Discovery and Characterisation of Forward Line Formations at Centre Bounces in the Australian Football League
Abstract
1. Introduction
2. Materials and Methods
2.1. Data
2.2. Descriptive Analysis of Forward Player Positions at CBs
2.3. Player Role Usage
2.4. Forward Line Formation Discovery
2.4.1. Frequent Player Location Clustering Method
2.4.2. Formation Similarity Clustering Method
2.4.3. Team Comparisons
3. Results
3.1. Descriptive Analysis of Forward Player Positions at CBs
3.2. Player Role Usage Comparisons
3.3. Forward Line Formation Discovery
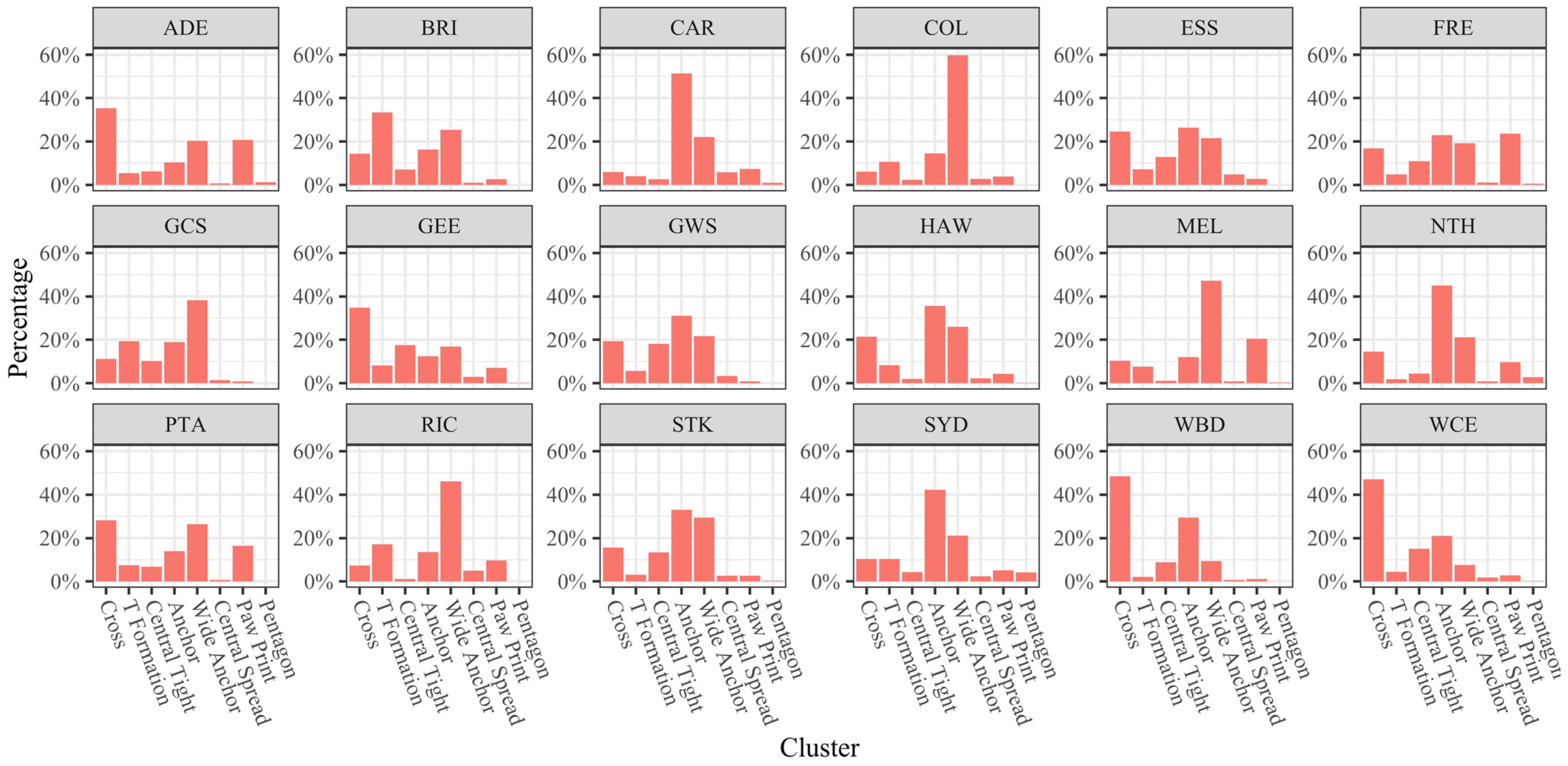
3.3.1. Frequent Player Location Clustering
3.3.2. Formation Similarity Clustering
4. Discussion
4.1. Player Positioning at CBs
4.2. Comparing Player Role Usage Rates
4.3. Detecting Forward Line Formations
4.4. Applications
4.5. Limitations and Future Directions
5. Conclusions
Supplementary Materials
Author Contributions
Funding
Data Availability Statement
Conflicts of Interest
References
- Skinny Gmhba Stadium Slims Down Further. Available online: https://www.afl.com.au/news/49021/skinny-gmhba-stadium-slims-down-further (accessed on 28 May 2022).
