guo, W.; Wang, G.; Bao, Y.; Li, P.; Zhang, M.; Gong, Q.; Li, R.; Gao, Y.; Zhao, R.; Shen, S. Detection and monitoring of tunneling-induced riverbed deformation using GPS and BeiDou: A case study. Appl. Sci. 2019, 9, 2759. [Google Scholar] [CrossRef]
- Sony, S.; Laventure, S.; Sadhu, A. A literature review of next-generation smart sensing technology in structural health monitoring. Struct. Control Health Monit. 2019, 26, e2321. [Google Scholar] [CrossRef]
- Farrar, C.R.; Worden, K. An introduction to structural health monitoring. Philos. Trans. R. Soc. A Math. Phys. Eng. Sci. 2007, 365, 303–315. [Google Scholar] [CrossRef]
- Li, H.N.; Li, D.S.; Song, G.B. Recent applications of fiber optic sensors to health monitoring in civil engineering. Eng. Struct. 2004, 26, 1647–1657. [Google Scholar] [CrossRef]
- Song, G.; Wang, C.; Wang, B. Structural health monitoring (SHM) of civil structures. Appl. Sci. 2017, 7, 789. [Google Scholar] [CrossRef]
- Xiao, H. Performance Analysis of Beidou Precision Landing Technology for Runway Airport. In Frontier Computing: Proceedings of FC 2021; Springer Nature: Singapore, 2022; pp. 1046–1050. [Google Scholar] [CrossRef]



























Disclaimer/Publisher’s Note: The statements, opinions and data contained in all publications are solely those of the individual author(s) and contributor(s) and not of MDPI and/or the editor(s). MDPI and/or the editor(s) disclaim responsibility for any injury to people or property resulting from any ideas, methods, instructions or products referred to in the content. |
© 2023 by the authors. Licensee MDPI, Basel, Switzerland. This article is an open access article distributed under the terms and conditions of the Creative Commons Attribution (CC BY) license (https://creativecommons.org/licenses/by/4.0/).
Share and Cite
Gao, H.; Jia, B.; Wang, G.; Zhang, T.; Dang, P.; Wang, D. Structural Health Monitoring in Long-Span Steel Structures Based on the BeiDou Navigation Satellite System. Sensors 2023, 23, 5959. https://doi.org/10.3390/s23135959
Gao H, Jia B, Wang G, Zhang T, Dang P, Wang D. Structural Health Monitoring in Long-Span Steel Structures Based on the BeiDou Navigation Satellite System. Sensors. 2023; 23(13):5959. https://doi.org/10.3390/s23135959
Chicago/Turabian StyleGao, Hui, Baoxin Jia, Guochuan Wang, Tong Zhang, Pei Dang, and Donglin Wang. 2023. "Structural Health Monitoring in Long-Span Steel Structures Based on the BeiDou Navigation Satellite System" Sensors 23, no. 13: 5959. https://doi.org/10.3390/s23135959
APA StyleGao, H., Jia, B., Wang, G., Zhang, T., Dang, P., & Wang, D. (2023). Structural Health Monitoring in Long-Span Steel Structures Based on the BeiDou Navigation Satellite System. Sensors, 23(13), 5959. https://doi.org/10.3390/s23135959

