Evaluation of the Health Status of Indonesian Watersheds Using Impervious Surface Area as an Indicator
Abstract
1. Introduction
2. Materials and Methods
2.1. Study Area and Datasets
2.2. Method
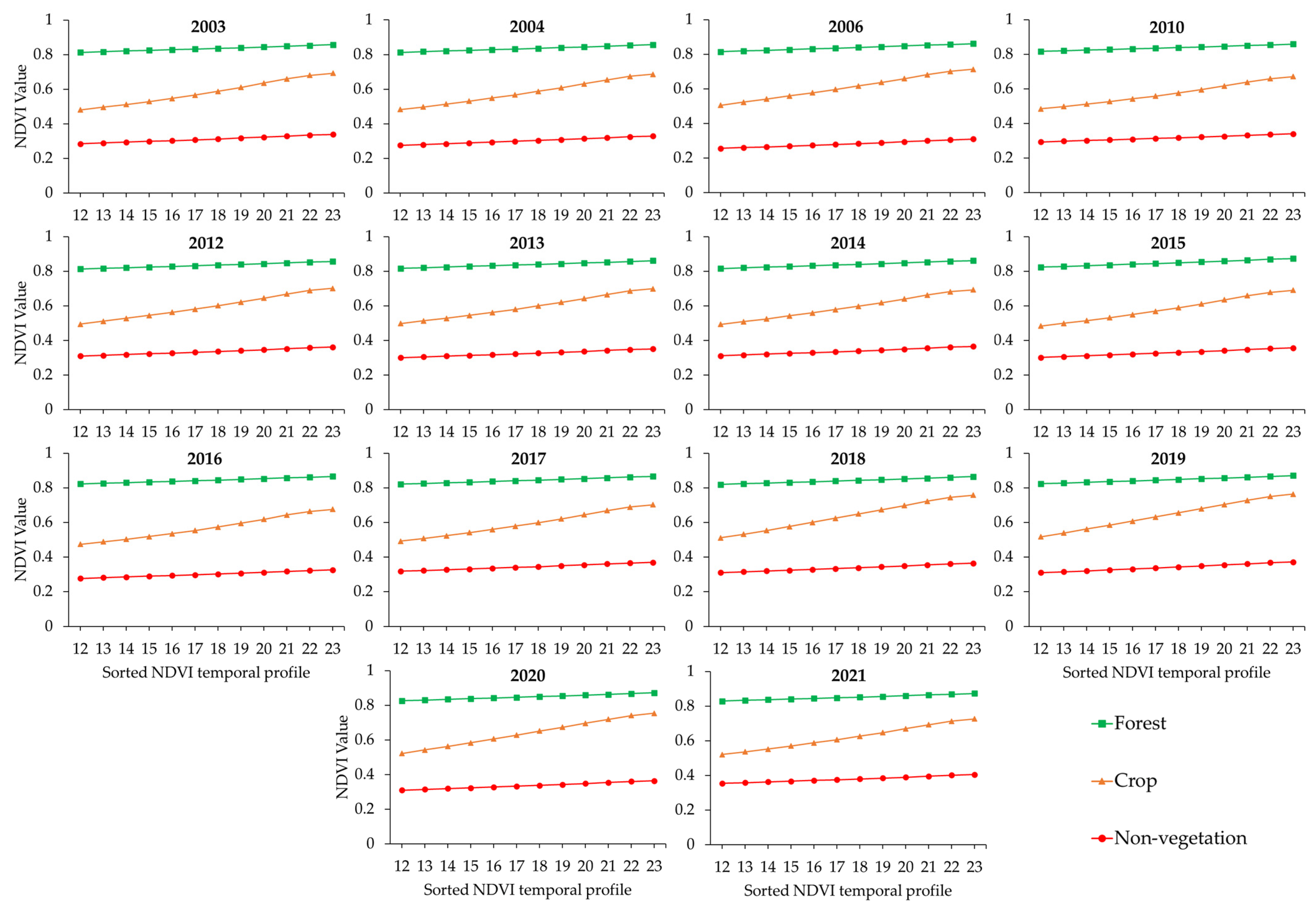
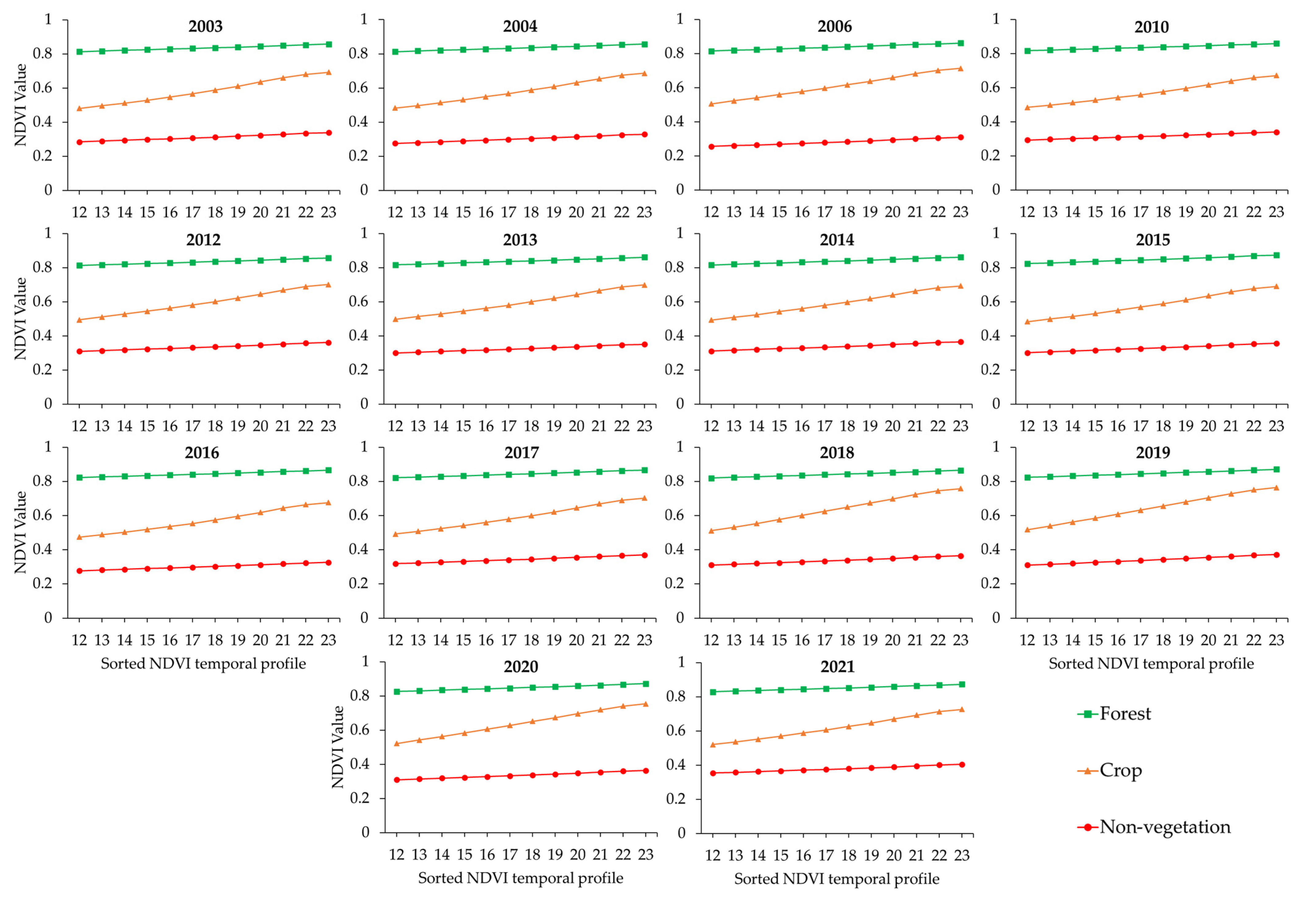
2.2.1. Estimating Non-Vegetation Fraction from MODIS-NDVI Time Series
2.2.2. Generation of Consistent NTL Time Series from 2003 to 2021
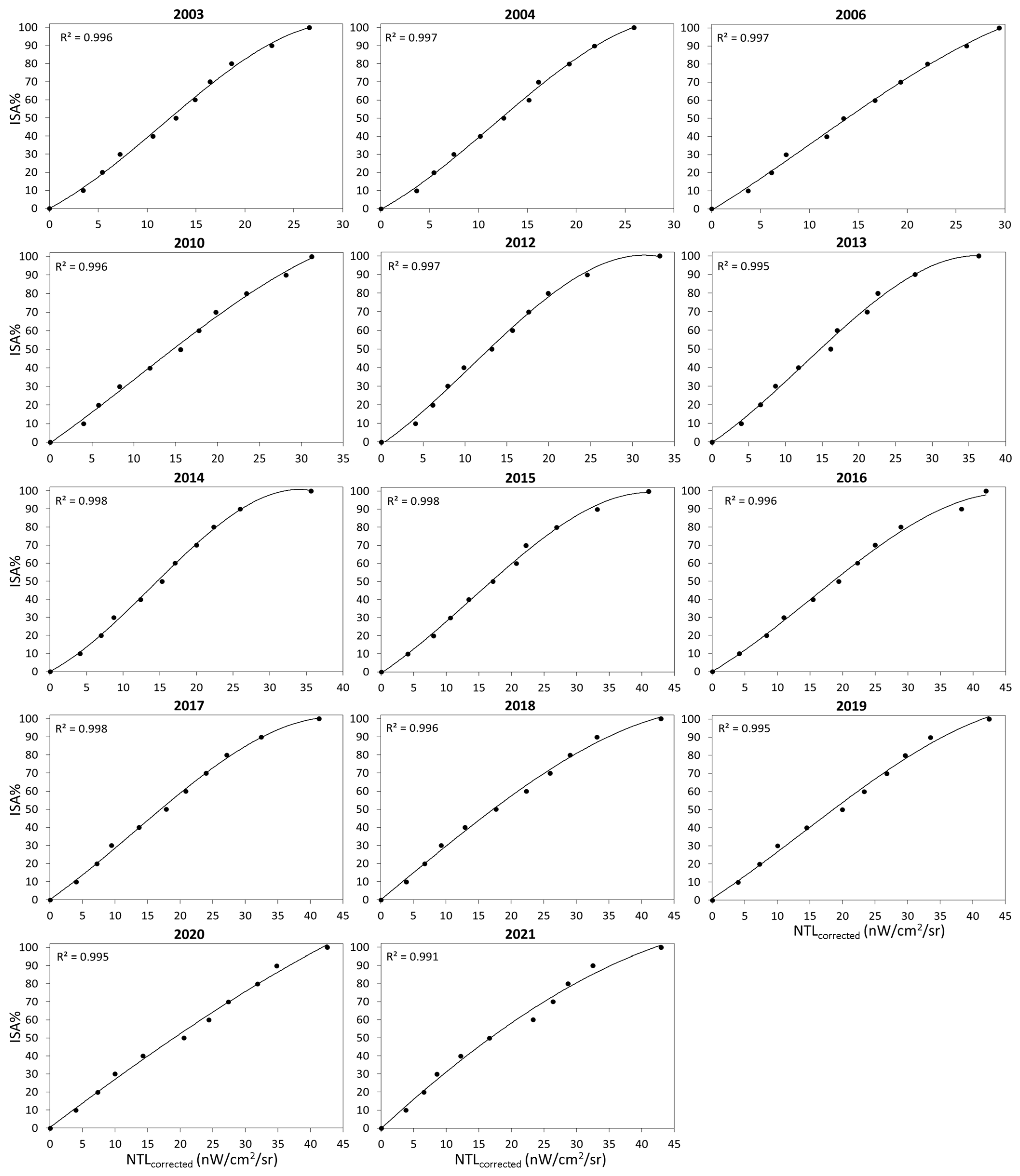
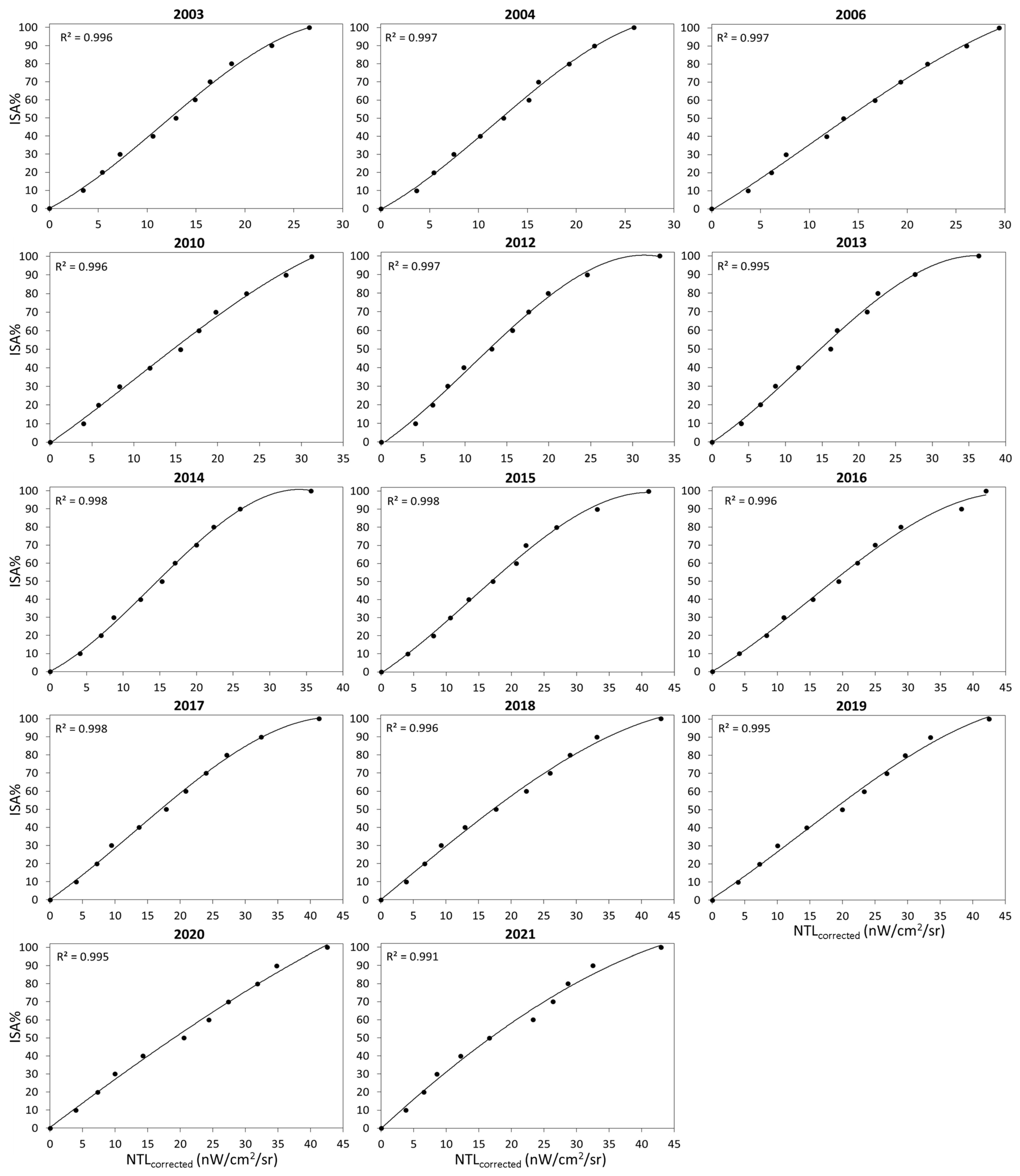
2.2.3. Building Relationships between ISA% and NTLcorrected
2.2.4. Assessing the Health Status of Indonesian Watersheds
2.2.5. Accuracy Assessment
3. Results
3.1. Annual ISA% Distribution Maps in Indonesia
3.2. Performance of the Developed Method
3.3. Watersheds Evaluation in Indonesia
4. Discussion
4.1. Improved Relationships between ISA% and NTL Data
4.2. Reliability of the Generated ISA% Distribution Maps
4.3. Watershed Health Status in Indonesia
5. Conclusions
Supplementary Materials
Author Contributions
Funding
Institutional Review Board Statement
Informed Consent Statement
Data Availability Statement
Conflicts of Interest
Abbreviation
| CV | Coefficient of Variation |
| DMSP-OLS | Defense Meteorological Satellite Program-Operational Linescan System |
| DNB | Day and Night Band |
| EANTLI | Enhanced vegetation index Adjusted Nighttime Light Index |
| EOG | Earth Observation Group |
| EVI | Enhanced Vegetation Index |
| FCLS | Fully Constrained Least Squares |
| GAIA | Global Artificial Impervious Area |
| GDP | Gross Domestic Product |
| HydroSHEDS | Hydrological data and maps based on SHuttle Elevation Derivatives |