- Know the New Rules? 6-6-6, 50 m Penalties, Kick-in Rule Explained. Available online: https://www.afl.com.au/news/121022/know-the-new-rules-6-6-6-50m-penalties-kick-in-rule-explained (accessed on 2 June 2022).
- O’Shaughnessy, D. Identification and Measurement of Luck in Sport. In Proceedings of the 13th Australasian Conference on Mathematics and Computers in Sport, Melbourne, Australia, 11–13 July 2016. [Google Scholar]
- Gudmundsson, J.; Horton, M. Spatio-Temporal Analysis of Team Sports. ACM Comput. Surv. 2017, 50, 1–34. [Google Scholar] [CrossRef]
- Orejan, J. Football/Soccer History and Tactics; ProQuest, Football/Soccer, Ed.; McFarland & Company, Inc.: Jefferson, NC, USA, 2011. [Google Scholar]
- Goodell, R. Official Playing Rules of the National Football League; National Football League: New York, NY, USA, 2022. [Google Scholar]
- Bialkowski, A.; Lucey, P.; Carr, P.; Yue, Y.; Sridharan, S.; Matthews, I. Identifying Team Style in Soccer Using Formations Learned from Spatiotemporal Tracking Data. In Proceedings of the 2014 IEEE International Conference on Data Mining Workshop, Shenzhen, China, 14 December 2014. [Google Scholar]
- Woods, C.T.; Robertson, S.; Collier, N.F. Evolution of Game-Play in the Australian Football League from 2001 to 2015. J. Sports Sci. 2017, 35, 1879–1887. [Google Scholar] [CrossRef] [PubMed]
- Kruchten, A. Estimating the Causal Effect of Defensive Formation on Yards Gained in Run Plays; NFL Big Data Bowl: Indianapolis, IN, USA, 2020. [Google Scholar]
- Afshar, J.; Roudsari, A.H.; Lee, C.C.; Eom, C.S.-H.; Lee, W.; Arora, N.R. Harmonic Mean Based Soccer Team Formation Problem. In Proceedings of the 7th International Conference on Emerging Databases: Technologies, Applications, and Theory, Busan, Republic of Korea, 7–9 August 2017. [Google Scholar]
- Bialkowski, A.; Lucey, P.; Carr, P.; Matthews, I.; Sridharan, S.; Fookes, C. Discovering Team Structures in Soccer from Spatiotemporal Data. IEEE Trans. Knowl. Data Eng. 2016, 28, 2596–2605. [Google Scholar] [CrossRef]
- Henrio, J.; Henn, T.; Nakashima, T.; Akiyama, H. Selecting the Best Player Formation for Corner-Kick Situations Based on Bayes’ Estimation. In RoboCup 2016: Robot World Cup XX; Springer: Cham, Switzerland, 2017. [Google Scholar]
- Lucey, P.; Bialkowski, A.; Carr, P.; Foote, E.; Matthews, I. Characterizing Multi-Agent Team Behavior from Partial Team Tracings: Evidence from the English Premier League. In Proceedings of the AAAI Conference on Artificial Intelligence, Toronto, ON, Canada, 22–26 July 2012. [Google Scholar]
- Lucey, P.; Oliver, D.; Carr, P.; Roth, J.; Matthews, I. Assessing Team Strategy Using Spatiotemporal Data. In Proceedings of the 19th ACM SIGKDD International Conference on Knowledge Discovery and Data Mining, Chicago, IL, USA, 11–14 August 2013. [Google Scholar]
- Müller-Budack, E.; Theiner, J.; Rein, R.; Ewerth, R. “Does 4-4-2 Exist?”—An Analytics Approach to Understand and Classify Football Team Formations in Single Match Situations. In Proceedings of the 2nd International Workshop on Multimedia Content Analysis in Sports, Nice, France, 25 October 2019. [Google Scholar]
