Next Article in Journal
Design and Implementation of a Passive Autoranging Circuit for Hybrid FBG-PZT Photonic Current Transducer
Next Article in Special Issue
Design Path for a Social Robot for Emotional Communication for Children with Autism Spectrum Disorder (ASD)
Previous Article in Journal
An Imbalanced Generative Adversarial Network-Based Approach for Network Intrusion Detection in an Imbalanced Dataset
Previous Article in Special Issue
A Multirobot System in an Assisted Home Environment to Support the Elderly in Their Daily Lives
 
 
Due to scheduled maintenance work on our servers, there may be short service disruptions on this website between 11:00 and 12:00 CEST on March 28th.
Font Type:
Arial Georgia Verdana
Font Size:
Aa Aa Aa
Line Spacing:
Column Width:
Background:
Article

Non Linear Control System for Humanoid Robot to Perform Body Language Movements

1
Engineering Department, Pontificia Universidad Catolica del Peru, San Miguel, Lima 15088, Peru
2
Department of Psychology, Pontificia Universidad Catolica del Peru, San Miguel, Lima 15088, Peru
*
Author to whom correspondence should be addressed.
Sensors 2023, 23(1), 552; https://doi.org/10.3390/s23010552
Submission received: 28 October 2022 / Revised: 21 December 2022 / Accepted: 23 December 2022 / Published: 3 January 2023
(This article belongs to the Special Issue Social Robots and Applications)

Abstract

In social robotics, especially with regard to direct interactions between robots and humans, the robotic movements of the body, arms and head must make an adequate displacement to guarantee an adequate interaction, both from a functional and social point of view. To achieve this, the use of closed-loop control techniques that consider the complex nonlinear dynamics and disturbances inherent in these systems is required. In this paper, an implementation of a nonlinear controller for the tracking of trajectories and a profile of speeds that execute the movements of the arms and head of a humanoid robot based on the mathematical model is proposed. First, the design and implementation of the arms and head are initially presented, then the mathematical model via kinematic and dynamic analysis was performed. With the above, the design of nonlinear controllers such as nonlinear proportional derivative control with gravity compensation, Backstepping control, Sliding Mode control and the application of each of them to the robotic system are presented. A comparative analysis based on a frequency analysis, the efficiency in polynomial trajectories and the implementation requirements allowed selecting the non-linear Backstepping control technique to be implemented. Then, for the implementation, a centralized control architecture is considered, which uses a central microcontroller in the external loop and an internal microcontroller (as internal loop) for each of the actuators. With the above, the selected controller was validated through experiments performed in real time on the implemented humanoid robot, demonstrating proper path tracking of established trajectories for performing body language movements.

1. Introduction

Body language (i.e., gestures and bodily movements) is a key component of human communication [1,2]. Expressive bodily movements can convey information on their own [3,4] and constitute more than 50% of what we communicate to other people [5]. In fact, humans tend to be cued mainly by motion due to the emotional impact it has on them [4].
Current literature suggests that movements performed by robots are able to influence attitudes and perceptions toward them [2,6,7]. It has been found that robotic bodily expressions improve the understanding of affect (i.e., emotions and moods attributed to robots) [8], enhance the perception of trustworthiness [2,9], and awake empathetic responses toward robots [7]. Moreover, a combination of robotic speech and movements can increase feelings of familiarity [7] and foster human-like interaction [10]. Therefore, robotic movement becomes an important factor in interaction, both from a functional perspective and social perspective [7].
In the context of service robots there have been developments of common gestures that could be applicable in different social scenarios (e.g., companies, hospitals and schools) [11]. Examples of the most common gestures used during interactions with humans are: deictic gestures (e.g., pointing) to establish the identity or spatial location of an object, semaphoric gestures which are meant to send a specific predetermined message (e.g., waving), and gesticulation gestures that naturally accompanies common speech [12].
The mechatronic implementation of all these movements requires the use of automatic control techniques that consider the complex dynamics and disturbances inherent in these systems [13,14]. The automatic control system of humanoid robots typically consists of numerous interconnected computers and microcontrollers operating at multiple levels, involving low-level control of actuators for navigation and joint movements and high-level control for global displacement. This architecture implies different challenges in relation to system interconnection, event synchronization, related control loops, and fault diagnosis, among others [15,16,17]. Specifically, the use of closed-loop control methodologies that consider the non-linear dynamics of the system at its different operating points is required [17,18,19]. In this sense, the coordinated movements entail having to make use of controllers capable of understanding the dynamic of these system and sampling periods that can be variable [20]. In this sense, a reliable way to simulate and implement advanced controllers is the use of mathematical models, e.g., model-based predictive control, adaptative control, [21,22].
Specifically, in some studies [23,24], linear control proposals were presented and allow generating trajectories but with limitations in movements and speed. In other studies [25,26], the authors proposed slide mode control for robot path tracking, first for a quadrocopter and then for controlling the torque in each joint of the robot in order that the angle coordinates of each link coincide with the desired values. In [19], a Backstepping control proposal is presented for a robotic arm with satisfactory results in trajectory tracking obtained in simulation.
At Pontificia Universidad Católica del Perú (PUCP), the Qhali robot is under development. Qhali is an assistance robot designed to perform telepsychological interventions. Its design considered a humanoid appearance with two (02) articulated 4DOF arms and one (01) 2DOF head with an LDC display. Both elements allow the robot to perform gesture expressions with arms and head movements, aiming to improve the human–robot interaction during the interventions. The robot also has a navigation system that allows it to move automatically from one point to another. To communicate verbally and non-verbally, the robot has audio and video systems to achieve the ability to express emotions, gestures and body language whose purpose is to improve human–robot interaction [27]. The robot appearance and expression features were validated through a behavioral experiment to assess the perceived valence and meaning of the gestures performed.
In this article, the design and implementation of the arms and head of Qhali are initially presented, then the mathematical model of two arms with 4DOF and the head with 2DOF will be obtained by applying the physical principles. It is verified that with the increase in equations for the different necessary operating points, a highly non-linear model is obtained.
Then, the control design for this highly non-linear system is selected from the comparison of three non-linear controllers, such as non-linear PD control, Backstepping and Sliding Mode control, validating the results in simulation. Once the controller has been selected, the controller is implemented in ARM microcontrollers communicated with each of the servomotors through the CAN BUS protocol. Moreover, programming methods are presented which allow the use of these microcontrollers for centralized control in real time. In the implementation, first the validation of the obtained mathematical model is carried out and the control algorithm will be developed in the external loop that sends the necessary torque references to each motor where there will be an internal PI control loop.
Finally, the validations of the control strategies are performed from a generation of spline and polynomial trajectories. These experiments are analyzed in real time, obtaining all the information to MATLAB through a serial communication protocol to the PC. The experimental results allow verifying the effectiveness of a purely non-linear controller such as Backstepping compared to a partially adapted linear controller such as PD control with gravity compensation. The results are documented and discussed with which we will be able to obtain the conclusions of the work developed. Finally, the programming of these controllers and the generation of trajectories improve the movements performed by the arms and the head of the robot.

2. Design and Implementation of Arms and Head

The design of the arms and head of the humanoid robot was performed following the methodology VDI 2206 [28] used for the design of mechatronics systems. The aim of this design was to provide the robot with articulated arms and head to express a humanoid appearance. Moreover, by adding a head and arms the human–robot interaction could improve, as described in other studies [29].

2.1. System Design

As a first step of the methodology, the design requirements were defined as shown in Table 1. For this design, the torque required in each articulation was estimated through the static analysis of the extended position. The speed range was defined according to the approximate speed of human arms while performing regular activities. The angular speed of each joint was measured in [30]. Finally, the proportion of human dimensions was according to the anthropometric profile of Peruvian population in [31], which is necessary because the validation tests of the robot will be performed in Peruvian health centers.
Following the design methodology, three (03) conceptual designs were developed and implemented to evaluate their performance. Figure 1 shows the three conceptual designs and their corresponding characteristics are as follows:
V1: four High torque servo motors, pulley and belt mechanism for 4th DOF, LED Matrix for eyes. V2: two High torque servo motors and two smaller, lower torque, pulley and belt mechanisms for 4th DOF, three small screens for eyes and mouth and V3: Joints directly driven by two high torque servo motors and two smaller, lower torque. Two screens for eyes and mouth.
Based on a technical-economical evaluation, the third alternative was selected as the optimal conceptual design due to its performance and simplicity. Using this design, the upper body of the robot was included to the mobile robot platform, including the external structure. Figure 2 shows the visual representation of the robot and the notation of each degree of freedom (for each motor) used in this article for the arms and head.