| ISA | Impervious Surface Area |
| ISA% | Impervious Surface Area Percentage |
| MAPD | Mean Absolute Percentage Difference |
| MNF | Minimum Noise Fraction |
| MODIS | Moderate Resolution Imaging Spectroradiometer |
| NDVI | Normalized Difference Vegetation Index |
| NOAA | National Oceanic and Atmospheric Administration |
| NTL | Nighttime Light |
| RMSD | Mean Square Difference |
| SMA | Spectral Mixture Analysis |
| SNPP | Suomi National Polar-orbiting Partnership |
| TMA | Temporal Mixture Analysis |
| TSOL | Total Sum of Light |
| VIIRS | Visible Infrared Imaging Radiometer Suite |
References
- United Nations Department of Economic and Social Affairs, Population Division. World Population Prospects 2022: Summary of Results; UN DESA/POP/2022/TR/NO. 3; United Nations: New York, NY, USA, 2022. [Google Scholar]
- Weng, Q. Modeling Urban Growth Effects on Surface Runoff with the Integration of Remote Sensing and GIS. Environ. Manag. 2001, 28, 737–748. [Google Scholar] [CrossRef] [PubMed]
- Strohbach, M.W.; Döring, A.O.; Möck, M.; Sedrez, M.; Mumm, O.; Schneider, A.; Weber, S.; Schröder, B. The “Hidden Urbanization”: Trends of Impervious Surface in Low-Density Housing Developments and Resulting Impacts on the Water Balance. Front. Environ. Sci. 2019, 7, 29. [Google Scholar] [CrossRef]
- Kuang, W. Mapping global impervious surface area and green space within urban environments. Sci. China Earth Sci. 2019, 62, 1591–1606. [Google Scholar] [CrossRef]
- Weng, Q. Remote sensing of impervious surfaces in the urban areas: Requirements, methods, and trends. Remote Sens. Environ. 2012, 117, 34–49. [Google Scholar] [CrossRef]