- Narizuka, T.; Yamazaki, Y. Characterization of the Formation Structure in Team Sports. arXiv 2018, arXiv:1802.06766; preprint. [Google Scholar]
- Narizuka, T.; Yamazaki, Y. Clustering Algorithm for Formations in Football Games. Sci. Rep. 2019, 9, 13172. [Google Scholar] [CrossRef]
- Chu, D.; Reyers, M.; Thomson, J.; Wu, L.Y. Route Identification in the National Football League. J. Quant. Anal. Sports 2020, 16, 121–132. [Google Scholar] [CrossRef]
- Kinney, M. Template Matching Route Classification. J. Quant. Anal. Sports 2020, 16, 133–142. [Google Scholar] [CrossRef]
- Haar, A.V. Exploratory Data Analysis of Passing Plays Using Nfl Tracking Data; NFL Big Data Bowl: Indianapolis, IN, USA, 2019. [Google Scholar]
- Dutta, R.; Yurko, R.; Ventura, S.L. Unsupervised Methods for Identifying Pass Coverage among Defensive Backs with Nfl Player Tracking Data. J. Quant. Anal. Sports 2020, 16, 143–161. [Google Scholar] [CrossRef]
- Lucey, P.; Bialkowski, A.; Carr, P.; Morgan, S.; Matthews, I.; Sheikh, Y. Representing and Discovering Adversarial Team Behaviors Using Player Roles. In Proceedings of the 2013 IEEE Conference on Computer Vision and Pattern Recognition, Portland, OR, USA, 23–28 June 2013. [Google Scholar]
- Tamura, K.; Masuda, N. Win-Stay Lose-Shift Strategy in Formation Changes in Football. EPJ Data Sci. 2015, 4, 1–19. [Google Scholar] [CrossRef]
- Aarons, M.F.; Young, C.M.; Bruce, L.; Dwyer, D.B. The Effect of Team Formation on Defensive Performance in Australian Football. J. Sci. Med. Sport 2022, 25, 178–182. [Google Scholar] [CrossRef]
- Alexander, J.P.; Spencer, B.; Mara, J.K.; Robertson, S. Collective Team Behaviour of Australian Rules Football During Phases of Match Play. J. Sports Sci. 2019, 37, 237–243. [Google Scholar] [CrossRef] [PubMed]
- Jackson, K. Assessing Player Performance in Australian Football Using Spatial Data; Swinburne University of Technology: Melbourne, Australia, 2016. [Google Scholar]
- Catapult Vector Specifications. Available online: https://www.catapultsports.com/solutions/vector#specifications (accessed on 20 April 2023).
- Hodder, R.W.; Ball, K.A.; Serpiello, F.R. Criterion Validity of Catapult Clearsky T6 Local Positioning System for Measuring Inter-Unit Distance. Sensors 2020, 20, 3693. [Google Scholar] [CrossRef] [PubMed]
- Luteberget, L.S.; Spencer, M.; Gilgien, M. Validity of the Catapult Clearsky T6 Local Positioning System for Team Sports Specific Drills, in Indoor Conditions. Front. Physiol. 2018, 9, 115. [Google Scholar] [CrossRef] [PubMed]
- Bastida-Castillo, A.; Gómez-Carmona, C.D.; De La Cruz Sánchez, E.; Pino-Ortega, J. Comparing Accuracy between Global Positioning Systems and Ultra-Wideband-Based Position Tracking Systems Used for Tactical Analyses in Soccer. Eur. J. Sport Sci. 2019, 19, 1157–1165. [Google Scholar] [CrossRef] [PubMed]
- Waqar, A.; Ahmad, I.; Habibi, D.; Phung, Q.V. Analysis of Gps and Uwb Positioning System for Athlete Tracking. Meas. Sens. 2021, 14, 100036. [Google Scholar] [CrossRef]
- R: A Language and Environment for Statistical Computing. R Foundation for Statistical Computing. R Development Core Team. 2023. Available online: https://www.R-project.org/ (accessed on 20 April 2023).
