Acoustic Roughness Measurement of Railway Tracks: Running Surface Detection and Compensation of Lateral Movements for Optical Measurements on a Train
Abstract
1. Introduction
- : The longitudinal profile is measured in the center of the reference surface (on the centerline).
- : The longitudinal profile is measured on three lines. Two additional lines are at a lateral distance to the centerline.
- : The longitudinal profile is measured on three lines. The additional measurement lines are placed at a lateral distance to the centerline.
- Concepts for the compensation, respectively addressing the lateral movements of the optical rail roughness measurement system, are presented;
- Whether the stated sensor types are suitable for the detection of differences in surface conditions and the running surface is examined. The case of a rail with a running surface and corroded edges is assumed for all investigations;
- Lateral deflection is artificially added, and a lateral compensation system is tested on a test bench under laboratory conditions.
2. Materials and Methods
2.1. Concepts
- Four Profilometers: Instead of four laser triangulation sensors, four profilometers can be installed, which project lines onto the rail surface transverse to the direction of travel. The arrangement of the laser profilometers is shown in Figure 2.
- b.
- Twelve Laser Triangulation Sensors (Three Measurement Lines): The measuring concept of Mauz et al. [18] measures the longitudinal profile on a single measuring line. Four consecutive laser triangulation sensors measuring the longitudinal profile at the identical lateral position are referred to as one measurement line. To stay within the running surface, the longitudinal profile can be measured on three lines, as shown in Figure 3, placed at different lateral positions instead of only one measuring line.
- One Profilometer and Four Laser Triangulation Sensors: A profilometer determines the position of the running surface. Four laser triangulation sensors measure the longitudinal profile on a measuring line which is positioned on the running surface using actuators.
- Three Laser Triangulation Sensors and Four Laser Triangulation Sensors (One Measurement Line): Three laterally offset laser triangulation sensors indicate whether their line is on the running surface or not. Four laser triangulation sensors measure the longitudinal profile on a measuring line which is moved laterally using actuators. The signals of the three laterally offset sensors are used to determine the direction in which the laser sensors must be moved. This approach does not allow for the determination of the exact location of the running surface or its width since the surface state can only be detected in the discretized form at three lateral positions.
2.2. Experimental Setup
2.3. Surface Condition Detection
2.4. Running Surface Detection and Lateral Compensation Approach
3. Results
3.1. Surface Condition Detection
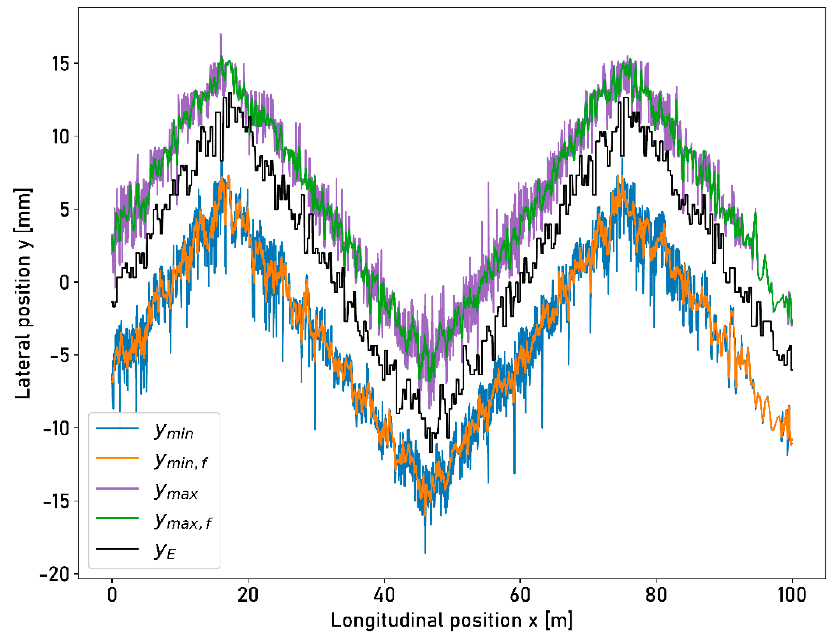
3.2. Running Surface Detection
3.3. Lateral Compensation
4. Discussion
4.1. Surface Condition Detection and Running Surface Detection
4.2. Lateral Compensation
5. Conclusions
Author Contributions
Funding
Institutional Review Board Statement
Informed Consent Statement
Data Availability Statement
Conflicts of Interest
Appendix A

Appendix B








References
- Pyko, A.; Roswall, N.; Ögren, M.; Oudin, A.; Rosengren, A.; Eriksson, C.; Segersson, D.; Rizzuto, D.; Andersson, E.M.; Aasvang, G.M.; et al. Long-Term Exposure to Transportation Noise and Ischemic Heart Disease: A Pooled Analysis of Nine Scandinavian Cohorts. Environ. Health Perspect. 2023, 131, 17003. [Google Scholar] [CrossRef] [PubMed]