- Sohn, W.; Kim, K.; Li, M.; Brown, R.D.; Jaber, F.H. How does increasing impervious surfaces affect urban flooding in response to climate variability? Ecol. Indic. 2020, 118, 106774. [Google Scholar] [CrossRef]
- Kim, H.; Jeong, H.; Jeon, J.; Bae, S. The Impact of Impervious Surface on Water Quality and Its Threshold in Korea. Water 2016, 8, 111. [Google Scholar] [CrossRef]
- Schueler, T.R. The importance of imperviousness. Watershed Prot. Tech. 1994, 1, 100–111. [Google Scholar]
- Bauer, M.E.; Heinert, N.J.; Doyle, J.K.; Yuan, F. Impervious surface mapping and change monitoring using Landsat remote sensing. In Proceedings of the ASPRS Annual Conference, Denver, CO, USA, 24–28 May 2004. [Google Scholar]
- Yang, F.; Matsushita, B.; Fukushima, T.; Yang, W. Temporal mixture analysis forestimating impervious surface area from multi-temporal MODIS NDVI data in Japan. ISPRS J. Photogramm. Remote Sens. 2012, 72, 90–98. [Google Scholar] [CrossRef]
- Yang, F.; Matsushita, B.; Yang, W.; Fukushima, T. Mapping the human footprint from satellite measurements in Japan. ISPRS J. Photogramm. Remote Sens. 2014, 88, 80–90. [Google Scholar] [CrossRef]
- Pok, S.; Matsushita, B.; Fukushima, T. An easily implemented method to estimate impervious surface area on a large scale from MODIS time-series and improved DMSP-OLS nighttime light data. ISPRS J. Photogramm. Remote Sens. 2017, 133, 104–115. [Google Scholar] [CrossRef]
- Zhuo, L.; Shi, Q.; Tao, H.; Zheng, J.; Li, Q. An improved temporal mixture analysis unmixing method for estimating impervious surface area based on MODIS and DMSP-OLS data. ISPRS J. Photogramm. Remote Sens. 2018, 142, 64–77. [Google Scholar] [CrossRef]