2.2. Domain-Specific Design

The electronic and mechanical design was carried out. The actuators for the arms were selected according to the torque requirements of each joint. The maximum torque was calculated through a static analysis at the critical position of a horizontally extended arm, as shown in Figure 3 using Equations (1) and (2). In these equations, W corresponds to the weight of each element, L corresponds to the distance between actuators and T corresponds to the torque on each actuator. The maximum torque values obtained were 2.1 Nm for motors 1 and 2 and 0.36 for motors 3 and 4.
T 4 = L 4 ( W m + W L 4 2 )
T i = T i + 1 + L i [ W m + W L i 2 + ( n = i + 1 4 W M n + W L n ) ]
According to the requirements, the PLA 3D-printed structural pieces were designed to support the motor loads and to be as lightweight as possible, making each arm of a total weight of 2.31 kg. The critical elements, which required an structural analysis due to the forces generated with motion, are located in the arms. A total of four (04) different pieces were required in order to assemble the arms and head, as shown in Figure 4. Each piece resistance and deformation were verified through finite element analysis on Autodesk Inventor obtaining a maximum deformation of 0.18 mm and minimum security factor of 6.15, as shown in Table 2. This analysis confirms that the designed pieces will not fail during the implementation of the robot.
The chest piece, which was also 3D printed and contains the electronic boards to control and power the arms and head. It includes an audio subsystem (mp3 module and amplifier) and three (03) STM microcontrollers to interconnect different CAN buses and UART ports for communication with the actuators and other processors of the robot. The main chest piece also supports the head and the first arm joints, and connects the column with the upper body of the robot. The head has two (02) actuators, where their axes are perpendicular to allow 2DOF. The head has speakers on both sides, as well as two (02) screens of 5 and 3.5 inches, to emulate facial expressions, connected to a raspberry pi 4. Figure 5 represents the hardware architecture of the robotic arms and head.

2.3. System Integration

Based on the specific-domain design, a prototype was implemented to continue with the control design for the arms. The final design of the robot arms and head possess the capacities to perform movements such as the ones represented in Figure 6 and Figure 7. Moreover, Table 3 details additional technical information of the implemented prototype based on the design previously described.

3. Kinematic and Dynamic Analysis

The modeling of mechanical systems is obtained from the physical relationships that govern movement such as gravity, inertia, and effects such as Coriolis and friction. All these motion parameters are mathematically related in the Lagrange equation, which can become very complicated as the degrees of freedom of the system are larger than two. In Fu et al. [24], we observed a recursive procedure to obtain the parameters of this equation from the homogeneous transforms that are formed with the respective kinematic analysis. This recursive algorithm can be implemented, for example, in MATLAB to solve the summations and obtain the final equation offline, using the results to the algorithm in real time for the nonlinear controller.

3.1. Kinematic Analysis

From the design of the prototype presented in Section 2, it is possible to find the parameters of the system such as distances, masses and inertia. It is necessary, at this point, to perform the motion analysis without considering the forces that cause it. In this way, the Denavit-Hartenberg procedure [14] is applied as shown in Figure 8 for the arms and head of the robot.
When carrying out this analysis we obtain the homogeneous transform matrix arrays (4 × 4), that provide us with the information of the translation and rotation of a specific point of the system. In addition, this analysis will allow applying the inverse kinematics that allows the linking of an X Y Z position in Cartesian space with its respective angular positions.

3.2. Dynamic Analysis

The application of the recursive algorithm explained in [24] gives us what is necessary to obtain the parameters of the robotic equation that will allow us to obtain the ideal torque τ ( t ) at each instant of time according to the following expression:
τ = D ( q t ) q ¨ ( t ) + h ( q ( t ) , q ˙ ( t ) ) + c ( q t ) + D f ,
where D ( q ( t ) ) is a 4 × 4 matrix called inertia matrix, h ( q ( t ) , q ˙ ( t ) ) and c ( q ( t ) ) are 4 × 1 matrixes called Coriolis matrix and gravity, respectively, and q ( t ) is the 4 × 1 matrix that contains the angular positions of the system, see the detail in the following expressions [24]:
D = d 11 d 12 d 13 d 14 d 21 d 22 d 23 d 24 d 31 d 32 d 33 d 34 d 41 d 42 d 43 d 44 H = h 12 h 22 h 23 h 42 C = c 12 c 22 c 23 c 42
On the other hand, D f is a 4 × 1 matrix that represents the frictions that occur in the system and that better resemble the mathematical model to the real system. There are various mathematical models to represent these frictions, one of these models is represented by the following expression:
D f = f v q ˙ + f c s i g n ( q ˙ )
where q ˙ is a 4 × 1 matrix representing the angular velocity, f v and f c are 4 × 4 diagonal matrixes with elements to be found from experimental tests. For the simulation of the designed controller, the values used for friction were those that best emulate the behavior of robotic systems. Later, these values will be found experimentally.
After obtaining all the system parameters of the robotic equation, several simulated tests have been performed to verify and validate the mathematical model found. In Figure 9, we can observe the response of the system for an initial condition different from the ZERO position of the arms.
This is how we can verify that the system obtained is stable. The procedure is similar for both arms. In this way, we obtain the mathematical models of the arms and even for the head, considering the latter as a 2 × 2 matrix system. These models will be used to design and implement the control system.

4. Non-Linear Control Design

The control architecture of the system is composed of a main controller in the external loop that has as references the position θ and the speed θ ˙ of each of the motors in vector arrays. The output of the controller will be the necessary torque τ that each motor will have to provide and they will have an internal torque regulation loop through a PI control and in this way guarantee that the desired results are obtained. Figure 10 shows the general scheme of the controllers to be designed for each extremity of the robot.
In the case of internal PI control for each motor, the controller provided by the motor through its own software will be used, to which tuning tests will be applied to establish the most appropriate proportional and integrative parameters for each degree of freedom. In the case of the external loop, there is a nonlinear control that has been selected based on simulation tests in MATLAB according to the mathematical model obtained. Below is the comparison of the controllers.

4.1. PD Control with Gravity Compensation (PD+G)

It is known that PID controllers are quite simple in their application to various systems since prior knowledge of the system is not required. In the case of robotic systems, applying an integrator could cause the control to limit the system to slower movements than required. A solution to this problem is to use a gravity compensator that provides the system with a variable bias in each move to obtain zero stationary error. The gravity compensator is added to the previous PD control law and forms a non-linear controller. It is possible to demonstrate the convergence of this controller if we apply the controller that has the following form:
τ = K p q ˜ K d q ˙ + G ( q )
where K p and K d > 0 R n x n are diagonal matrixes of proportional and derivative gains, respectively. Furthermore, the position error q ˜ is defined as follows:
q ˜ = q d q
Then replacing Equation (6) in the robotic equation, the following system is obtained:
D q ( t ) q ¨ ( t ) + h ( q ( t ) , q ˙ ( t ) ) = K p q ˜ K d q ˙
which can be represented in matrix form by:
d d t q ˜ q ˙ = q ˙ D q ( t ) 1 ( K p q ˜ K d q ˙ h ( q ( t ) , q ˙ ( t ) ) )
Considering the following expression as a Lyapunov function:
V ( q ˜ , q ˙ ) = 1 2 q ˙ T D q ( t ) q ˙ + 1 2 q ˜ T K p q ˜
Its time derivative:
V ˙ ( q ˜ , q ˙ ) = q ˙ T D q ( t ) q ¨ + 1 2 q ˙ T D ˙ q ( t ) q ˙ + q ˜ T K p q ˜ ˙
Furthermore, considering the properties of the matrixes of the robotic equation, the following result can be reached:
V ˙ ( q ˜ , q ˙ ) = q ˙ T K d q ˙ 0
With which it is verified that the origin is stable and using the Lasalle invariance principle, the global asymptotic stability can be demonstrated using the following omega function:
Ω = q ˜ T , q ˙ T R 2 n : V ˙ ( q ˜ , q ˙ ) = 0
Since for Ω it is true that V ˙ ( q ˜ , q ˙ ) = 0 if and only if q ˙ = 0 then q ¨ = 0 . From Equation (9) it follows that:
0 = D q ( t ) K p q ˜
Then q ˜ = 0 which ensures that V ˙ ( q ˜ , q ˙ ) < 0 for all q ˜ T , q ˙ T T 0 and in this way the global system is asymptotically stable.
Similarly, [14] shows methods for tuning this controller. One way is to do it by obtaining the mathematical model gravity matrix, from which the maximum eigenvalues of its gradient matrix are obtained. In this way, the following profit values have been chosen:
K p = d i a g { 5.4781 13.3128 2.226 21.3205 } K d = d i a g { 3.31 5.16 2.11 6.53 }

