Design and Analysis of a Large Mode Field Area and Low Bending Loss Multi-Cladding Fiber with Comb-Index Core and Gradient-Refractive Index Ring
Abstract
1. Introduction
2. Materials and Methods
2.1. Structure
2.2. Analysis Methods
3. Numerical Simulations
3.1. Numerical Simulations of t1 and d1
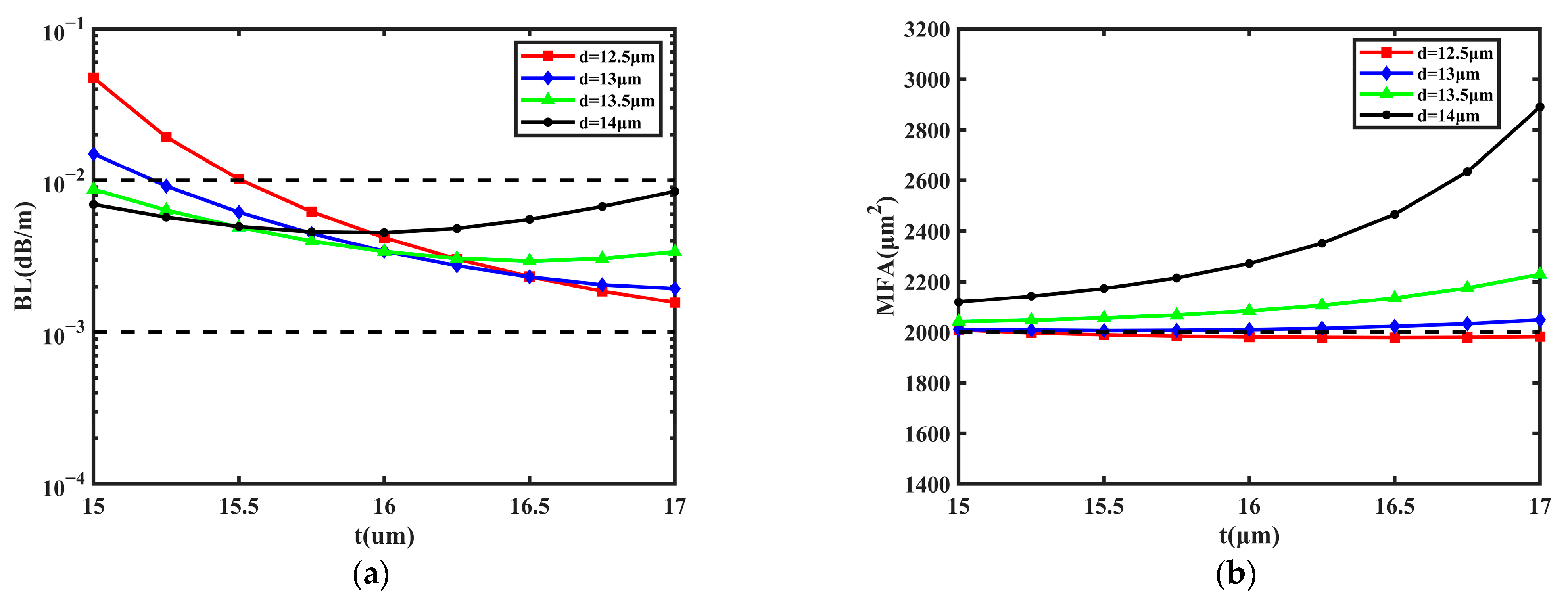
3.2. Numerical Simulations of t and d
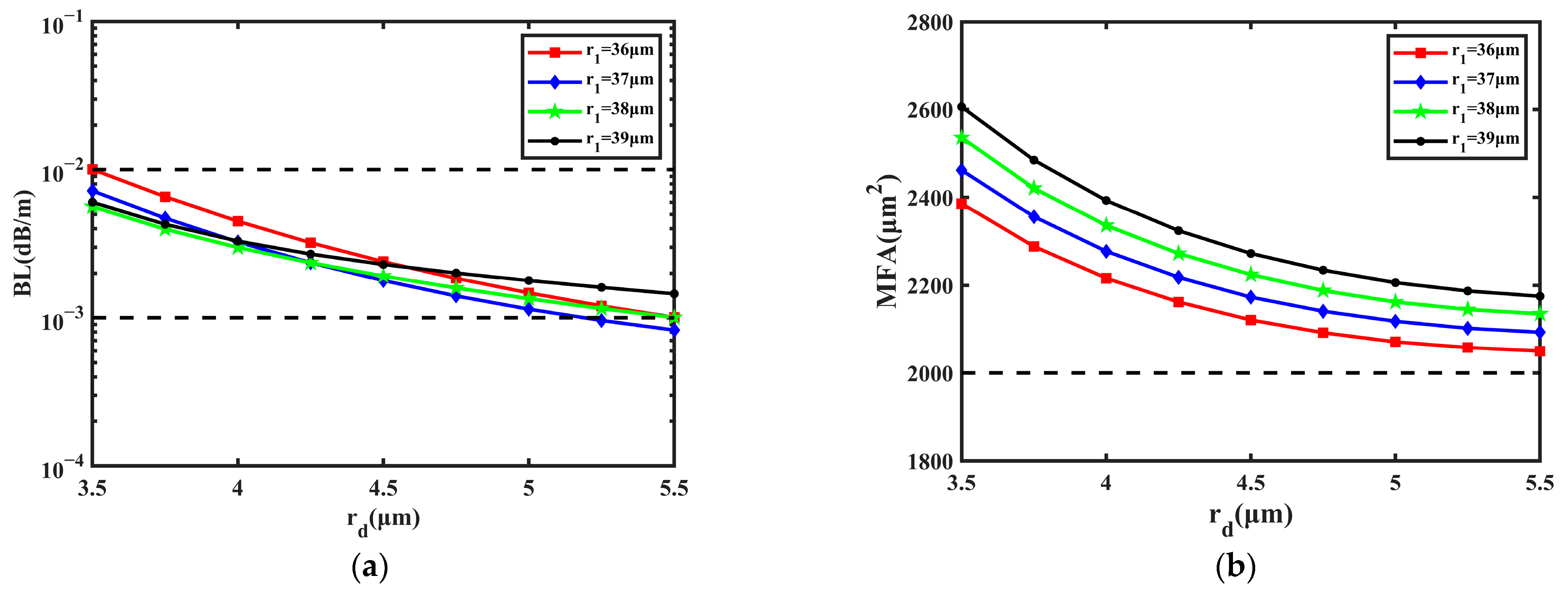
3.3. Numerical Simulations of r1 and rd
4. Comparison and Analysis
4.1. Importance of the CIC
4.2. Importance of Multi-Cladding
4.3. Importance of GRIR
5. Bending Performance Research
5.1. Bending Radius
5.2. Wavelength
6. Conclusions
Author Contributions
Funding
Institutional Review Board Statement
Informed Consent Statement
Data Availability Statement
Conflicts of Interest
References
- Jain, D.; Jung, Y.; Nunez-Velazquez, M.; Sahu, J.K. Extending single mode performance of all-solid large-mode-area single trench fiber. Opt. Express 2014, 22, 31078–31091. [Google Scholar] [CrossRef] [PubMed]
- Ning, Y.Q.; Chen, Y.Y.; Zhang, J.; Song, Y.; Lei, Y.X.; Qiu, C.; Liang, L.; Jia, P.; Qin, L.; Wang, L.J. Brief Review of Development and Techniques for High Power Semiconductor Lasers. Act. Opt. Sin. 2021, 41, 0114001. [Google Scholar] [CrossRef]
- Richardson, D.J.; Nilsson, J.; Clarkson, W.A. High power fiber lasers: Current status and future perspectives. J. Opt. Soc. Am. B 2010, 27, B63–B92. [Google Scholar] [CrossRef]
- Liu, Y.H.; Zhang, F.F.; Zhao, N.; Lin, X.F.; Liao, L.; Wang, Y.B.; Peng, J.G.; Li, H.Q.; Yang, L.Y.; Dai, N.L. Single transverse mode laser in a center-sunken and cladding-trenched Yb-doped fiber. Opt. Express 2018, 26, 3421–3426. [Google Scholar] [CrossRef] [PubMed]
- Picozzi, A.; Millot, G.; Wabnitz, S. Nonlinear optics: Nonlinear virtues of multimode fibre. Nat. Photonics 2015, 9, 289–291. [Google Scholar] [CrossRef]
- Beier, F.; Plotner, M.; Sattler, B.; Stutzki, F.; Walbaum, T.; Liem, A.; Haarlammert, N.; Schreiber, T.; Eberhardt, R.; Tunnermann, A. Measuring thermal load in fiber amplifiers in the presence of transversal mode instabilities. Opt. Lett. 2017, 42, 4311–4314. [Google Scholar] [CrossRef]