- Phinn, S.; Stanford, M.; Scarth, P.; Murray, A.T.; Shyy, P.T. Monitoring the composition of urban environments based on the vegetation–impervious surface–soil (VIS) model by subpixel analysis techniques. Int. J. Remote Sens. 2002, 23, 4131–4153. [Google Scholar] [CrossRef]
- Lu, D.; Weng, Q. Use of impervious surface in urban land-use classification. Remote Sens. Environ. 2006, 102, 146–160. [Google Scholar] [CrossRef]
- Powell, R.L.; Roberts, D.A.; Dennison, P.E.; Hess, L.L. Sub-pixel mapping of urban land cover using multiple endmember spectral mixture analysis: Manaus, Brazil. Remote Sens. Environ. 2007, 106, 253–267. [Google Scholar] [CrossRef]
- Yang, F.; Matsushita, B.; Fukushima, T. A pre-screened and normalized multiple endmember spectral mixture analysis for mapping impervious surface area in Lake Kasumigaura Basin, Japan. ISPRS J. Photogramm. Remote Sens. 2010, 65, 479–490. [Google Scholar] [CrossRef]
- Parekh, J.R.; Poortinga, A.; Bhandari, B.; Mayer, T.; Saah, D.; Chishtie, F. Automatic detection of impervious surfaces from remotely sensed data using deep learning. Remote Sens. 2021, 13, 3166. [Google Scholar] [CrossRef]
- Tsutsumida, N.; Comber, A.; Barrett, K.; Saizen, I.; Rustiadi, E. Sub-pixel classification of MODIS EVI for annual mappings of impervious surface areas. Remote Sens. 2016, 8, 143. [Google Scholar] [CrossRef]
- Zhuo, L.; Zheng, J.; Zhang, X.; Li, J.; Liu, L. An improved method of night-time light saturation reduction based on EVI. Int. J. Remote Sens. 2015, 36, 4114–4130. [Google Scholar] [CrossRef]