4.2. Backstepping Control (BC)

It is a controller based on the mathematical model of the system shown in Equation (3). Its main disadvantage is repeating the differentiation of virtual inputs, which increases the complexity of the controller [32]. The literature presents as solutions dynamic surface control based on the fractional order filter [33] and disturbance observer [34]. Another drawback of BC is that the system must be written in the strict feedback form [35], for which many solutions have been represented in the literature for avoiding this disadvantage such as a model-free back-stepping normal form and block back-stepping [35]. Some solutions developed are robust adaptive back-stepping control [36] and radial basis function neural network [37].
The efficiency of this controller lies mainly in the choice of a successful system model. This controller, as in other nonlinear controllers, bases its design on the stability and convergence criteria of the closed-loop system from Lyapunov functions. The procedure to find the control law starts from the remodeling of the robotic Equation (3) to a state space system of vector form as follows:
x 1 = q x 2 = x ˙ 1 = q ˙ x ˙ 2 = q ¨ = D ( q ( t ) ) 1 · ( τ h ( q ( t ) , q ˙ ( t ) ) c ( q ( t ) ) D f )
Then the state space equations would be:
x ˙ 1 = x 2 x ˙ 2 = D ( q ( t ) ) 1 · ( τ h ( q ( t ) , q ˙ ( t ) ) c ( q ( t ) ) D f ) = w
Please note that the variable w has been used to represent the entire expression of x ˙ 2 and considering the virtual control variable x 2 = v , is obtained:
x ˙ 1 = v
For this system, the first Lyapunov function and its following derivative are considered:
V 1 = 1 2 x 1 2 ; V 1 ( 0 ) = 0 ; V 1 ( x ) > 0 x 0 ; V ˙ 1 = x 1 x ˙ 1
To show that V ˙ 1 < 0 we must take v = K 1 x 1 where K 1 > 0 and replacing we obtain:
V ˙ 1 = K 1 x 1 2 K 1 > 0
Then the stability of the system must be demonstrated to ensure that our virtual variable complies with what is required. This new system is given by:
z = x 2 v lim x ( z ) = 0
From Equation (21) the following is obtained:
z = x 2 + K 1 x 1 x 2 = x ˙ 1 = z K 1 x 1
By deriving Equation (22) and considering the original system of Equation (17) and knowing that x ˙ 1 = x 2 , then results:
z = x 2 + K 1 x ˙ 1 z ˙ = w + K 1 x 2
By replacing Equation (22) in Equation (23), the final expression of the system to be analyzed is obtained:
z ˙ = w + K 1 ( z K 1 x 1 )
To achieve the stability of this system, the following Lyapunov function and its derivative are considered:
V = V 1 + 1 2 z 2 = 1 2 x 1 2 + 1 2 z 2 ; V ( x ) > 0 x 0 ; V ˙ = z z ˙ + x 1 x ˙ 1
To show that V ˙ < 0 , the results of Equations (23) and (24) are replaced in Equation (25) obtaining
V ˙ = x 1 ( z K 1 x 1 ) + z ( w + K 1 ( z K 1 x 1 ) )
Rearranging the last expression:
V ˙ = K 1 x 1 2 + z ( w + K 1 ( z K 1 x 1 ) + x 1 )
It is evident that to obtain that V ˙ < 0 it is only necessary to do the following:
w + K 1 ( z K 1 x 1 ) + x 1 = K 2 z K 2 > 0
In this way, it is obtained:
V ˙ = K 1 x 1 2 K 2 z 2
Thus, this last result allows us to prove that V ˙ < 0 and obtain that the system will be globally asymptotically stable.
From Equation (27), replacing w with its original expression given in Equation (17) and solving
D ( q ( t ) ) 1 ( τ h ( q ( t ) , q ˙ ( t ) ) c ( q ( t ) ) D f ) = ( K 1 + K 2 ) z + ( K 1 2 1 ) x 1
From equation Equation (22), z is replaced and rearranging the expression
D ( q ( t ) ) 1 ( τ h ( q ( t ) , q ˙ ( t ) ) c ( q ( t ) ) D f ) = ( K 1 K 2 + 1 ) x 1 ( K 1 + K 2 ) x 2
Then returning to the initial variables x 1 = q ; x 2 = q ˙ and isolating τ from the last expression:
τ = h ( q ( t ) , q ˙ ( t ) ) + c ( q ( t ) ) + D f D ( q ( t ) ) ( K 1 K 2 + 1 ) q D ( q ( t ) ) ( K 1 + K 2 ) q ˙
Since it has been shown that the system is globally asymptotically stable, it can be obtained for a desired q and q ˙ , the final expression of the control signal, q and q ˙ are the positions and angular velocities to be reached, respectively.
τ = h ( q ( t ) , q ˙ ( t ) ) + c ( q ( t ) ) + D f D ( q ( t ) ) ( K 1 K 2 + 1 ) ( q q ) D ( q ( t ) ) ( K 1 + K 2 ) ( q ˙ q ˙ )
This is how the Backstepping control signal to be applied to the system is obtained. This expression depends on the knowledge of the expression assigned to the mathematical model of the robotic model. Furthermore, the only condition for the gains K 1 , K 2 is that both are positive matrixes, so we have initially considered the following gains:
K p = d i a g { 10 10 10 10 } K d = d i a g { 10 10 5 5 }
During the experimental tests, it is observed that as the values of these gains increase, a faster stable system is still obtained, but the necessary τ will be greater, thus a limitation, during the implementation, for these gains will be the maximum capacity of each actuator to use.
With this procedure, the necessary torques are obtained so that the system can reach the requested points with the required speeds. An important advantage that could be observed is that the control law does not require the inverse matrix operator, which will be a great advantage when implementing it.

