Temporal Evaluation of the Surface Area of Treated Skin Ulcers Caused by Cutaneous Leishmaniasis and Relation with Optical Parameters in an Animal Model: A Proof of Concept
Abstract
1. Introduction
2. Materials and Methods
2.1. Animals
2.2. Spatial Data Acquisition
2.3. Data Processing and 3D Reconstruction
2.4. Temporal Evaluation
2.5. Correlation between Optical Parameters and Surface Area
3. Results
3.1. Surface Area Evolution
3.2. Correlation Area vs. Optical Values
4. Discussion
4.1. Epidermis Thickness
4.2. Collagen Diameter and VF Collagen
4.3. Keratinocytes
4.4. Oxygen Saturation and VF Blood
5. Conclusions
Author Contributions
Funding
Institutional Review Board Statement
Informed Consent Statement
Data Availability Statement
Acknowledgments
Conflicts of Interest
References
- World Health Organization: Leishmaniasis. 2020. Available online: www.who.int/es/news-room/fact-sheets/detail/leishmaniasis (accessed on 5 September 2022).
- Vieira, V.R.; de Aguiar, G.M.; de Azevedo, A.C.R.; Rangel, E.F.; Guimarães, A.É. Sandfly population dynamics in areas of American cutaneous leishmaniasis, Municipality of Paraty, Rio de Janeiro, Brazil. Sci. Rep. 2023, 13, 3622. [Google Scholar] [CrossRef] [PubMed]
- Suprien, C.; Rocha, P.N.; Teixeira, M.; Carvalho, L.P.; Guimarães, L.H.; Bonvoisin, T.; Machado, P.R.L.; Carvalho, E.M. Clinical Presentation and Response to Therapy in Children with Cutaneous Leishmaniasis. Am. J. Trop. Med. Hyg. 2020, 102, 777–781. [Google Scholar] [CrossRef] [PubMed]
- López-Carvajal, L.; Vélez, I.; Arbeláez, M.P.; Olliaro, P. Eligibility criteria and outcome measures adopted in clinical trials of treatments of cutaneous leishmaniasis: Systematic literature review covering the period 1991–2015. Trop. Med. Int. Health 2018, 23, 448–475. [Google Scholar] [CrossRef] [PubMed]
- Cota, G.F.; de Sousa, M.R.; Fereguetti, T.O.; Saleme, P.S.; Alvarisa, T.K.; Rabello, A. The Cure Rate after Placebo or No Therapy in American Cutaneous Leishmaniasis: A Systematic Review and Meta-Analysis. PLoS ONE 2016, 11, e0149697. [Google Scholar] [CrossRef] [PubMed]
- European Pressure Ulcer Advisory Panel, National Pressure Injury Advisory Panel and Pan Pacific Pressure Injury Alliance. Prevention and Treatment of Pressure Ulcers/Injuries: Clinical Practice Guideline; The International Guidelines; Haesler, E., Ed.; EPUAP/NPIAP/PPPIA: Prague, Czech Republic, 2019; p. 217. [Google Scholar]
- Skilled Wound Care. How to Measure Wounds, the Right Way. Available online: https://www.skilledwoundcare.com/post/how-to-measure-wounds-the-right-way#:~:text=The%20wound%20is%20typically%20measured,with%20the%20tip%20of%20finger (accessed on 14 June 2023).