- Matsushita, B.; Pok, S.; Jiang, D.; Hamzah, R. An improved method for estimating the percentage impervious surface area from MODIS and DMSP-OLS night time light data. Geoinformatics Geostat. Overv. 2018, S3, 003. [Google Scholar]
- Miller, S.D.; Straka, W., III; Mills, S.P.; Elvidge, C.D.; Lee, T.F.; Solbrig, J.; Walther, A.; Heidinger, A.K.; Weiss, S.C. Illuminating the Capabilities of the Suomi National Polar-Orbiting Partnership (NPP) Visible Infrared Imaging Radiometer Suite (VIIRS) Day/Night Band. Remote Sens. 2013, 5, 6717–6766. [Google Scholar] [CrossRef]
- Elvidge, C.D.; Zhizhin, M.; Ghosh, T.; Hsu, F.C.; Taneja, J. Annual time series of global VIIRS nighttime lights derived from monthly averages: 2012 to 2019. Remote Sens. 2021, 13, 922. [Google Scholar] [CrossRef]
- Levin, N.; Kyba, C.C.M.; Zhang, Q.; Sánchez de Miguel, A.; Román, M.O.; Li, X.; Portnov, B.A.; Molthan, A.L.; Jechow, A.; Miller, S.D.; et al. Remote sensing of night lights: A review and an outlook for the future. Remote Sens. Environ. 2020, 237, 111443. [Google Scholar] [CrossRef]
- Hsu, F.C.; Baugh, K.E.; Ghosh, T.; Zhizhin, M.; Elvidge, C.D. DMSP-OLS radiance calibrated nighttime lights time series with intercalibration. Remote Sens. 2015, 7, 1855–1876. [Google Scholar] [CrossRef]
- Legge, J.; McDivitt, D.; James, F.; Leinbach, T.R.; Susatyo, M.G.; Warman, A.A.; Wolters, O.W. Indonesia. Encyclopedia Britannica 2023. Available online: https://www.britannica.com/place/Indonesia (accessed on 29 March 2023).
- World Data. Population Growth in Indonesia. Available online: https://www.worlddata.info/asia/indonesia/populationgrowth.php (accessed on 30 September 2022).