4.3. Sliding Mode Control (SMC)

The main objective of this nonlinear control is to position the system to the desired operating point using a sliding region. Once the operating point is reached, the control variable will initiate oscillations, known as Chattering, to maintain the operating point. These discontinuous changes are harmful to the actuator, to avoid this damage there are several methods.
The literature presents several solutions to overcome the chattering effect, such as the global high sliding mode controller with a continuous component [38], adaptation mechanism [39], extended state observer [40], chatter-free twofold sliding mode control [41], fuzzy logic [42] and saturation function [43].
In [26], a way to arrive at the SMC control law is shown from the analysis of a system of order “n”. In this work, this analysis is used for its application in a second order system that is the mathematical model found. This second order system can be represented by the following expression:
x ¨ = f ( x , t ) + u ( t )
Considering that the error is defined as follows:
e = x s e t x
where x s e t is the desired operating point, the following sliding region and its derivative are defined:
s = e ˙ + λ e ; s ˙ = e ¨ + λ e ˙
By replacing Equation (36) in Equation (37), the following expression is obtained:
s ˙ = x ¨ s e t x ¨ + λ ( x ˙ s e t x ˙ ) s ˙ = x ¨ s e t f ( x , t ) u ( t ) + λ ( x ˙ s e t x ˙ )
To demonstrate the stability of the system, the following Lyapunov function and its derivative are used:
V = 1 2 s 2 ; V ( x ) > 0 x 0 ; V ˙ = s s ˙
Based on the proposal of [26] where we select the following
s ˙ = K s i g n ( s ) K > 0
To obtain the following expression,
V ˙ = s ( K s i g n ( s ) ) = K ( s ) < 0
This shows that the system is globally asymptotically stable. Now, obtaining Equation (39) is only possible if u ( t ) is equal to the following:
u ( t ) = f ( x , t ) + x ¨ s e t + λ e + K s i g n ( s )
We obtain in this way the control law to use. It must be considered that the application of this last result must consider that the system is of dimension 4 × 1 and also as follows:
u ( t ) = τ ; Applied torque f ( x , t ) = D ( q ( t ) ) q ¨ ( t ) + h ( q ( t ) , q ˙ ( t ) ) + c ( q ( t ) ) + D f ; Mathematical model x ¨ s e t = q ¨ ; Desired acceleration e = q q ; Error
where λ and K are diagonal matrixes of dimension 4 × 4. Thus, the final control law is as follows:
τ = D ( q ( t ) ) q ¨ ( t ) h ( q ( t ) , q ˙ ( t ) ) c ( q ( t ) ) D f + q ¨ + λ e + K s i g n ( s )
The direct application of this control law produces chattering.
At this point, having both the system model and the SMC controller, a first simulation of the system is performed where saturation is not applied. In Figure 11, we can see the chattering produced by the controller without the use of saturation.
To avoid this condition, in [26] the change of the term K s i g n ( s ) of Equation (44) is proposed for the following saturation condition:
s ˙ 1 = K i s a t ( s i ) = K i s i g n ( s i ) i f | s i | > 0 K i s i d i f | s i | d
In this way, the parameters to be used in the SMC control are λ , K and d e l a y , where λ directly influences the speed with which the system reaches the desired operating point, K will be the allowed gain that the actuator will use to maintain the operating point and d e l a y is the parameter that will avoid the discontinuities of the sign function. The initial values for these parameters will be the following:
λ = d i a g { 3 3 3 3 } K = d i a g { 15 15 15 15 } d e l a y = d i a g { 1 1 1 0.1 }
Let us remember that as the saturation is greater, indeed, the oscillations of the actuator will be less significant, but the SMC control will be more sensitive to disturbances.

4.4. Comparison of the Proposed Controllers

With the three (03) controllers designed and implemented using the MATLAB simulation software, it is possible to perform the tests that facilitate the comparison and the necessary conclusions for the choice of the controller that will be implemented in hardware.
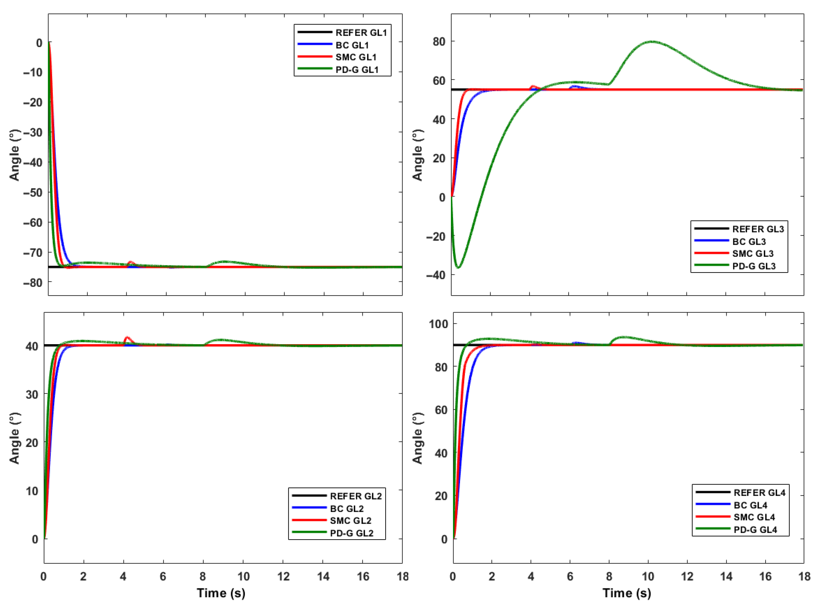
The first test is the comparison of the responses of each controller to a step input (SP: −75 ° , 40 ° , 55 ° , 90 ° ), then a steady-state torque disturbance has been added for each controller as shown in Figure 12.
A disturbance is observed of the same magnitude that has been applied at different times for each controller, with the SMC control being the one that requires the highest torque value to adequately regulate the requested position of each servomotor. Figure 13 shows the positions generated with this control variable applying a torque disturbance for SMC in 4 s, BC in 6 s and PD+G in 8 s.
We can appreciate that the regulation is faster for the BC and SMC, with the advantage that the Backstepping requests smoother torque changes than the Sliding Mode control. On the other hand, we see that the SMC is much faster and more robust to disturbances than the BC.
A second test performed on the proposed controllers is the application of a variable frequency input. For this case, the generation of trajectories have been developed through the parametric curve of the circumference. In this way we will be able to observe some advantages and deficiencies of each controller. In Figure 14, we can observe the movement with respect to a circumference.
In the first case, the circle can be completed in a time of 32 s; while, in the second case, the execution time is 3 s. In this way, we can see that the slower the movement, all the controllers can respond adequately to the tracking of trajectories, but it is at higher speeds where the effectiveness of purely non-linear controllers such as SMC and BC can be observed. In Figure 15, we can see this same comparison in a 3D plane at the angular frequency of 2.1 rad/s.
It is important to mention that, for the purposes of a better visualization of the simulations presented, it has been started at a point on the circumference and in this way avoid the initial position error that is easily overcome by SMC and BC, but not by the PD+G controller. At the end of the simulation tests, we can observe that the three controllers can achieve the requested requirements, but it is the PD controller with gravity compensation that could not be used due to its sensitivity to disturbances and its ineffectiveness when needed perform faster movements. Let us remember that the main application of the arm is not governed by the accuracy with which the movements are made, but by the degree of nature to which the movements are made, which in many cases is mostly determined by speed of motions.
A test to compare the efficiency of the proposed controllers can be performed from the generation of trajectories using third or fifth order polynomials [14], with which better position and velocity profiles can be provided to the movements to be performed. This generation of trajectories from polynomials will allow us to define routes for the movement of the arms, for which different Cartesian points are defined that the end effector of the arms must reach.
Table 4 summarizes the results found for the comparison of the three controllers based on the simulation results of the implementation of these polynomial trajectories.
As can observed in Table 4, the SMC controller has the best regulation and monitoring in closed-loop control. However, the comparison considers factors that may be decisive for the implementation of the algorithm in the hardware. Consequently, the BC is selected, which has results very close to the SMC controller and provides some important advantages for the implementation such as execution time and smoothness of actuator changes.
Thus, for the present work, the use of BC was agreed as the main controller for the movements to be performed by the arms and head of the robot.

5. Implementation

The arms and head of the robot are composed of an ARM microcontroller on a central STM32 development board for each limb and built-in GYEMS motors with CAN BUS protocol and a PI electronic controller for the torque to be regulated. In addition, each motor has a built-in encoder that provides the position and speed in real time, which allows obtaining the proposed control loops.
In the case of the STM32, it is an embedded 512 Kbyte 32-bit ARM Cortex-M microcontroller with two (02) CAN BUS ports for communication with the motors at each end of the robot and serial UART port for communication between all the ends of the ROBOT and the transmitted data to an analyzer such as MATLAB. To optimize the communication times of the CAN BUS protocol, it has been decided to use the two (02) CAN BUS ports of each STM32 card, connecting up to two (02) motors in each port. In this way, it has been possible to achieve a communication time of less than 20 ms. This time was used as the sampling time for the closed-loop controls. Figure 16 shows a scheme of the connections implemented.
The STM32 cards share a serial bus one after the other through the UART protocol where they receive the selection of the actions to be performed by the limbs from the central navigation system. An additional UART port has also been implemented in each STM32 for the output of data in real time that will be used for the presentation of the results obtained in the experiments performed using the MATLAB software.