- Frencken, W.; Lemmink, K.; Delleman, N.; Visscher, C. Oscillations of Centroid Position and Surface Area of Soccer Teams in Small-Sided Games. Eur. J. Sport Sci. 2011, 11, 215–223. [Google Scholar] [CrossRef]
- Alexander, J.P.; Spencer, B.; Sweeting, A.J.; Mara, J.K.; Robertson, S. The Influence of Match Phase and Field Position on Collective Team Behaviour in Australian Rules Football. J. Sports Sci. 2019, 37, 1699–1707. [Google Scholar] [CrossRef]
- Kruskal, W.H.; Wallis, W.A. Use of Ranks in One-Criterion Variance Analysis. J. Am. Stat. Assoc. 1952, 47, 583–621. [Google Scholar] [CrossRef]
- Pearson, K.X. On the Criterion That a Given System of Deviations from the Probable in the Case of a Correlated System of Variables Is Such That It Can Be Reasonably Supposed to Have Arisen from Random Sampling. Lond. Edinb. Dublin Philos. Mag. J. Sci. 1900, 50, 157–175. [Google Scholar] [CrossRef]
- Kuhn, H.W. The Hungarian Method for the Assignment Problem. Nav. Res. Logist. 2005, 52, 7–21. [Google Scholar] [CrossRef]
- Lloyd, S. Least Squares Quantization in Pcm. IEEE Trans. Inf. Theory 1982, 28, 129–137. [Google Scholar] [CrossRef]
- Maechler, M.; Rousseeuw, P.; Struyf, A.; Hubert, M.; Hornik, K. Cluster: Cluster Analysis Basics and Extensions. 2012. Available online: https://CRAN.R-project.org/package=cluster (accessed on 20 April 2023).
- Kassambara, A. Practial Guide to Cluster Analysis in R: Unsupervised Machine Learning. In Multivariate Analysis I; CreateSpace Independent Publishing Platform: Scotts Valley, CA, USA, 2017; Volume 1. [Google Scholar]
- Cattrysse, D.G.; Van Wassenhove, L.N. A Survey of Algorithms for the Generalized Assignment Problem. Eur. J. Oper. Res. 1992, 60, 260–272. [Google Scholar] [CrossRef]
- Bialkowski, A.; Lucey, P.; Carr, P.; Yue, Y.; Matthews, I. “Win at Home and Draw Away”: Automatic Formation Analysis Highlighting the Differences in Home and Away Team Behaviors. In Proceedings of the 8th Annual MIT Sloan Sports Analytics Conference, Boston, MA, USA, 28 February–1 March 2014. [Google Scholar]
- Bialkowski, A.; Lucey, P.; Carr, P.; Yisong, Y.; Sridharan, S.; Matthews, I. Large-Scale Analysis of Soccer Matches Using Spatiotemporal Tracking Data. In Proceedings of the IEEE International Conference on Data Mining, Shenzhen, China, 14–17 December 2014. [Google Scholar]
- Wei, X.; Sha, L.; Lucey, P.; Morgan, S.; Sridharan, S. Large-Scale Analysis of Formations in Soccer. In Proceedings of the 2013 International Conference on Digital Image Computing: Techniques and Applications, Hobart, Australia, 26–28 November 2013. [Google Scholar]
- Silverman, J. Rcpphungarian: Solves Minimum Cost Bipartite Matching Problems. 2022. Available online: https://CRAN.R-project.org/package=RcppHungarian (accessed on 20 April 2023).
- Aggarwal, C.C.; Reddy, C.K. Data Clustering: Algorithms and Applications, 1st ed.; Chapman and Hall/CRC: Boca Raton, FL, USA, 2018. [Google Scholar]
- Shannon, C.E. A Mathematical Theory of Communication. ACM SIGMOBILE Mob. Comput. Commun. Rev. 2001, 5, 13–55. [Google Scholar] [CrossRef]
- Fransen, J.; Tribolet, R.; Sheehan, W.B.; McBride, I.; Novak, A.R.; Watsford, M.L. Cooperative Passing Network Features Are Associated with Successful Match Outcomes in the Australian Football League. Int. J. Sports Sci. Coach. 2022, 17, 1101–1108. [Google Scholar] [CrossRef]
- 2021 Offensive Personnel Analysis: Rams and Bengals Go to 11. Available online: https://www.footballoutsiders.com/stat-analysis/2022/2021-offensive-personnel-analysis-rams-and-bengals-go-11 (accessed on 21 April 2023).
- Kalman, S.; Bosch, J. Nba Lineup Analysis on Clustered Player Tendencies: A New Approach to the Positions of Basketball & Modeling Lineup Efficiency of Soft Lineup Aggregates. In Proceedings of the 14th Annual MIT Sloan Sports Analytics Conference, Boston, MA, USA, 6–7 March 2020. [Google Scholar]
- Sathya, S.S.; Jamal, M.S. Applying Genetic Algorithm to Select an Optimal Cricket Team. In Proceedings of the International Conference on Advances in Computing, Communication and Control, Mumbai, India, 23–24 January 2009. [Google Scholar]
- Atmosukarto, I.; Ghanem, B.; Saadalla, M.; Ahuja, N. Recognizing Team Formation in American Football. In Computer Vision in Sports; Springer: Berlin/Heidelberg, Germany, 2014; pp. 271–291. [Google Scholar]
- Shaw, L.; Gopaladesikan, S. Routine Inspection: A Playbook for Corner Kicks. In Proceedings of the Machine Learning and Data Mining for Sports Analytics: 7th International Workshop, Ghent, Belgium, 14–18 September 2020. [Google Scholar]
- Sheehan, W.B.; Tribolet, R.; Watsford, M.L.; Novak, A.R.; Rennie, M.; Fransen, J. Tactical Analysis of Individual and Team Behaviour in Professional Australian Football: Original Investigation. Sci. Med. Footb. 2022, 6, 172–180. [Google Scholar] [CrossRef]
- Official Afl Glossary. Available online: https://www.championdata.com/glossary/afl/ (accessed on 29 May 2022).