- World Bank. Population Growth (Annual%)—Indonesia. Available online: https://data.worldbank.org/indicator/SP.POP.GROW?locations=ID (accessed on 30 September 2022).
- The World Factbook. Indonesaia. Available online: https://www.cia.gov/the-world-factbook/countries/indonesia/#geography (accessed on 29 March 2023).
- The World Bank. GDP Growth (Annual%)—Indonesia. Available online: https://data.worldbank.org/indicator/NY.GDP.MKTP.CD?locations=ID (accessed on 29 March 2023).
- Dharmakarja, A. Does accelerating infrastructure development program reduce unemployment rate? J. Indones. State Budg. Financ. 2021, 3, 113–135. [Google Scholar] [CrossRef]
- Ministry of Finance. Financial Note & State Revenue and Expenditure Budget for 2013; Ministry of Finance of the Republic of Indonesia: Jakarta, Indonesia. Available online: https://web.kemenkeu.go.id/media/6620/nota-keuangan-apbn-2013.pdf (accessed on 28 February 2023).
- Ministry of Finance. Financial Note & State Revenue and Expenditure Budget for 2021; Ministry of Finance of the Republic of Indonesia: Jakarta, Indonesia. Available online: https://web.kemenkeu.go.id/informasi-publik/uu-apbn-dan-nota-keuangan/ (accessed on 28 February 2023).
- Huhne, C.; Slingo, J. Climate: Observations, Projections and Impacts (Indonesia); Met Office: Exeter, Devon, UK, 2011. Available online: http://www.unscn.org/files/NutCC/Indonesia.pdf (accessed on 28 February 2023).
- NOAA Climate Prediction Center. Indonesia/New Guinea. Available online: https://www.cpc.ncep.noaa.gov/products/assessments/assess_97/indo.html (accessed on 5 April 2023).
- Chen, J.; Jönsson, P.; Tamura, M.; Gu, Z.; Matsushita, B.; Eklundh, L. A simple method for reconstructing a high-quality NDVI time-series data set based on the Savitzky-Golay filter. Remote Sens. Environ. 2004, 91, 332–344. [Google Scholar] [CrossRef]
- Zhao, N.; Zhou, Y.; Samson, E.L. Correcting incompatible DN values and geometric errors in nighttime lights time-series images. IEEE Trans. Geosci. Remote Sens. 2015, 53, 4. [Google Scholar] [CrossRef]
- Elvidge, C.D.; Baugh, K.E.; Dietz, J.B.; Bland, T.; Sutton, P.C.; Kroehl, H.W. Radiance calibration of DMSP-OLS low-light imaging data of human settlements. Remote Sens. Env. 1999, 68, 77–88. [Google Scholar] [CrossRef]
- Shao, Z.; Liu, C. The integrated use of DMSP-OLS nighttime light and MODIS data for monitoring large-scale impervious surface dynamics: A case study in the Yangtze river delta. Remote Sens. 2014, 6, 9359–9378. [Google Scholar] [CrossRef]
- Guo, W.; Lu, D.; Kuang, W. Improving Fractional Impervious Surface Mapping Performance through Combination of DMSP-OLS and MODIS NDVI Data. Remote Sens. 2017, 9, 375. [Google Scholar] [CrossRef]
- Elvidge, C.D.; Baugh, K.E.; Zhizhin, M.; Hsu, F.C. Why VIIRS data are superior to DMSP for mapping nighttime lights. In Proceedings of the Asia-Pacific Advanced Network, Daejeon, Republic of Korea, 19–23 August 2013; Volume 35, pp. 62–69. [Google Scholar] [CrossRef]
- Elvidge, C.D.; Baugh, K.; Zhizhin, M.; Hsu, F.C.; Ghosh, T. VIIRS night-time lights. Int. J. Remote Sens. 2017, 38, 5860–5879. [Google Scholar] [CrossRef]
- Li, X.; Li, D.; Xu, H.; Wu, C. Intercalibration between DMSP/OLS and VIIRS nighttime light images to evaluate city light dynamics of Syria’s major human settlement during Syrian Civil War. Int. J. Remote Sens. 2017, 38, 5934–5951. [Google Scholar] [CrossRef]
- Elvidge, C.D.; Baugh, K.E.; Kihn, E.A.; Kroehl, H.W.; Davis, E.R. Mapping city lights with nighttime data from the DMSP operational line-scan system. Photogramm. Eng. Remote Sens. 1997, 63, 727–734. [Google Scholar]
- Elvidge, C.D.; Ziskin, D.; Baugh, K.; Tuttle, B.; Ghosh, T.; Pack, D.; Erwin, E.D.; Zhizhin, M. A fifteen-year record of global natural gas flaring derived from satellite data. Energies 2009, 2, 595–622. [Google Scholar] [CrossRef]
- Lehner, B.; Verdin, K.; Jarvis, A. New global hydrography derived from spaceborne elevation data. Eos Trans. 2008, 89, 93–94. [Google Scholar] [CrossRef]
- Lehner, B.; Grill, G. Global river hydrography and network routing: Baseline data and new approaches to study the world’s large river systems. Hydrol. Process 2013, 27, 2171–2186. [Google Scholar] [CrossRef]
- WWF. What Is the Right Spatial and Temporal Scale Needed for a Meaningful CBWT? Available online: https://wwf.medium.com/what-is-the-right-spatial-and-temporal-scale-needed-for-a-meaningful-cbwt-6d19cbabeee2 (accessed on 25 March 2021).