- Garzón-Márquez, C.; Gómez-Ramírez, M.; Murillo, J.D.; Robledo, S.; Hernandez, A.; Castañeda, B.; Pérez-Buitrago, S. Follow-up of Cutaneous Leishmaniasis by Three-Dimensional Reconstruction Based on Photogrammetry: Proof of Concept. In Proceedings of the VIII Latin American Conference on Biomedical Engineering and XLII National Conference on Biomedical Engineering: Proceedings of CLAIB-CNIB 2019, Cancún, México, 2–5 October 2019; pp. 412–420. [Google Scholar] [CrossRef]
- Lucas, Y.; Niri, R.; Treuillet, S.; Douzi, H.; Castaneda, B. Wound Size Imaging: Ready for Smart Assessment and Monitoring. Adv. Wound Care 2021, 10, 641–661. [Google Scholar] [CrossRef]
- Zenteno, O.; González, E.; Treuillet, S.; Valencia, B.M.; Castaneda, B.; Llanos-Cuentas, A.; Lucas, Y. Volumetric monitoring of cutaneous leishmaniasis ulcers: Can camera be as accurate as laser scanner? Comput. Methods Biomech. Biomed. Eng. Imaging Vis. 2019, 7, 667–675. [Google Scholar] [CrossRef]
- Filko, D.; Nyarko, E.K. 2D/3D Wound Segmentation and Measurement Based on a Robot-Driven Reconstruction System. Sensors 2023, 23, 3298. [Google Scholar] [CrossRef]
- Anisuzzaman, D.M.; Wang, C.; Rostami, B.; Gopalakrishnan, S.; Niezgoda, J.; Yu, Z. Image-Based Artificial Intelligence in Wound Assessment: A Systematic Review. Adv. Wound Care 2022, 11, 687–709. [Google Scholar] [CrossRef]
- Casas, L.; Treuillet, S.; Valencia, B.M.; Llanos, A.; Castaneda, B. Low-cost uncalibrated video-based tool for tridimensional reconstruction oriented to assessment of chronic wounds. In Proceedings of the 10th International Symposium on Medical Information Processing and Analysis, Cartagena de Indias, Colombia, 14–16 October 2014; Volume 9287, p. 928711. [Google Scholar] [CrossRef]
- Stark, E.; Haffner, O.; Kučera, E. Low-Cost Method for 3D Body Measurement Based on Photogrammetry Using Smartphone. Electronics 2022, 11, 1048. [Google Scholar] [CrossRef]
- Viloria, C.; Londoño, S.; Murillo, J.; Perez, S.; Galeano, J.; Zarzycki, A.; Garzón, J.; Robledo, S.M. Comparison between clinical and computational method of surface measurements of skin ulcers caused by Cutaneous Leishmaniasis. Opt. Pura Apl. 2022, 55, 51084. [Google Scholar] [CrossRef]