- Mitra, P.P.; Stark, J.B. Nonlinear limits to the information capacity of optical fibre communications. Nature 2001, 411, 1027–1030. [Google Scholar] [CrossRef]
- Fini, J.M. Intuitive modeling of bend distortion in large-mode-area fibers. Opt. Lett. 2007, 32, 1632–1634. [Google Scholar] [CrossRef]
- Gao, F.Y.; Xu, X.B.; Song, N.F.; Li, W.; Zhu, Y.H.; Liu, J.Q.; Liang, T.T. Low-Loss Isolated Anti-Resonant Core Photonic Bandgap Fiber. Chin. J. Lasers 2022, 49, 1906002. [Google Scholar] [CrossRef]
- Han, J.L.; Liu, E.X.; Liu, J.J. Circular gradient-diameter photonic crystal fiber with large mode area and low BL. J. Opt. Soc. Am. A 2019, 36, 533–539. [Google Scholar] [CrossRef]
- Kabir, S.; Razzak, S. An enhanced effective mode area fluorine doped octagonal photonic crystal fiber with extremely low loss. Photonic Nanostruct. 2018, 30, 1–6. [Google Scholar] [CrossRef]
- Guo, Z.J.; Pei, L.; Ning, T.G.; Zheng, J.J.; Li, J.; Wang, J.S. Resonant-ring assisted large mode area segmented cladding fiber with high-index rings in core. Opt. Commun. 2021, 495, 127049. [Google Scholar] [CrossRef]
- Pournoury, M.; Kim, D. Bend-resistant octo-wing silica segmented cladding fiber with high index rings. Results Phys. 2022, 36, 105423. [Google Scholar] [CrossRef]
- Wang, G.L.; Ning, T.G.; Pei, L.; Ma, S.S.; Zhang, J.C.; Zheng, J.J.; Li, J.; Wei, H.; Xie, C.J. A bending-resistant large mode area pixelated trench assisted segmented cladding fiber. Optik 2020, 203, 164024. [Google Scholar] [CrossRef]
- Saitoh, S.; Takenaga, K.; Aikawa, K. Demonstration of a Rectangularly-Arranged Strongly-Coupled Multi-Core Fiber. In Proceedings of the IEEE 2018 Optical Fiber Communications Conference and Exposition, San Diego, CA, USA, 11–15 March 2018; pp. 1–3. [Google Scholar] [CrossRef]
- Xie, Y.H.; Pei, L.; Sun, J.B.; Zheng, J.J.; Ning, T.G.; Li, J. Optimal design of a bend-insensitive heterogeneous MCF with differential inner-cladding structure and identical cores. Opt. Fiber Technol. 2019, 53, 102001. [Google Scholar] [CrossRef]