- Vienneau, D.; Saucy, A.; Schäffer, B.; Flückiger, B.; Tangermann, L.; Stafoggia, M.; Wunderli, J.M.; Röösli, M. Transportation noise exposure and cardiovascular mortality: 15-years of follow-up in a nationwide prospective cohort in Switzerland. Environ. Int. 2022, 158, 106974. [Google Scholar] [CrossRef] [PubMed]
- Müller, G. Fachwissen Technische Akustik—Luftschall aus dem Schienenverkehr; Springer: Berlin/Heidelberg, Germany, 2017. [Google Scholar]
- Thompson, D.J. On the Relationship Between Wheel and Rail Surface Roughness and Rolling Noise. J. Sound Vib. 1996, 193, 149–160. [Google Scholar] [CrossRef]
- Kuffa, M.; Ziegler, D.; Peter, T.; Kuster, F.; Wegener, K. A new grinding strategy to improve the acoustic properties of railway tracks. Proc. Inst. Mech. Eng. Part F J. Rail Rapid Transit 2018, 232, 214–221. [Google Scholar] [CrossRef]
- Grassie, S.L. Rail irregularities, corrugation and acoustic roughness: Characteristics, significance and effects of reprofiling. Proc. Inst. Mech. Eng. Part F J. Rail Rapid Transit 2012, 226, 542–557. [Google Scholar] [CrossRef]
- Cordier, J.F.; Fodiman, P. Experimental characterization of wheel and rail surface roughness. J. Sound Vib. 2000, 231, 667–672. [Google Scholar] [CrossRef]
- Grassie, S.L.; Saxon, M.J.; Smith, J.D. Measurement of longitudinal rail irregularities and criteria for acceptable grinding. J. Sound Vib. 1999, 227, 949–964. [Google Scholar] [CrossRef]
- Tanaka, H.; Shimizu, A. Practical Application of Portable Trolley for the Continuous Measurement of Rail Surface Roughness for Rail Corrugation Maintenance. Q. Rep. RTRI 2016, 57, 118–124. [Google Scholar] [CrossRef] [PubMed]
- Teng, Y.; Liu, H.; Liu, J.; Wang, C.; Ma, Z. A rail corrugation measurement method based on data splicing. Meas. J. Int. Meas. Confed. 2020, 156, 107560. [Google Scholar] [CrossRef]
- Boronahin, M.; Larionov, D.Y.; Podgornaya, L.N.; Shalymov, R.V.; Filatov, Y.V.; Bokhman, E.D. Rail profile control using laser triangulation scanners. Opt. Metrol. Insp. Ind. Appl. IV 2016, 10023, 100231B. [Google Scholar] [CrossRef]
- Jeong, D.; Choi, H.S.; Choi, Y.J.; Jeong, W. Measuring acoustic roughness of a longitudinal railhead profile using a multi-sensor integration technique. Sensors 2019, 19, 1610. [Google Scholar] [CrossRef] [PubMed]
- Hauck, G.; Onnich, H.; Prögler, H. Entwicklung eines Messwagens zur Erfassung der Fahrgeräuschanhebungen durch Schienenriffeln. ETR. Eisenb. Rundsch. 1997, 46, 153–159. [Google Scholar]
- Kuijpers, A.H.W.M.; Schwanen, W.; Bongini, E. Indirect Rail Roughness Measurement: The ARRoW System within the LECAV Project. In Notes on Numerical Fluid Mechanics and Multidisciplinary Design; Springer: Tokyo, Japan, 2012; Volume 118, pp. 563–570. [Google Scholar]
- Bongini, E.; Grassie, S.L.; Saxon, M.J. ‘Noise mapping’ of a railway network: Validation and use of a system based on measurement of axlebox vibration. Notes Numer. Fluid Mech. Multidiscip. Des. 2012, 118, 505–513. [Google Scholar] [CrossRef]
- Carrigan, T.D.; Fidler, P.R.A.; Talbot, J.P. On the Derivation of Rail Roughness Spectra from Axle-box Vibration: Development of a New Technique. In Proceedings of the International Conference on Smart Infrastructure and Construction 2019 (ICSIC), Tokyo, Japan, 2–6 January 2019; pp. 549–557. [Google Scholar] [CrossRef]
- Mauz, F.; Wigger, R.; Wahl, T.; Kuffa, M.; Wegener, K. Acoustic Roughness Measurement of Railway Tracks: Laboratory Investigation of External Disturbances on the Chord-Method with an Optical Measurement Approach. Appl. Sci. 2022, 12, 7732. [Google Scholar] [CrossRef]
- Mauz, F.; Wigger, R.; Wahl, T.; Kuffa, M.; Wegener, K. Acoustic Roughness Measurement of Railway Tracks: Implementation of a Chord-Based Optical Measurement System on a Train. Appl. Sci. 2022, 12, 11988. [Google Scholar] [CrossRef]