- Nouri, D.; Lucas, Y.; Treuillet, S.; Jolivot, R.; Marzani, F. Colour and multispectral imaging for wound healing evaluation in the context of a comparative preclinical study. In Medical Imaging 2013: Image Processing; SPIE: Lake Buena Vista, FL, USA, 2013; Volume 8669, p. 866923. [Google Scholar] [CrossRef]
- Squiers, J.J.; Thatcher, J.E.; Bastawros, D.S.; Applewhite, A.J.; Baxter, R.D.; Yi, F.; Quan, P.; Yu, S.; DiMaio, J.M.; Gable, D.R. Machine learning analysis of multispectral imaging and clinical risk factors to predict amputation wound healing. J. Vasc. Surg. 2021, 75, 279–285. [Google Scholar] [CrossRef]
- Botina, D.; Franco, R.; Murillo, J.; Galeano, J.; Zarzycki, A.; Torres-Madronero, M.C.; Bermúdez, C.; Montaño, J.; Garzón, J.; Marzani, F.; et al. Estimation of Biological Parameters of Cutaneous Ulcers Caused by Leishmaniasis in an Animal Model Using Diffuse Reflectance Spectroscopy. Sensors 2019, 19, 4674. [Google Scholar] [CrossRef]
- Restrepo, L.; Murillo, J.; Botina, D.; Zarzycki, A.; Garzón, J.; Franco, R.; Montano, J.; Calderon, S.; Torres-Madronero, M.C.; Marzani, F.; et al. Diffuse Reflectance Parameters of Treated Leishmaniasis Cutaneous Ulcers and Association with Histopathologies in an Animal Model: A Proof of Concept. SLAS Technol. Transl. Life Sci. Innov. 2021, 26, 667–680. [Google Scholar] [CrossRef]
- Yudovsky, D.; Nouvong, A.; Schomacker, K.; Pilon, L. Monitoring temporal development and healing of diabetic foot ulceration using hyperspectral imaging. J. Biophotonics 2011, 4, 565–576. [Google Scholar] [CrossRef]
- Ewerlöf, M.; Strömberg, T.; Larsson, M.; Salerud, E.G. Multispectral snapshot imaging of skin microcirculatory hemoglobin oxygen saturation using artificial neural networks trained on in vivo data. J. Biomed. Opt. 2022, 27, 036004. [Google Scholar] [CrossRef]
- Robledo, S.M.; Carrillo, L.M.; Daza, A.; Restrepo, A.M.; Muñoz, D.L.; Tobón, J.; Murillo, J.D.; López, A.; Ríos, C.; Mesa, C.V.; et al. Cutaneous Leishmaniasis in the dorsal skin of hamsters: A useful model for the screening of antileishmanial drugs. J. Vis. Exp. 2012, 62, e3533. [Google Scholar]
- Congreso de Colombia. Ley 84 de 1989. “Estatuto Nacional de Protección de los Animales”; Congreso de Colombia: Bogotá, Colombia, 1989.
- Agisoft. Agisoft Metashape User Manual Professional Edition, Version 1.5. Available online: https://www.agisoft.com/pdf/metashape-pro_1_5_en.pdf (accessed on 13 February 2020).