- Zhang, Y.; Jiang, W.F.; Chen, M.Y. Design of ring-core few-mode multi-core fiber with low crosstalk and low benidng loss. Act. Opt. Sin. 2022, 71, 1000–3290. [Google Scholar] [CrossRef]
- Suzuki, K.; Kubota, H.; Kawanishi, S.; Tanaka, M.; Fujita, M. Optical properties of a low-loss polarization-maintaining photonic crystal fiber. Opt. Express 2001, 9, 676–680. [Google Scholar] [CrossRef]
- Zhang, Y.Q.; Lian, Y.D.; Wang, Y.H.; Wang, J.B.; Yang, M.X.; Luan, N.N. Design and analysis of trench-assisted large-mode-field-area multi-core fiber with air-hole. Appl. Phys. B 2021, 127, 6. [Google Scholar] [CrossRef]
- Zhang, Y.Q.; Lian, Y.D.; Wang, Y.H.; Wang, J.B.; Yang, M.X.; Luan, N.N.; Lu, Z.W. Study on dual-mode large-mode-area multi-core fiber with air-hole. Opt. Fiber Technol. 2021, 65, 102595. [Google Scholar] [CrossRef]
- Zhang, Y.Q.; Lian, Y.D.; Wang, Y.H.; Yang, M.X.; Wang, J.B.; Luan, N.N.; Wang, Y.L.; Lu, Z.W. Design and analysis of trench-assisted dual-mode multi-core fiber with large-mode-field-area. Appl. Optics 2021, 60, 4698–4705. [Google Scholar] [CrossRef]
- Yang, M.X.; Lian, Y.D.; Wang, J.B.; Zhang, Y.Q. Dual-Mode Large-Mode-Area Multicore Fiber with Air-Hole Structure. IEEE Photonics J. 2019, 11, 7102610. [Google Scholar] [CrossRef]
- Hayashi, T.; Taru, T.; Shimakawa, O.; Sasaki, T.; Sasaoka, E. Design and fabrication of ultra-low crosstalk and low-loss multi-core fiber. Opt. Express 2011, 19, 16576–16592. [Google Scholar] [CrossRef] [PubMed]
- Wang, X.; Lou, S.Q.; Lu, W.L.; Sheng, X.Z.; Zhao, T.T.; Hua, P. Bend Resistant Large Mode Area Fiber with Multi-Trench in the Core. IEEE J. Solid-St. Circ. 2015, 22, 4400508. [Google Scholar] [CrossRef]
- Miao, X.F.; Wu, P.; Zhao, B.Y. Optimum design for a novel large mode area fiber with triangle-platform-index core. Mod. Phys. Lett. B 2019, 33, 1950207. [Google Scholar] [CrossRef]