5.1. Validation of the Mathematical Model

The next step in the implementation is to verify that the mathematical model of the system is correct. As mentioned, most of the model parameters have been obtained from the CAD design of the worked prototype. However, only heuristic values were used for the proposed friction model. In [44], an experimental method is presented to find all the coefficients related to frictions. The procedure starts from a PD controller with gravity compensation which will maintain a constant speed in the motors for a window of time where the average speed and torque can be obtained. This experiment is performed several times until a speed and torque map is obtained which, based on linear regressions, will allow us to obtain the required coefficients.
In this case, it was necessary to implement the PD controller with gravity compensation applied to a generation of trajectories with a trapezoidal profile that maintains constant speed. In Figure 17, it can be observed the velocity profile applied for the experimentation of frictions.
The algorithm applied for the non-linear control of one of the arms was the following Algorithm 1:
Algorithm 1 Non-Linear Controller Execution
  • Result: Torque signals to be applied by GYEMS motors
  • Each loop is timed per interruption at 10 ms
  • while do
  •     if “writing” is equal to 0 then
  •         Generate position and velocity profiles
  •         Compute control law and obtain torques in N/m
  •         Scale the torque signals from N/m to Amp
  •         Transform torques to communication CAN BUS signal
  •         Set “writing” to 1
  •     else
  •         Request position and speed information by CAN BUS
  •         Perform scaling of position and velocity signals
  •         Apply filter to the speed reference
  •         Set “writing” to 0
  •     end if
  •     
  • end while
This algorithm was the same as applied for the Backstepping controller for both the arms and the head. A first experiment was performed using only the PD controller applying gains obtained by the Ziegler-Nichols method for each motor and then with the PD controller with gravity compensator, obtaining the results shown in Figure 18 at step inputs.
Thus, we can see that gravity compensation solves the problem of the error in steady state and in this way, it is possible to apply it in with the generation of trajectories with trapezoidal profiles to obtain the frictions as can be seen in Figure 19.
In this way, we obtain in Figure 20 and Table 5, repeating the same experiment at different speeds and for each motor, the friction maps with the missing coefficients for the mathematical model.
At this point in the experiments, it can be observed that motors 1 and 2 maintain a very similar speed profile and the same for motors 3 and 4. This is because the first two motors are of the same GYEMS RMD motor model -X8 Pro with 6:1 reducer while motors 3 and 4 are GYEMS motors of the RMD L-70 model with lower torque capacity.

5.2. Backstepping Control Implementation

Now that we have all the parameters validated for the mathematical model and with the comparison tests performed in the design and simulation stage (according to the discussion in the previous section), backstepping control is implemented. To verify the effectiveness of the implemented control, a first test performed out with changes in angles with a step input and with a disturbance applied to the system. Figure 21 shows the tests carried out applying an external disturbance.
It is observed that the arm reaches the desired position, and seconds later an external force is applied that changes the position and the Backstepping algorithm is responsible, after the disturbance, for repositioning the arm to the requested position. In Figure 22, we can observe the simultaneous position of each motor of the left arm. These data are obtained through UART serial communication to MATLAB from the STM32.
When verifying the effectiveness of the Backstepping control in the regulation of the position, the generation of trajectories with trapezoidal profiles have been applied to take the wrist of the arm to a new different point in the cartesian space and return it to the ZERO position. This second test was performed by applying a disturbance during the resting state at the desired point of the movement. In Figure 23, it is possible to observe the movements executed by the arm. In this way, when applying a trajectory generation, it is observed that it is possible to control the way in which the arm can reach the desired reference, making a more natural movement in terms of speed, because the position and speed reference is being applied at the same time through the controller (see Figure 24).
In the same way as the first experiment, a better control can be observed for motors 1 and 2, which correspond to the motors with gearbox, which present better follow-up of the torque requested by the main Backstepping control, while in the case of motors 3 and 4, which do not have a reducer, the torque presents noise and therefore a more complicated follow-up, but still with regulation of position and speed. The disturbance applied in steady state also allows us to confirm that the regulation for all the motors of the arm is always achieved successfully.
By performing the experiment at another cartesian point, we are verifying a controller expansion in a workspace with a slight change in controller gains. This test is motivated to perform a new experiment for a different point but this time applying softer movements through the use of polynomial trajectories of degree three to the right arm. With this, a smoother movement of the arm could be observed to reach the desired point. Figure 25 and Figure 26 confirm these results because the requested torques are lower than the trapezoidal paths. It has been possible to verify the effectiveness of the Backstepping controller for both arms.
Additionally, the same control has been tested for the head system. In Figure 27, we can observe the assembled robot with a nod of the head (back and forth) directed by Backstepping control. Finally Figure 28 shows the generation of trapezoidal trajectories.

6. Discussion

With the design, implementation, and testing of the proposed control scheme, it has been possible to provide a basis for the technological development of nonlinear controllers for complex multivariable systems. In addition, the analysis of different controllers used in this work provides us with a comparative reference for its implementation to other types of mechanical systems.
As a result of the different experiments performed in the prototype of this project, it has been possible to verify the effectiveness of a purely non-linear controller such as Backstepping compared to a partially adapted linear controller such as PD control with gravity compensation. For this point, in addition to the results already presented, Table 6 shows a comparison of the gains of the controllers for the movements made by the left arm.
In the case of PD control with gravity compensation, it has been possible to observe that a minimum change in the values of the gains causes very different movement responses for the same conditions of the experiment, to the point of leading the system, in some cases, to instability. This further complicates the selection of gains for this controller which must change often depending on the desired motion. This allows us to think of an adaptive solution for the automatic change of these gains and in this way generalize the controller for a workspace.
In the case of the Backstepping control, the selected initial gains have been generalized for all the movements tested in the arm, having to make a minimum adjustment.
In this way, the present research is a starting point for the implementation of adaptive control laws or as a combination of the controllers used here with other controllers based on sliding modes and adaptive control.
The programming of these controllers and the generation of trajectories provide us with the necessary tools to improve the movements performed by the arms and the head of the robot, even currently working on a combination of the generation of trajectories implemented for the formation of movements. composed and brought to a stage where the robot performs a complex presentation of its functions as part of the robot’s social interaction routine with people.

7. Materials and Methods

The presented work performs the implemented tests of a Backstepping control for the arms and head of a teleoperated robot. The details of the movements made during the tests with the initial prototype are available to any researcher at the link specified in [7].

8. Conclusions

A control scheme for the tracking of trajectories and a profile of speeds that execute the movements of the arms and head of a robot with natural motion similar to people was presented. Thus, it was possible to demonstrate the effectiveness both in simulation and experimentation in real time. The control strategy used is based on the information provided by an encoder of the position and speed of each motor with internal torque regulation with PI control through the CAN BUS protocol to the central Backstepping control that ensures the positioning of the motors for both arms and head of the robot. The work presented also made a comparison of the main nonlinear controllers on which it has been possible to distinguish the Backstepping control as the most appropriate regulator for the implementation presented, as well as some additional features as a result of this comparison. During the development of the non-linear controller algorithm, a procedure was performed that allows real-time communication of up to four (04) GYEMS motors with a single STM32 microcontroller and additional simultaneous communication of three (03) STM32 microcontrollers with a central navigation system through serial protocols. The results obtained for each movement were satisfactory since the control objectives were achieved, obtaining a precise control system that allows the freedom to regulate the way in which the robot arms and head reach the points that the robot routine requires.
As future work, the Backsteeping control will be implemented to execute several routines, for which an automated calibration process will be developed to reduce the required time to optimize the parameters of the controller for different routines. Additionally, variations of the speed of the arms will be evaluated during the interaction with survey participants to determine the perception of the robot gestures based on their speed.

Author Contributions

All the authors contributed to the development of the experiments, the design, implementation, and the writing and review of the paper. Specifically, conceptualization, J.M.G.-Q. and G.P.-Z.; D.A., F.U., S.G., R.P. and G.P.-Z. of preparing the state of the art, J.M.G.-Q. and G.P.-Z. of the mathematical developments, J.M.G.-Q., F.U., D.A. were in charge of the experiments, review G.P.-Z., D.A. and F.C. and G.P.-Z. of the overall ideas of the exposed research and the general conception of the paper. All authors have read and agreed to the published version of the manuscript.

Funding

This work was financially supported by CONCYTEC – PROCIENCIA within the framework of the call E041 “Proyectos de Investigación Aplicada y Desarrollo Tecnológico” [contract N° 160-2020-FONDECYT].

Institutional Review Board Statement

Not applicable.

Informed Consent Statement

Not applicable.

Data Availability Statement

The data presented in this study is available on request from the corresponding author.