- Grandón-Pastén, N.; Aracena-Pizarro, D.; Tozzi, C.L. Reconstrucción De Objeto 3D a Partir De Imágenes Calibradas. Ingeniare Rev. Chil. Ing. 2007, 15, 158–168. [Google Scholar] [CrossRef]
- Martínez, J.; Pérez-Palau, D.; Cilla, M.; Garrido, N.; Larrañaga, A.; Pérez-Rey, I. Semi-Automatic 3D Reconstruction of Atheroma Plaques from Intravascular Ultrasound Images Using an ad-hoc Algorithm. Mathematics 2023, 11, 537. [Google Scholar] [CrossRef]
- Nabil, M.; Saleh, F. 3D reconstruction from images for museum artefacts: A comparative study. In Proceedings of the 2014 International Conference on Virtual Systems & Multimedia (VSMM), Hong Kong, China, 9–12 December 2014; pp. 257–260. [Google Scholar] [CrossRef]
- Savage, J.; Jeffery, S. Use of 3D photography in complex-wound assessment. J. Wound Care 2013, 22, 156–160. [Google Scholar] [CrossRef]
- Aravena, P.C.; Sandoval, S.P.; Pizarro, F.E.; Simpson, M.I.; Castro-Adams, N.; Serandour, G.; Rosas, C. Leukocyte and Platelet-Rich Fibrin Have Same Effect as Blood Clot in the 3-Dimensional Alveolar Ridge Preservation. A Split-Mouth Randomized Clinical Trial. J. Oral Maxillofac. Surg. 2020, 79, 575–584. [Google Scholar] [CrossRef]
- Wechsler, S.P. Digital Elevation Model (DEM) Uncertainty: Evaluation and Effect on Topographic Parameters. In Proceedings of the ESRI User Conference, San Diego, CA, USA, 26–30 July 1999; pp. 1081–1090. [Google Scholar]
- Schuster, S.; Hartley, M.-A.; Tacchini-Cottier, F.; Ronet, C. A scoring method to standardize lesion monitoring following intra-dermal infection of Leishmania parasites in the murine ear. Front. Cell. Infect. Microbiol. 2014, 4, 67. [Google Scholar] [CrossRef] [PubMed]
- Arevalo, I.; Tulliano, G.; Quispe, A.; Spaeth, G.; Matlashewski, G.; Llanos-Cuentas, A.; Pollack, H. Role of Imiquimod and Parenteral Meglumine Antimoniate in the Initial Treatment of Cutaneous Leishmaniasis. Clin. Infect. Dis. 2007, 44, 1549–1554. [Google Scholar] [CrossRef] [PubMed]
- Hauke, J.; Kossowski, T. Comparison of Values of Pearson’s and Spearman’s Correlation Coefficients on the Same Sets of Data. Quaest. Geogr. 2011, 30, 87–93. [Google Scholar] [CrossRef]
- González, K.; Diaz, R.; Ferreira, A.F.; García, V.; Paz, H.; Calzada, J.E.; Ruíz, M.; Laurenti, M.; Saldaña, A. Histopathological characteristics of cutaneous lesions caused by Leishmania Viannia panamensis in Panama. Revista do Instituto de Medicina Tropical de São Paulo 2018, 60, e82018. [Google Scholar] [CrossRef] [PubMed]