- Tong, Y.; Chen, S.; Tian, H.P. A bend-resistant low bending loss and large mode area two-layer core single-mode fiber with GRIR and multi-trench. Opt. Fiber Technol. 2018, 45, 235–243. [Google Scholar] [CrossRef]
- She, Y.L.; Zhang, W.T.; Tu, S.; Liang, G.L. Large mode area single mode photonic crystal fiber with ultra-low bending loss. Optik 2021, 229, 165556. [Google Scholar] [CrossRef]
- Jin, W.X.; Ren, G.B.; Jiang, Y.C.; Wu, Y.; Xu, Y.; Yang, Y.G.; Shen, Y.; Ren, W.H.; Jian, S.S. Few-mode and large-mode-area fiber with circularly distributed cores. Opt. Commun. 2017, 387, 79–83. [Google Scholar] [CrossRef]
- Shen, X.; Li, Y.Y.; Yang, T.; Zheng, J.J.; Zhang, Z.X.; Wei, W. Mode Transmission Characteristics of Heterogeneous Helical Cladding Large Mode Area Fiber. Act. Opt. Sin. 2022, 42, 0253–2239. [Google Scholar] [CrossRef]
- Li, Q.G.; Wu, W.W.; Sun, K.Y. Discussion on the Process of MCVD Gradient Index Multimode Fiber Prefabrication Rod. China Inst. Commun. 2013, 4, 83–86. [Google Scholar]
- Jain, D.; Alam, S.; Jung, Y.; Barua, P.; Velazquez, M.N.; Sahu, J.K. Highly efficient Yb-free Er-La-Al doped ultra-low NA large mode area single-trench fiber laser. Opt. Express 2015, 23, 28282–28287. [Google Scholar] [CrossRef]
- Courant, R.L. Variational Methods for the Solution of Problems of Equilibrium and Vibration. B Amer. Math Soc. 1943, 49, 1–23. [Google Scholar] [CrossRef]
- Feng, N.N.; Zhou, G.R.; Xu, C.; Huang, W.P. Computation of Full-Vector Modes for Bending Waveguide Using Cylindrical PerfectlyMatched Layers. IEEE J. Light. Technol. 2002, 20, 1976–1980. [Google Scholar] [CrossRef]
- Rogier, H.; Zutter, D.D. Berenger and Leaky Modes in Optical Fibers Terminated with a Perfectly Matched Layer. IEEE J. Lightwave Technol. 2002, 20, 1141–1148. [Google Scholar] [CrossRef]
- Wang, J.; Pei, L.; Wang, J.; Ruan, Z.; Li, J. Design and analysis for large-mode-area photonic crystal fiber with negative-curvature air ring. Opt. Fiber Technol. 2021, 62, 102478. [Google Scholar] [CrossRef]
- Zheng, X.J.; Ren, G.B.; Huang, L.; Zheng, H.L. Study on bending losses of few-mode optical fibers. Acta Phys. Sin-Ch. Ed. 2016, 65, 064208. [Google Scholar] [CrossRef]