Acknowledgments

The authors wish to thank CONCYTEC - PROCIENCIA for providing the means and resources for this research and development.

Conflicts of Interest

The authors declare no conflict of interest.

References

  1. Marmpena, M.; Lim, A.; Dahl, T. How does the robot feel? Perception of valence and arousal in emotional body language. Paladyn J. Behav. Robot. 2018, 9, 168–182. [Google Scholar] [CrossRef]
  2. Xu, J.; Broekens, J.; Hindriks, K.; Neerincx, M.A. Mood contagion of robot body language in human robot interaction. Autonomous Agents and Multi-Agent Systems. Auton. Agents Multi-Agent Syst. 2015, 29, 1216–1248. [Google Scholar] [CrossRef]
  3. Kleinsmith, A.; Bianchi-Berthouze, N. Affective Body Expression Perception and Recognition: A Survey. IEEE Trans. Affect. Comput. 2013, 4, 15–33. [Google Scholar] [CrossRef]
  4. Fong, T.; Nourbakhsh, I.; Dautenhahn, K. A survey of socially interactive robots. Robot. Auton. Syst. 2003, 42, 143–166. [Google Scholar] [CrossRef]
  5. Patel, D. Body Language: An Effective Communication Tool. IUP J. Engl. Stud. 2014, 9. [Google Scholar]
  6. Shen, Z.; Elibol, A.; Chong, N. Understanding nonverbal communication cues of human personality traits in human-robot interaction. IEEE/CAA J. Autom. Sin. 2020, 7, 1465–1477. [Google Scholar] [CrossRef]
  7. Bang, G. Human-Telepresence Robot Proxemics Interaction: An Ethnographic Approach to Non-Verbal Communication. (Dissertation). Digit. Vetensk. Ark. 2018. Available online: http://urn.kb.se/resolve?urn=urn:nbn:se:uu:diva-347230 (accessed on 27 October 2022).
  8. Arce, D.; Jibaja, S.; Urbina, F.; Maura, C.; Huanca, D.; Paredes, R.; Cuellar, F.; Perez-Zuñiga, G. Design and preliminary validation of social assistive humanoid robot with gesture expression features for mental health treatment of isolated patients in hospitals. In Proceedings of the 14th International Conference Social Robotics, ICSR, Florence, Italy, 13–16 December 2022. [Google Scholar]
  9. Zabala, U.; Rodriguez, J.; Martinez-Otzeta, M.; Lazkano, E. Modeling and evaluating beat gestures for social robots. Multimed. Tools Appl. 2022, 81, 3421–3438. [Google Scholar] [CrossRef]
  10. Mann, J.; MacDonald, B.A.; Kuo, H.; Li, X.; Broadbent, E. People respond better to robots than computer tablets delivering healthcare instructions. Comput. Hum. Behav. 2015, 43, 112–117. [Google Scholar] [CrossRef]
  11. Sirithunge, C.; Porawagamage, G.; Dahn, N.; Jayasekara, A.G.; Chandima, D.P. Recognition of arm and body postures as social cues for proactive HRI. Paladyn J. Behav. Robot. 2021, 12, 503–522. [Google Scholar] [CrossRef]
  12. Karam, M. A taxonomy of Gestures in Human Computer Interaction. In ACM Transactions on Computer-Human Interactions; Technical Report; 2005; pp. 1–45. Available online: https://eprints.soton.ac.uk/261149/1/GestureTaxonomyJuly21.pdf (accessed on 27 October 2022).
  13. Kuffner, J.; Nishiwaki, K.; Kagami, S.; Inaba, M.; Inoue, H. Motion planning for humanoid robots. In Robotics Research; Springer: Berlin/Heidelberg, Germany, 2005; pp. 365–374. [Google Scholar]
  14. Spong, M.W.; Hutchinson, S.; Vidyasagar, M. Robot Modeling and Control; John Wiley & Sons: Hoboken, NJ, USA, 2020. [Google Scholar]
  15. Vásquez, J.; Perez-Zuñiga, G.; Muñoz, Y.; Ospino, A. Simultaneous occurrences and false-positives analysis in discrete event dynamic systems. J. Comput. Sci. 2020, 44, 101162. [Google Scholar] [CrossRef]
  16. Pérez-Zuniga, C.; Travé-Massuyes, L.; Chantery, E.; Sotomayor, J. Decentralized Diagnosis in a spacecraft attitude determination and control system. J. Phys. Conf. Ser. 2015, 659, 012054. [Google Scholar] [CrossRef]
  17. Batinica, A.; Raković, M.; Zarić, M.; Borovac, B.; Nikolić, M. Motion planning of a robot in real-time based on the general model of humanoid robots. In Proceedings of the 2016 IEEE 14th International Symposium on Intelligent Systems and Informatics (SISY), Subotica, Serbia, 29–31 August 2016; pp. 31–38. [Google Scholar] [CrossRef]
  18. Amer, A.F.; Sallam, E.A.; Elawady, W.M. Adaptive fuzzy sliding mode control using supervisory fuzzy control for 3 DOF planar robot manipulators. Appl. Soft Comput. 2011, 11, 4943–4953. [Google Scholar] [CrossRef]
  19. Qin, L.; Liu, F.; Liang, L. The application of adaptive backstepping sliding mode for hybrid humanoid robot arm trajectory tracking control. Adv. Mech. Eng. 2014, 6, 307985. [Google Scholar] [CrossRef]
  20. Griesing-Scheiwe, F.; Shardt, Y.A.; Perez-Zuniga, G.; Yang, X. Soft sensor design for variable time delay and variable sampling time. J. Process Control 2020, 92, 310–318. [Google Scholar] [CrossRef]
  21. Rivas-Perez, R.; Sotomayor-Moriano, J.; Perez-Zuñiga, C. Adaptive expert generalized predictive multivariable control of seawater RO desalination plant for a mineral processing facility. IFAC-PapersOnLine 2017, 50, 10244–10249. [Google Scholar] [CrossRef]
  22. Fenco, L.; Pérez-Zuñiga, G.; Quiroz, D.; Cuellar, F. Model Reference Adaptive Fuzzy Controller of a 6-DOF Autonomous Underwater Vehicle. In Proceedings of the OCEANS 2021 San Diego—Porto, Virtual Conference, 20–23 September 2005; pp. 1–7. [Google Scholar]
  23. Berghuis, H.; Nijmeijer, H. Global regulation of robots using only position measurements. Syst. Control Lett. 1993, 21, 289–295. [Google Scholar] [CrossRef]
  24. Fu, K.; Gonzales, K.; Lee, C. Dinámica del Brazo del Robot, en: Robótica, Control, Detección, Visión e Inteligencia; McGraw-Hill: New York, NY, USA, 1988. [Google Scholar]
  25. Huaman Loayza, A.; Pérez Zuñiga, C. Design of a fuzzy sliding mode controller for the autonomous path-following of a quadrotor. IEEE Lat. Am. Trans. 2019, 17, 962–971. [Google Scholar] [CrossRef]
  26. Nguyen, T. Sliding mode control-based system for the two-link robot arm. Int. J. Electr. Comput. Eng. 2019, 9, 2771. [Google Scholar] [CrossRef]
  27. Almeida, L.; Menezes, P.; Dias, J. Telepresence Social Robotics towards Co-Presence: A Review. Appl. Sci. 2022, 12, 5557. [Google Scholar] [CrossRef]
  28. Gausemier, J.; Moehringer, S. VDI 2206—A new guideline for the design of mechatronic systems. IFAC Proc. Vol. 2002, 35, 785–790. [Google Scholar] [CrossRef]
  29. Cavallo, F.; Esposito, R.; Limosani, R.; Manzi, A.; Bevilacqua, R.; Felici, E.; Di Nuovo, A.; Cangelosi, A.; Lattanzio, F.; Dario, P. Robotic Services Acceptance in Smart Environments With Older Adults: User Satisfaction and Acceptability Study. J. Med. Internet Res. 2018, 20, 264. [Google Scholar] [CrossRef]
  30. Rosen, J.; Perry, J.C.; Manning, N.; Burns, S.; Hannaford, B. The human arm kinematics and dynamics during daily activities—Toward a 7 DOF upper limb powered exoskeleton. In Proceedings of the International Conference on Advanced Robotics (ICAR), Seattle, WA, USA, 18–20 July 2005; pp. 532–539. [Google Scholar] [CrossRef]
  31. Escobar, C.M. Perfil antropométrico de trabajadores del Perú utilizando el método de escala proporcional. Ergon. Investig. Desarro. 2020, 2, 96–111. [Google Scholar]
  32. Meng, W.; Yang, Q.; Jagannathan, S.; Sun, Y. Distributed control of high-order nonlinear input constrained multiagent systems using a backstepping-free method. IEEE Trans. Cybern. 2018, 49, 3923–3933. [Google Scholar] [CrossRef] [PubMed]
  33. Ma, Z.; Ma, H. Adaptive fuzzy backstepping dynamic surface control of strict-feedback fractional-order uncertain nonlinear systems. IEEE Trans. Fuzzy Syst. 2019, 28, 122–133. [Google Scholar] [CrossRef]
  34. Wang, F.; Guo, Y.; Wang, K.; Zhang, Z.; Hua, C.; Zong, Q. Disturbance observer based robust backstepping control design of flexible air-breathing hypersonic vehicle. IET Control Theory Appl. 2019, 13, 572–583. [Google Scholar] [CrossRef]
  35. Huang, J.; Zhang, T.; Fan, Y.; Sun, J.Q. Control of rotary inverted pendulum using model-free backstepping technique. IEEE Access 2019, 7, 96965–96973. [Google Scholar] [CrossRef]
  36. El-Sousy, F.F.; El-Naggar, M.F.; Amin, M.; Abu-Siada, A.; Abuhasel, K.A. Robust adaptive neural-network backstepping control design for high-speed permanent-magnet synchronous motor drives: Theory and experiments. IEEE Access 2019, 7, 99327–99348. [Google Scholar] [CrossRef]
  37. Wang, C.; Liang, M. Adaptive backstepping control of a class of incommensurate fractional order nonlinear mimo systems with unknown disturbance. IEEE Access 2019, 7, 150949–150959. [Google Scholar] [CrossRef]
  38. Shi, S.; Xu, S.; Gu, J.; Min, H. Global high-order sliding mode controller design subject to mismatched terms: Application to buck converter. IEEE Trans. Circuits Syst. I Regul. Pap. 2019, 66, 4840–4849. [Google Scholar] [CrossRef]
  39. Baek, S.; Baek, J.; Han, S. An adaptive sliding mode control with effective switching gain tuning near the sliding surface. IEEE Access 2019, 7, 15563–15572. [Google Scholar] [CrossRef]
  40. Tang, Y.; Li, J.; Li, S.; Cao, Q.; Wu, Y. Non-linear extended state observer-based sliding mode control for a direct-driven wind energy conversion system with permanent magnet synchronous generator. J. Eng. 2019, 2019, 613–617. [Google Scholar] [CrossRef]
  41. Aghababa, M.P. Twofold sliding controller design for uncertain switched nonlinear systems. IEEE Trans. Syst. Man Cybern. Syst. 2019, 51, 1203–1214. [Google Scholar] [CrossRef]
  42. Hou, S.; Fei, J.; Chu, Y.; Chen, C. Experimental investigation of adaptive fuzzy global sliding mode control of single-phase shunt active power filters. IEEE Access 2019, 7, 64442–64449. [Google Scholar] [CrossRef]
  43. Zhang, H.; Hu, J.; Yu, X. Adaptive sliding mode fault-tolerant control for a class of uncertain systems with probabilistic random delays. IEEE Access 2019, 7, 64234–64246. [Google Scholar] [CrossRef]