- Heinz, D.C.; Chang, C.I. Fully constrained least squares linear spectral mixture analysis method for material quantification in hyperspectral imagery. IEEE Trans. Geosci. Remote Sens. 2001, 39, 529–545. [Google Scholar] [CrossRef]
- Therien, C. Pysptools: Fully Constrained Least Squares (FCLS) Function. Available online: https://pysptools.sourceforge.io/abundance_maps.html#fully-constrained-least-squares-fcls (accessed on 1 April 2021).
- Li, X.; Zhou, Y. A stepwise calibration of global DMSP/OLS stable nighttime light data (1992–2013). Remote Sens. 2017, 9, 637. [Google Scholar] [CrossRef]
- Jeswani, R. Evaluation of the consistency of DMSP-OLS and SNPP-VIIRS Night-time Light Datasets. J. Geomat. 2019, 13, 98–105. [Google Scholar]
- Ma, J.; Guo, J.; Ahmad, S.; Li, Z.; Hong, J. Constructing a new inter-calibration method for DMSP-OLS and NPP-VIIRS nighttime light. Remote Sens. 2020, 12, 937. [Google Scholar] [CrossRef]
- Liu, Z.; He, C.; Zhang, Q.; Huang, Q.; Yang, Y. Extracting the dynamics of urban expansion in China using DMSP-OLS nighttime light data from 1992 to 2008. Landsc. Urban Plan. 2012, 106, 62–72. [Google Scholar] [CrossRef]
- Pan, J.; Li, J. Spatiotemporal dynamics of electricity consumption in China. Appl. Spat. Anal. 2017, 12, 395–422. [Google Scholar] [CrossRef]
- Shi, K.; Chen, Y.; Yu, B.; Xu, T.; Yang, C.; Li, L.; Huang, C.; Chen, Z.; Liu, R.; Wu, J. Detecting spatiotemporal dynamics of global electric power consumption using DMSP-OLS nighttime stable light data. Appl. Energy 2016, 184, 450–463. [Google Scholar] [CrossRef]
- Cao, Z.; Wu, Z.; Kuang, Y.; Huang, N.; Wang, M. Coupling an intercalibration of radiance-calibrated nighttime light images and land use/cover data for modeling and analyzing the distribution of GDP in Guangdong, China. Sustainability 2016, 8, 108. [Google Scholar] [CrossRef]
- Yang, L.; Cao, J.; Zhuo, L.; Shi, Q. A novel consistency calibration method for DMSP-OLS nighttime stable light time-series images. IEEE J. Sel. Top. Appl. Earth Obs. Remote Sens. 2022, 15, 2621–2631. [Google Scholar] [CrossRef]
- Christopher, N.; Doll, H.; Muller, J.P.; Elvidge, C.D. Night-time imagery as a tool for global mapping of socioeconomic parameters and greenhouse gas emissions. AMBIO A J. Hum. Environ. 2000, 29, 157–162. [Google Scholar] [CrossRef]
- Zhao, M.; Zhou, Y.; Li, X.; Zhou, C.; Cheng, W.; Li, M.; Huang, K. Building a series of consistent night-time light data (1992–2018) in Southeast Asia by integrating DMSP-OLS and NPP-VIIRS. IEEE Trans. Geosci. Remote Sens. 2020, 58, 1843–1856. [Google Scholar] [CrossRef]
- Elvidge, C.D.; Tuttle, B.T.; Sutton, P.C.; Baugh, K.E.; Howard, A.T.; Milesi, C.; Bhaduri, B.; Nemani, R. Global distribution and density of constructed impervious surfaces. Sensors 2007, 7, 1962–1979. [Google Scholar] [CrossRef]
- Brabec, E.; Schulte, S.; Richards, P.L. Impervious surfaces and water quality: A review of current literature and its implications for watershed planning. J. Plan. Lit. 2002, 16, 499–514. [Google Scholar] [CrossRef]
- Gong, P.; Li, X.; Wang, J.; Bai, Y.; Chen, B.; Hu, T.; Liu, X.; Xu, B.; Yang, J.; Zhang, W. Annual maps of global artificial impervious area (GAIA) between 1985 and 2018. Remote Sens. Environ. 2020, 236, 111510. [Google Scholar] [CrossRef]
- Wu, C.; Murray, A.T. Estimating impervious surface distribution by spectral mixture analysis. Remote Sens. Environ. 2003, 84, 493–505. [Google Scholar] [CrossRef]
- Lu, D.; Moran, E.; Hetrick, S. Detection of impervious surface change with multitemporal Landsat images in an urban–rural frontier. ISPRS J. Photogramm. Remote Sens. 2011, 66, 298–306. [Google Scholar] [CrossRef] [PubMed]