- Gauglitz, G.G. Wound Healing and Wound Car. In Burn Care and Treatment; Jeschke, M., Kamolz, L.P., Shahrokhi, S., Eds.; Springer: Vienna, Austria, 2013; pp. 31–42. [Google Scholar] [CrossRef]
- Nylén, S.; Eidsmo, L. Tissue damage and immunity in cutaneous leishmaniasis. Parasite Immunol. 2012, 34, 551–561. [Google Scholar] [CrossRef]
- Li, X.; Chen, Z.; Zhang, L.; Jia, D. Construction and accuracy test of a 3D model of non-metric camera images using Agisoft PhotoScan. Procedia Environ. Sci. 2016, 36, 184–190. [Google Scholar] [CrossRef]
- Ðuric, I.; Vasiljevic, I.; Obradovic, M.; Stojakovic, V.; Kicanovic, J.; Obradovic, R. Comparative Analysis of Open-Source and Commercial Photogrammetry Software for Cultural Heritage. In Proceedings of the eCAADe 2021 International Scientific Conference, Canberra, Australia, 12–15 July 2021. [Google Scholar] [CrossRef]






| #Optical Parameter (#OP) | Optical Parameter Name |
|---|---|
| 1 | Epidermis thickness |
| 2 | Epidermis + dermis thickness |
| 3 | Diameter of keratinocytes |
| 4 | Diameter of collagen |
| 5 | Volume fraction (VF) of collagen |
| 6 | Diameter of fibroblast |
| 7 | Diameter of macrophages |
| 8 | VF of melanin |
| 9 | VF of blood |
| 10 | Oxygen saturation |
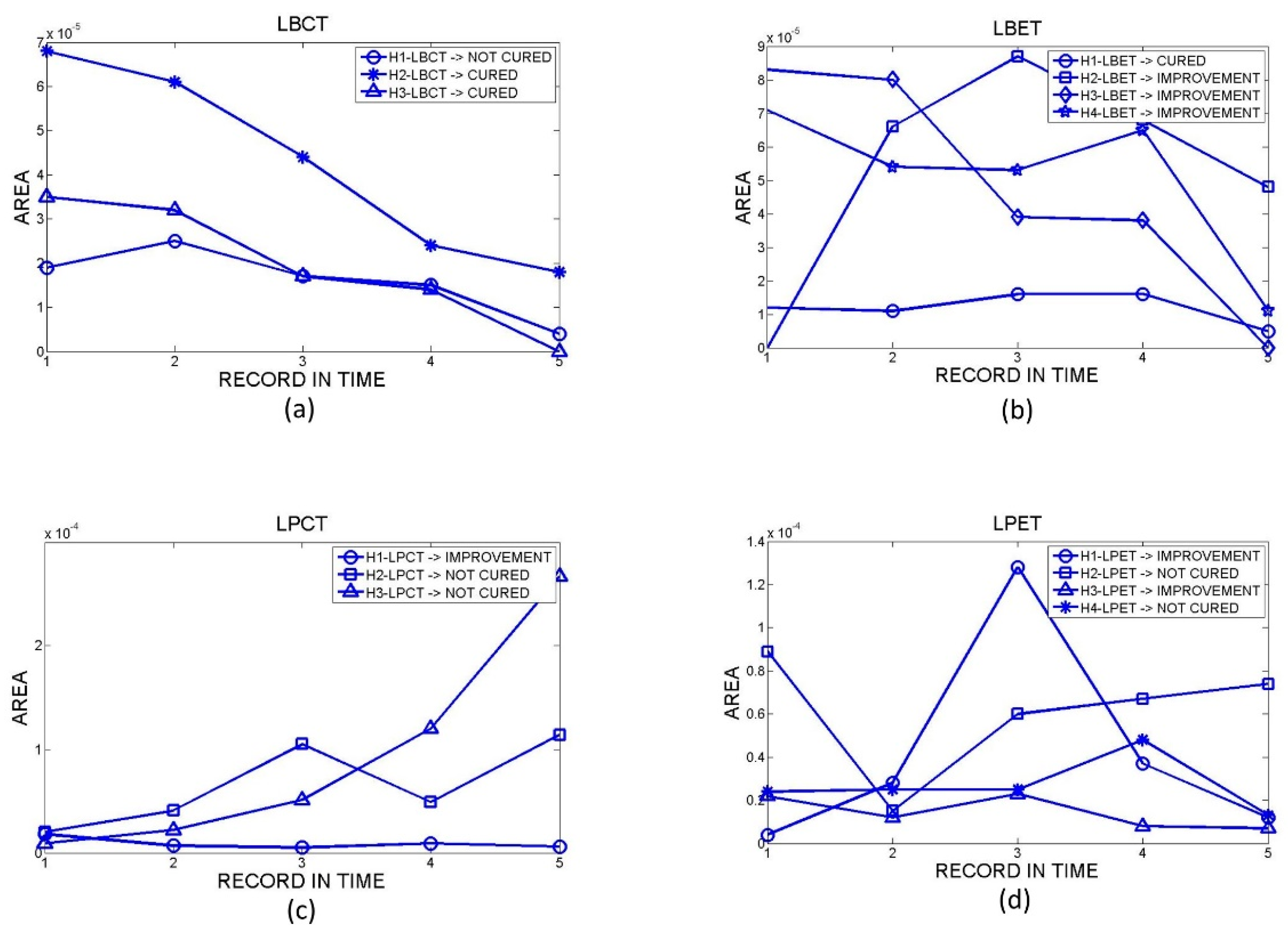
| Ulcer Area on the Five Measurement Dates (m2) | |||||
|---|---|---|---|---|---|
| Date | LBCT | LBET | LPCT | LPET | |
| Area | Area | Area | Area | ||
| H1 | 1 | 0.19 | 0.12 | 0.18 | 0.04 |
| 2 | 0.25 | 0.11 | 0.07 | 0.28 | |
| 3 | 0.17 | 0.16 | 0.05 | 1.28 | |
| 4 | 0.15 | 0.16 | 0.09 | 0.37 | |
| 5 | 0.04 | 0.05 | 0.06 | 0.12 | |
| H2 | 1 | 0.68 | 0.00 | 0.20 | 0.89 |
| 2 | 0.61 | 0.66 | 0.41 | 0.15 | |
| 3 | 0.44 | 0.87 | 1.05 | 0.60 | |
| 4 | 0.24 | 0.68 | 0.49 | 0.67 | |
| 5 | 0.18 | 0.48 | 1.14 | 0.74 | |
| H3 | 1 | 0.35 | 0.83 | 0.09 | 0.22 |
| 2 | 0.32 | 0.80 | 0.22 | 0.12 | |
| 3 | 0.17 | 0.39 | 0.51 | 0.23 | |
| 4 | 0.14 | 0.38 | 1.20 | 0.08 | |
| 5 | 0.00 | 0.00 | 2.67 | 0.07 | |
| H4 | 1 | 0.71 | 0.24 | ||
| 2 | 0.54 | 0.25 | |||
| 3 | 0.53 | 0.25 | |||
| 4 | 0.65 | 0.48 | |||
| 5 | 0.11 | 0.13 | |||
| Correlation between Optical Parameters and Area | |||||||||||||||
|---|---|---|---|---|---|---|---|---|---|---|---|---|---|---|---|