  44. Rico, Z.P.; Lecchini-Visintini, A.; Quiroga, R.Q. Dynamic model of a 7-DOF Whole Arm Manipulator and validation from experimental data. In Proceedings of the 9th International Conference on Informatics in Control, Rome, Italy, 28–31 July 2012. [Google Scholar]
Figure 1. 3D model of three conceptual designs of the robotic arms and head.
Figure 1. 3D model of three conceptual designs of the robotic arms and head.
Sensors 23 00552 g001
Figure 2. Visual representation of the design of humanoid and notation of each degree of freedom.
Figure 2. Visual representation of the design of humanoid and notation of each degree of freedom.
Sensors 23 00552 g002
Figure 3. Free-body diagram of a horizontally extended arm.
Figure 3. Free-body diagram of a horizontally extended arm.
Sensors 23 00552 g003
Figure 4. Finite element analysis on Autodesk Inventor of 3D printed arm pieces.
Figure 4. Finite element analysis on Autodesk Inventor of 3D printed arm pieces.
Sensors 23 00552 g004
Figure 5. Hardware architecture of the robotic arms and head.
Figure 5. Hardware architecture of the robotic arms and head.
Sensors 23 00552 g005
Figure 6. Movement capabilities of the integrated system.
Figure 6. Movement capabilities of the integrated system.
Sensors 23 00552 g006
Figure 7. Movement of arms and head of the robot.
Figure 7. Movement of arms and head of the robot.
Sensors 23 00552 g007
Figure 8. Denavit-Hartenberg analysis of arms and head (a) Right arm D-H analysis with 4 DOF; (b) Head D-H analysis with 2 DOF; (c) D-H analysis of left arm with 4 DOF.
Figure 8. Denavit-Hartenberg analysis of arms and head (a) Right arm D-H analysis with 4 DOF; (b) Head D-H analysis with 2 DOF; (c) D-H analysis of left arm with 4 DOF.
Sensors 23 00552 g008
Figure 9. System response to different initial conditions: −60 ° , 45 ° , 30 ° , 60 ° .
Figure 9. System response to different initial conditions: −60 ° , 45 ° , 30 ° , 60 ° .
Sensors 23 00552 g009
Figure 10. Proposed control scheme for the movements of the teleoperated robot.
Figure 10. Proposed control scheme for the movements of the teleoperated robot.
Sensors 23 00552 g010
Figure 11. Chattering caused by the SMC control without saturation at 4 DOF of the robotic manipulator.
Figure 11. Chattering caused by the SMC control without saturation at 4 DOF of the robotic manipulator.
Sensors 23 00552 g011
Figure 12. Torques applied with the controllers proposed to the 4DDL of the manipulator.
Figure 12. Torques applied with the controllers proposed to the 4DDL of the manipulator.
Sensors 23 00552 g012
Figure 13. Positions of 4 manipulators applying a torque disturbance.
Figure 13. Positions of 4 manipulators applying a torque disturbance.
Sensors 23 00552 g013
Figure 14. Cartesian motion of the end effector at different freq. (a) w = 0.2 rad/s, (b) w = 2.1 rad/s.
Figure 14. Cartesian motion of the end effector at different freq. (a) w = 0.2 rad/s, (b) w = 2.1 rad/s.
Sensors 23 00552 g014
Figure 15. Comparison of controllers for the 3D movement of the end effector to w = 2.1 rad/s.
Figure 15. Comparison of controllers for the 3D movement of the end effector to w = 2.1 rad/s.
Sensors 23 00552 g015
Figure 16. Connection diagram for the system control.
Figure 16. Connection diagram for the system control.
Sensors 23 00552 g016
Figure 17. Speed profile applied to each motor from the STM32 card.
Figure 17. Speed profile applied to each motor from the STM32 card.
Sensors 23 00552 g017
Figure 18. Position regulation for the 4 DOF for left arm: (a) only PD; (b) PD with gravity compensation.
Figure 18. Position regulation for the 4 DOF for left arm: (a) only PD; (b) PD with gravity compensation.
Sensors 23 00552 g018
Figure 19. Position regulation with trapezoidal speed profile for the GL1 (motor 1) of the left arm.
Figure 19. Position regulation with trapezoidal speed profile for the GL1 (motor 1) of the left arm.
Sensors 23 00552 g019
Figure 20. Maps of speed vs. Friction of each motor in left arm.
Figure 20. Maps of speed vs. Friction of each motor in left arm.
Sensors 23 00552 g020
Figure 21. Frame of Left Arm positioned at [ −30 ° ; 30 ° ; 60 ° ; 30 ° ]. (a) ZERO position; (b) desired position; (c) applying an external disturbance; (d) post-disturbance position regulation; (e) final position.
Figure 21. Frame of Left Arm positioned at [ −30 ° ; 30 ° ; 60 ° ; 30 ° ]. (a) ZERO position; (b) desired position; (c) applying an external disturbance; (d) post-disturbance position regulation; (e) final position.
Sensors 23 00552 g021
Figure 22. Left arm position regulation with subsequent disturbance. (a) Motor 1 from 0 ° to −30 ° ; (b) Motor 2 from 0 ° to 30 ° ; (c) Motor 3 from 0 ° to 60 ° ; (d) Motor 4 from 0 ° to 30 ° .
Figure 22. Left arm position regulation with subsequent disturbance. (a) Motor 1 from 0 ° to −30 ° ; (b) Motor 2 from 0 ° to 30 ° ; (c) Motor 3 from 0 ° to 60 ° ; (d) Motor 4 from 0 ° to 30 ° .
Sensors 23 00552 g022
Figure 23. Frame of Left Arm positioned at [ −59 ° ; 18 ° ; 61 ° ; 97 ° ]. (a) ZERO position; (b) Desired position; (c) Applied disturbance; (d) post-disturbance position regulation; (e) Final position.
Figure 23. Frame of Left Arm positioned at [ −59 ° ; 18 ° ; 61 ° ; 97 ° ]. (a) ZERO position; (b) Desired position; (c) Applied disturbance; (d) post-disturbance position regulation; (e) Final position.
Sensors 23 00552 g023
Figure 24. Position and speed regulation with subsequent disturbance. (a) Motor 1 from 0 ° to −59 ° ; (b) Motor 2 from 0 ° to 18 ° ; (c) Motor 3 from 0 ° to 61 ° ; (d) Engine 4 from 0 ° to 97 ° .
Figure 24. Position and speed regulation with subsequent disturbance. (a) Motor 1 from 0 ° to −59 ° ; (b) Motor 2 from 0 ° to 18 ° ; (c) Motor 3 from 0 ° to 61 ° ; (d) Engine 4 from 0 ° to 97 ° .
Sensors 23 00552 g024
Figure 25. Movement frame of the right arm. (a) ZERO position; (b) desired position; (c) arm return to zero position; (d) final position.
Figure 25. Movement frame of the right arm. (a) ZERO position; (b) desired position; (c) arm return to zero position; (d) final position.
Sensors 23 00552 g025
Figure 26. Right arm movements by generating polynomial trajectories. (a) Motor 1 from 0 ° to −30 ° ; (b) Motor 2 from 0 ° to 30 ° ; (c) Motor 3 from 0 ° to 60 ° ; (d) Motor 4 from 0 ° to 25 ° .
Figure 26. Right arm movements by generating polynomial trajectories. (a) Motor 1 from 0 ° to −30 ° ; (b) Motor 2 from 0 ° to 30 ° ; (c) Motor 3 from 0 ° to 60 ° ; (d) Motor 4 from 0 ° to 25 ° .
Sensors 23 00552 g026
Figure 27. Nod of the robot head. (a) ZERO position; (b) Desired position [20 ° ; 30 ° ]; (c) Final position of the movement.
Figure 27. Nod of the robot head. (a) ZERO position; (b) Desired position [20 ° ; 30 ° ]; (c) Final position of the movement.
Sensors 23 00552 g027
Figure 28. Position, speed and torque of each motor of the teleoperator robot head. (a) Motor 1 from 0 ° to 30 ° ; (b) Motor 2 from 0 ° to 20 ° .
Figure 28. Position, speed and torque of each motor of the teleoperator robot head. (a) Motor 1 from 0 ° to 30 ° ; (b) Motor 2 from 0 ° to 20 ° .
Sensors 23 00552 g028
Table 1. Requirements for movable limbs design.
Table 1. Requirements for movable limbs design.
Design Requirements
Total weight5 kg
Torque at shoulder2.1 Nm (Flexion, extension)
2.1 Nm (Abduction)
0.36 Nm (Internal/external rotation)
Torque at elbow0.36 Nm (Flexion)
Joint speed range≈50–150 deg/s
System Autonomy1 h
Human dimensions≈33.3 cm shoulder—elbow
(proportional to a≈29 cm elbow—knuckles
1.65 m female)≈7.3 cm shoulder—chin
Table 2. Values of Finite element analysis on Autodesk Inventor of 3D printed arm pieces.
Table 2. Values of Finite element analysis on Autodesk Inventor of 3D printed arm pieces.
Von Mises Stress (MPa)Displacement (mm)Security Factor
MinMaxMinMaxMinMax
Shoulder 1033.600.15956.1515
Shoulder 2037.6400.054557.7415
Arm023.8100.12968.6915
Forearm019.400.180110.6715
Table 3. Technical information of the prototype of the robot arms and head.
Table 3. Technical information of the prototype of the robot arms and head.
Technical Information
ControllersSTM32F446ZE x3
CommunicationCAN, UART
Head outputImage, audio
Power8.5 W
Motor operation Voltage24 V
Control operation Voltage5 V
Current consumption1.2 A
System Autonomy1 h
Table 4. Comparison of nonlinear controllers against polynomial trajectories.
Table 4. Comparison of nonlinear controllers against polynomial trajectories.
PD + GBacksteppingSMC
Circular path error15.93%3.63%3.23%
Path error polynomial8.0307%2.1541%2.0206%
Execution time6.7 s7.6 s10.8 s
Disturbance controlaverageHighHigh
Setpoint changesaverageHighHigh
Feedback variablesPos,velPos,velPos,vel,Acc
Smooth actuator changesYesYesNo
Table 5. Table of friction coefficients for each motor on the left arm.
Table 5. Table of friction coefficients for each motor on the left arm.
V+/V− V+/V−
ananbnbn
0.41060.40210.1842−0.1742
0.39240.38340.2044−0.3631
0.01460.01410.0076−0.0007
0.01730.0110.0037−0.0074
Table 6. Gain values for the nonlinear controllers in different movements of the left arm.
Table 6. Gain values for the nonlinear controllers in different movements of the left arm.
PD Control with GravityBackstepping Control
StepSplinePolinomialStepSplinePolinomial
Kp115.29.63.2151515
Kp225.110.33.4151715
Kp330.50.870.22120118120
Kp440.350.950.19120120120
Kv111.12.20.66138
Kv221.20.190.46104
Kv330.040.070.05642
Kv440.060.090.06564
Disclaimer/Publisher’s Note: The statements, opinions and data contained in all publications are solely those of the individual author(s) and contributor(s) and not of MDPI and/or the editor(s). MDPI and/or the editor(s) disclaim responsibility for any injury to people or property resulting from any ideas, methods, instructions or products referred to in the content.