- Wong, K.; Zhang, Y.; Cheng, Q.; Chao, M.C.; Tsou, J.Y. Comparison of Impervious Surface Dynamics through Vegetation/High-Albedo/Low-Albedo/Soil Model and Socio-Economic Factors. Land 2022, 11, 430. [Google Scholar] [CrossRef]









| Data | Year | Data Model | Spatial Resolution | Source |
|---|---|---|---|---|
| MODIS NDVI (MOD13A2) | 2003, 2004, 2006, 2010, 2012–2021 | Raster | 1 km | LPDAAC/NASA a |
| DMSP-OLS annual composites | 2003, 2004, 2006, 2010 | Raster | 1 km | NOAA/NGDC b |
| SNPP-VIIRS-DNB annual composites | 2012–2021 | Raster | 750 m | NOAA/NGDC c |
| Watershed polygon | 2013 | Vector | - | HydroSHEDS v1 d |
| Google Earth image | 2003, 2004, 2006, 2010, 2012–2018 | Raster | 0.5 m | Google Earth |
| Year | a | b | c | d | R2 | RMSD |
|---|---|---|---|---|---|---|
| 2003 | −0.0045 | 0.1563 | 2.7992 | 0.1341 | 0.996 | 1.91 |
| 2004 | −0.0043 | 0.1479 | 2.9148 | −0.3508 | 0.998 | 1.58 |
| 2006 | −0.0014 | 0.0454 | 3.3163 | −0.7795 | 0.998 | 1.58 |
| 2010 | −0.0011 | 0.0343 | 3.1720 | −0.4675 | 0.997 | 1.88 |
| 2012 | −0.0034 | 0.1114 | 3.1167 | −1.3497 | 0.997 | 1.82 |
| 2013 | −0.0022 | 0.0836 | 2.6518 | −0.2228 | 0.995 | 2.20 |
| 2014 | −0.0033 | 0.1373 | 2.1018 | 0.1327 | 0.998 | 1.40 |
| 2015 | −0.0015 | 0.0609 | 2.3866 | −0.5878 | 0.998 | 1.58 |
| 2016 | −0.0011 | 0.0493 | 2.1517 | 0.0846 | 0.996 | 2.05 |
| 2017 | −0.0011 | 0.0426 | 2.5180 | 0.2164 | 0.998 | 1.44 |
| 2018 | −0.0004 | 0.0031 | 2.9631 | 0.0917 | 0.996 | 1.93 |
| 2019 | −0.0006 | 0.0263 | 2.3739 | 0.9115 | 0.995 | 2.25 |
| 2020 | −0.0001 | −0.0044 | 2.7183 | 0.4257 | 0.995 | 2.22 |
| 2021 | −0.0001 | −0.0180 | 3.3164 | −0.1218 | 0.991 | 2.99 |
| Year | Estimated ISA (km2) | GAIA (km2) |
|---|---|---|
| 2003 | 3687.35 | 4350.91 |
| 2004 | 3776.15 | 4465.25 |
| 2006 | 3912.47 | 4758.85 |
| 2010 | 4083.74 | 5270.11 |
| 2012 | 4061.37 | 5706.70 |
| 2013 | 4378.33 | 6089.81 |
| 2014 | 4671.75 | 6645.60 |
| 2015 | 4788.95 | 7537.54 |
| 2016 | 4931.67 | 8081.03 |
| 2017 | 6623.52 | 8234.18 |
| 2018 | 8466.58 | 8398.27 |
| 2019 | 9065.70 | |
| 2020 | 9397.09 | |
| 2021 | 10,505.50 |
Disclaimer/Publisher’s Note: The statements, opinions and data contained in all publications are solely those of the individual author(s) and contributor(s) and not of MDPI and/or the editor(s). MDPI and/or the editor(s) disclaim responsibility for any injury to people or property resulting from any ideas, methods, instructions or products referred to in the content. |
© 2023 by the authors. Licensee MDPI, Basel, Switzerland. This article is an open access article distributed under the terms and conditions of the Creative Commons Attribution (CC BY) license (https://creativecommons.org/licenses/by/4.0/).
Share and Cite
Hamzah, R.; Matsushita, B. Evaluation of the Health Status of Indonesian Watersheds Using Impervious Surface Area as an Indicator. Sensors 2023, 23, 4975. https://doi.org/10.3390/s23104975
Hamzah R, Matsushita B. Evaluation of the Health Status of Indonesian Watersheds Using Impervious Surface Area as an Indicator. Sensors. 2023; 23(10):4975. https://doi.org/10.3390/s23104975
Chicago/Turabian StyleHamzah, Rossi, and Bunkei Matsushita. 2023. "Evaluation of the Health Status of Indonesian Watersheds Using Impervious Surface Area as an Indicator" Sensors 23, no. 10: 4975. https://doi.org/10.3390/s23104975
APA StyleHamzah, R., & Matsushita, B. (2023). Evaluation of the Health Status of Indonesian Watersheds Using Impervious Surface Area as an Indicator. Sensors, 23(10), 4975. https://doi.org/10.3390/s23104975