| Hamster | |||||||||||||||
| #OP | ANOVA | LBCT | LBET | LPCT | LPET | ||||||||||
| H1 | H2 | H3 | H1 | H2 | H3 | H4 | H1 | H2 | H3 | H1 | H2 | H3 | H4 | ||
| 1 | Rho | 0.70 | 0.95 | 0.43 | −0.17 | 0.75 | 0.75 | 0.47 | 0.44 | 0.83 | −0.44 | 0.42 | −0.09 | 0.62 | −0.11 |
| p | 0.19 | 0.01 | 0.47 | 0.79 | 0.15 | 0.14 | 0.42 | 0.46 | 0.08 | 0.46 | 0.49 | 0.88 | 0.27 | 0.86 | |
| 2 | Rho | −0.38 | 0.84 | 0.51 | −0.49 | 0.60 | −0.22 | 0.31 | 0.11 | 0.85 | −0.39 | −0.42 | 0.07 | −0.51 | 0.00 |
| p | 0.53 | 0.07 | 0.38 | 0.41 | 0.29 | 0.72 | 0.61 | 0.86 | 0.07 | 0.51 | 0.48 | 0.90 | 0.38 | 1.00 | |
| 3 | Rho | −0.36 | −0.88 | −0.17 | 0.21 | −0.35 | −0.75 | 0.25 | −0.01 | 0.54 | 0.14 | 0.89 | 0.08 | −0.39 | −0.22 |
| p | 0.55 | 0.05 | 0.78 | 0.74 | 0.56 | 0.14 | 0.68 | 0.99 | 0.34 | 0.82 | 0.04 | 0.90 | 0.51 | 0.72 | |
| 4 | Rho | −0.22 | 0.90 | −0.90 | 0.85 | −0.32 | 0.48 | −0.78 | 0.04 | −0.06 | 0.86 | 0.63 | −0.57 | 0.61 | −0.64 |
| p | 0.73 | 0.04 | 0.03 | 0.07 | 0.59 | 0.42 | 0.12 | 0.95 | 0.93 | 0.06 | 0.26 | 0.32 | 0.27 | 0.25 | |
| 5 | Rho | −0.71 | 0.75 | 0.09 | −0.33 | 0.21 | −0.37 | 0.41 | −0.35 | 0.63 | 0.09 | −0.32 | −0.19 | −0.96 | 0.16 |
| p | 0.18 | 0.14 | 0.88 | 0.59 | 0.74 | 0.54 | 0.49 | 0.56 | 0.26 | 0.89 | 0.60 | 0.76 | 0.01 | 0.80 | |
| 6 | Rho | −0.66 | −0.74 | −0.42 | 0.32 | −0.45 | −0.29 | −0.42 | −0.45 | −0.67 | 0.26 | 0.35 | 0.20 | 0.87 | −0.17 |
| p | 0.23 | 0.15 | 0.49 | 0.60 | 0.45 | 0.63 | 0.48 | 0.44 | 0.21 | 0.67 | 0.57 | 0.74 | 0.06 | 0.79 | |
| 7 | Rho | 0.47 | −0.39 | −0.24 | −0.02 | −0.87 | 0.19 | −0.43 | 0.38 | −0.51 | 0.28 | 0.02 | 0.11 | 0.26 | −0.30 |
| p | 0.42 | 0.52 | 0.70 | 0.97 | 0.06 | 0.76 | 0.47 | 0.52 | 0.38 | 0.64 | 0.98 | 0.86 | 0.67 | 0.63 | |
| 8 | Rho | −0.46 | −0.50 | −0.24 | 0.17 | −0.67 | −0.13 | 0.11 | −0.10 | −0.59 | 0.04 | 0.47 | 0.19 | 0.12 | 0.50 |
| p | 0.43 | 0.39 | 0.70 | 0.78 | 0.22 | 0.84 | 0.87 | 0.88 | 0.29 | 0.95 | 0.43 | 0.76 | 0.85 | 0.39 | |
| 9 | Rho | −0.09 | 0.62 | 0.08 | 0.21 | −0.79 | 0.24 | −0.61 | 0.55 | 0.00 | −0.40 | 0.77 | −0.38 | 0.88 | −0.24 |
| p | 0.88 | 0.26 | 0.89 | 0.73 | 0.11 | 0.70 | 0.28 | 0.34 | 1.00 | 0.51 | 0.13 | 0.52 | 0.05 | 0.70 | |
| 10 | Rho | 0.58 | −0.84 | −0.43 | −0.21 | −0.61 | 0.81 | −0.49 | −0.26 | 0.14 | 0.56 | 0.26 | −0.04 | 0.09 | 0.85 |