| CB2: Player 1 | CB2: Player 2 | CB2: Player 3 | CB2: Player 4 | CB2: Player 5 | CB2: Player 6 | |
|---|---|---|---|---|---|---|
| CB1: Player 1 | 7.69 * | 13.38 | 19.52 | 30.47 | 13.22 | 37.17 |
| CB1: Player 2 | 24.18 | 5.45 * | 3.21 | 14.88 | 17.87 | 38.45 |
| CB1: Player 3 | 39.18 | 20.64 | 13.79 | 1.98 * | 27.71 | 39.91 |
| CB1: Player 4 | 21.28 | 20.27 | 21.79 | 25.34 | 2.75 * | 21.77 |
| CB1: Player 5 | 38.26 | 28.62 | 25.22 * | 18.21 | 20.25 | 20.42 |
| CB1: Player 6 | 41.42 | 42.21 | 41.86 | 39.03 | 24.99 | 1.09 * |
| Team | Entropy | Team | Entropy |
|---|---|---|---|
| NTH | 1.45 | HAW | 2.19 |
| MEL | 1.58 | STK | 2.51 |
| RIC | 1.81 | WBD | 2.64 |
| ADE | 1.9 | ESS | 2.64 |
| PTA | 1.93 | BRI | 2.69 |
| FRE | 1.95 | GCS | 2.74 |
| CAR | 2.09 | WCE | 2.77 |
| SYD | 2.13 | GEE | 2.91 |
| COL | 2.19 | GWS | 3.02 |
| Team | Entropy | Team | Entropy |
|---|---|---|---|
| WBD | 1.31 | STK | 1.6 |
| COL | 1.31 | BRI | 1.62 |
| CAR | 1.47 | GWS | 1.64 |
| MEL | 1.48 | SYD | 1.67 |
| WCE | 1.48 | ADE | 1.67 |
| NTH | 1.54 | PTA | 1.69 |
| RIC | 1.55 | ESS | 1.72 |
| HAW | 1.56 | GEE | 1.74 |
| GCS | 1.58 | FRE | 1.76 |
Disclaimer/Publisher’s Note: The statements, opinions and data contained in all publications are solely those of the individual author(s) and contributor(s) and not of MDPI and/or the editor(s). MDPI and/or the editor(s) disclaim responsibility for any injury to people or property resulting from any ideas, methods, instructions or products referred to in the content. |
© 2023 by the authors. Licensee MDPI, Basel, Switzerland. This article is an open access article distributed under the terms and conditions of the Creative Commons Attribution (CC BY) license (https://creativecommons.org/licenses/by/4.0/).
Share and Cite
Seakins, D.; Gastin, P.B.; Jackson, K.; Gloster, M.; Brougham, A.; Carey, D.L. Discovery and Characterisation of Forward Line Formations at Centre Bounces in the Australian Football League. Sensors 2023, 23, 4891. https://doi.org/10.3390/s23104891
Seakins D, Gastin PB, Jackson K, Gloster M, Brougham A, Carey DL. Discovery and Characterisation of Forward Line Formations at Centre Bounces in the Australian Football League. Sensors. 2023; 23(10):4891. https://doi.org/10.3390/s23104891
Chicago/Turabian StyleSeakins, Daylon, Paul B. Gastin, Karl Jackson, Matthew Gloster, Aaron Brougham, and David L. Carey. 2023. "Discovery and Characterisation of Forward Line Formations at Centre Bounces in the Australian Football League" Sensors 23, no. 10: 4891. https://doi.org/10.3390/s23104891
APA StyleSeakins, D., Gastin, P. B., Jackson, K., Gloster, M., Brougham, A., & Carey, D. L. (2023). Discovery and Characterisation of Forward Line Formations at Centre Bounces in the Australian Football League. Sensors, 23(10), 4891. https://doi.org/10.3390/s23104891