Share and Cite

MDPI and ACS Style

Gomez-Quispe, J.M.; Pérez-Zuñiga, G.; Arce, D.; Urbina, F.; Gibaja, S.; Paredes, R.; Cuellar, F. Non Linear Control System for Humanoid Robot to Perform Body Language Movements. Sensors 2023, 23, 552. https://doi.org/10.3390/s23010552

AMA Style

Gomez-Quispe JM, Pérez-Zuñiga G, Arce D, Urbina F, Gibaja S, Paredes R, Cuellar F. Non Linear Control System for Humanoid Robot to Perform Body Language Movements. Sensors. 2023; 23(1):552. https://doi.org/10.3390/s23010552

Chicago/Turabian Style

Gomez-Quispe, Juan Manuel, Gustavo Pérez-Zuñiga, Diego Arce, Fiorella Urbina, Sareli Gibaja, Renato Paredes, and Francisco Cuellar. 2023. "Non Linear Control System for Humanoid Robot to Perform Body Language Movements" Sensors 23, no. 1: 552. https://doi.org/10.3390/s23010552

APA Style

Gomez-Quispe, J. M., Pérez-Zuñiga, G., Arce, D., Urbina, F., Gibaja, S., Paredes, R., & Cuellar, F. (2023). Non Linear Control System for Humanoid Robot to Perform Body Language Movements. Sensors, 23(1), 552. https://doi.org/10.3390/s23010552

Note that from the first issue of 2016, this journal uses article numbers instead of page numbers. See further details here.

Article Metrics

Back to TopTop