| p | 0.30 | 0.08 | 0.47 | 0.74 | 0.27 | 0.09 | 0.41 | 0.67 | 0.82 | 0.33 | 0.67 | 0.95 | 0.89 | 0.07 | |
Disclaimer/Publisher’s Note: The statements, opinions and data contained in all publications are solely those of the individual author(s) and contributor(s) and not of MDPI and/or the editor(s). MDPI and/or the editor(s) disclaim responsibility for any injury to people or property resulting from any ideas, methods, instructions or products referred to in the content. |
© 2023 by the authors. Licensee MDPI, Basel, Switzerland. This article is an open access article distributed under the terms and conditions of the Creative Commons Attribution (CC BY) license (https://creativecommons.org/licenses/by/4.0/).
Share and Cite
Londoño, S.; Viloria, C.; Pérez-Buitrago, S.; Murillo, J.; Botina, D.; Zarzycki, A.; Garzón, J.; Torres-Madronero, M.C.; Robledo, S.M.; Marzani, F.; et al. Temporal Evaluation of the Surface Area of Treated Skin Ulcers Caused by Cutaneous Leishmaniasis and Relation with Optical Parameters in an Animal Model: A Proof of Concept. Sensors 2023, 23, 5861. https://doi.org/10.3390/s23135861
Londoño S, Viloria C, Pérez-Buitrago S, Murillo J, Botina D, Zarzycki A, Garzón J, Torres-Madronero MC, Robledo SM, Marzani F, et al. Temporal Evaluation of the Surface Area of Treated Skin Ulcers Caused by Cutaneous Leishmaniasis and Relation with Optical Parameters in an Animal Model: A Proof of Concept. Sensors. 2023; 23(13):5861. https://doi.org/10.3390/s23135861
Chicago/Turabian StyleLondoño, Sergio, Carolina Viloria, Sandra Pérez-Buitrago, Javier Murillo, Deivid Botina, Artur Zarzycki, Johnson Garzón, Maria C. Torres-Madronero, Sara M. Robledo, Franck Marzani, and et al. 2023. "Temporal Evaluation of the Surface Area of Treated Skin Ulcers Caused by Cutaneous Leishmaniasis and Relation with Optical Parameters in an Animal Model: A Proof of Concept" Sensors 23, no. 13: 5861. https://doi.org/10.3390/s23135861
APA StyleLondoño, S., Viloria, C., Pérez-Buitrago, S., Murillo, J., Botina, D., Zarzycki, A., Garzón, J., Torres-Madronero, M. C., Robledo, S. M., Marzani, F., Treuillet, S., Castaneda, B., & Galeano, J. (2023). Temporal Evaluation of the Surface Area of Treated Skin Ulcers Caused by Cutaneous Leishmaniasis and Relation with Optical Parameters in an Animal Model: A Proof of Concept. Sensors, 23(13), 5861. https://doi.org/10.3390/s23135861