- DIN EN 15610; Bahnanwendungen. Akustik. Messung der Schienen- und Radrauheit im Hinblick auf Die Entstehung von Rollgeräuschen. Deutsche Fassung. EN 15610:2019. Beuth Verlag: Berlin, Germany, 2021. [CrossRef]
- Chen, L.; Li, Y.; Zhong, X.; Zheng, Q.; Liu, H. An Automated System for Position Monitoring and Correction of Chord-Based Rail Corrugation Measuring Points. IEEE Trans. Instrum. Meas. 2019, 68, 250–260. [Google Scholar] [CrossRef]
- Chen, L.; Li, Y.; Ma, Z.; Liu, H.; Mao, W. Vision-Based Position Deviation Measurement of Rail Corrugation Chord Measuring Points Under Bi-Linear Laser Assistance. IEEE Access 2021, 9, 36207–36217. [Google Scholar] [CrossRef]
















| Sensor | ||
|---|---|---|
| scanCONTROL 3060–50/BL | 125 | 40 |
| optoNCDT 2300–10 LL | 35 | 10 |
| Experiment | |||
|---|---|---|---|
| 1 | 0.02 | 97.70 | 10.5 |
| 2 | 0.03 | 78.07 | 10.5 |
| 3 | 0.04 | 58.74 | 10.5 |
| 4 | 0.05 | 38.93 | 10.5 |
| 5 | 0.11 | 18.85 | 10.5 |
| Segment and Surface Condition | Mean [%] | Standard Deviation [%] | Minimum [%] | Maximum [%] |
|---|---|---|---|---|
| 1—Metallic | 83.74 | 3.21 | 76.74 | 90.91 |
| 2—Corroded | 79.09 | 1.00 | 76.64 | 83.19 |
| 3—Longitudinally Split | 78.14 | 0.65 | 74.58 | 82.40 |
| 4—Alternation | 81.15 | 3.36 | 77.13 | 90.81 |
| Experiment | ||||
|---|---|---|---|---|
| Undisturbed | - | - | 9.31 | 1.68 |
| 1 | 0.02 | 97.70 | 9.16 | 1.54 |
| 2 | 0.03 | 78.07 | 9.15 | 1.54 |
| 3 | 0.04 | 58.74 | 9.15 | 1.51 |
| 4 | 0.05 | 38.93 | 9.25 | 1.54 |
| 5 | 0.11 | 18.85 | 9.14 | 1.51 |
| Experiment | [%] | [%] | ||
|---|---|---|---|---|
| Undisturbed | - | - | 0.02 | 0.02 |
| 1 | 0.02 | 97.70 | 0.43 | 0.08 |
| 2 | 0.03 | 78.07 | 0.40 | 0.00 |
| 3 | 0.04 | 58.74 | 0.50 | 0.00 |
| 4 | 0.05 | 38.93 | 0.35 | 0.10 |
| 5 | 0.11 | 18.85 | 1.20 | 0.36 |
| Experiment | Mean | |||
|---|---|---|---|---|
| Undisturbed | - | - | 0.87 | 0.69 |
| 1 | 0.02 | 97.70 | 1.21 | 0.90 |
| 2 | 0.03 | 78.07 | 1.28 | 0.93 |
| 3 | 0.04 | 58.74 | 1.31 | 0.97 |
| 4 | 0.05 | 38.93 | 1.39 | 0.97 |
| 5 | 0.11 | 18.85 | 1.40 | 1.09 |
Disclaimer/Publisher’s Note: The statements, opinions and data contained in all publications are solely those of the individual author(s) and contributor(s) and not of MDPI and/or the editor(s). MDPI and/or the editor(s) disclaim responsibility for any injury to people or property resulting from any ideas, methods, instructions or products referred to in the content. |
© 2023 by the authors. Licensee MDPI, Basel, Switzerland. This article is an open access article distributed under the terms and conditions of the Creative Commons Attribution (CC BY) license (https://creativecommons.org/licenses/by/4.0/).
Share and Cite
Mauz, F.; Wigger, R.; Griesbaum, L.; Wahl, T.; Kuffa, M.; Wegener, K. Acoustic Roughness Measurement of Railway Tracks: Running Surface Detection and Compensation of Lateral Movements for Optical Measurements on a Train. Sensors 2023, 23, 5764. https://doi.org/10.3390/s23125764
Mauz F, Wigger R, Griesbaum L, Wahl T, Kuffa M, Wegener K. Acoustic Roughness Measurement of Railway Tracks: Running Surface Detection and Compensation of Lateral Movements for Optical Measurements on a Train. Sensors. 2023; 23(12):5764. https://doi.org/10.3390/s23125764
Chicago/Turabian StyleMauz, Florian, Remo Wigger, Loris Griesbaum, Tobias Wahl, Michal Kuffa, and Konrad Wegener. 2023. "Acoustic Roughness Measurement of Railway Tracks: Running Surface Detection and Compensation of Lateral Movements for Optical Measurements on a Train" Sensors 23, no. 12: 5764. https://doi.org/10.3390/s23125764
APA StyleMauz, F., Wigger, R., Griesbaum, L., Wahl, T., Kuffa, M., & Wegener, K. (2023). Acoustic Roughness Measurement of Railway Tracks: Running Surface Detection and Compensation of Lateral Movements for Optical Measurements on a Train. Sensors, 23(12), 5764. https://doi.org/10.3390/s23125764