- Lee, H.; Ma, T.Y.; Mizuno, Y.; Nakamura, K. Bending-loss-independent operation of slope-Assisted Brillouin optical correlation-domain reflectometry. Sci. Rep.-UK 2018, 8, 7844. [Google Scholar] [CrossRef]
- Jain, D.; Sahu, J.K. Large Mode Area Single Trench Fiber for 2 μm Operation. IEEE J. Light. Technol. 2016, 34, 3412–3417. [Google Scholar] [CrossRef]















Disclaimer/Publisher’s Note: The statements, opinions and data contained in all publications are solely those of the individual author(s) and contributor(s) and not of MDPI and/or the editor(s). MDPI and/or the editor(s) disclaim responsibility for any injury to people or property resulting from any ideas, methods, instructions or products referred to in the content. |
© 2023 by the authors. Licensee MDPI, Basel, Switzerland. This article is an open access article distributed under the terms and conditions of the Creative Commons Attribution (CC BY) license (https://creativecommons.org/licenses/by/4.0/).
Share and Cite
Zhang, Y.; Lian, Y. Design and Analysis of a Large Mode Field Area and Low Bending Loss Multi-Cladding Fiber with Comb-Index Core and Gradient-Refractive Index Ring. Sensors 2023, 23, 5085. https://doi.org/10.3390/s23115085
Zhang Y, Lian Y. Design and Analysis of a Large Mode Field Area and Low Bending Loss Multi-Cladding Fiber with Comb-Index Core and Gradient-Refractive Index Ring. Sensors. 2023; 23(11):5085. https://doi.org/10.3390/s23115085
Chicago/Turabian StyleZhang, Yining, and Yudong Lian. 2023. "Design and Analysis of a Large Mode Field Area and Low Bending Loss Multi-Cladding Fiber with Comb-Index Core and Gradient-Refractive Index Ring" Sensors 23, no. 11: 5085. https://doi.org/10.3390/s23115085
APA StyleZhang, Y., & Lian, Y. (2023). Design and Analysis of a Large Mode Field Area and Low Bending Loss Multi-Cladding Fiber with Comb-Index Core and Gradient-Refractive Index Ring. Sensors, 23(11), 5085. https://doi.org/10.3390/s23115085

