A Study on Dynamic Motion Planning for Autonomous Vehicles Based on Nonlinear Vehicle Model
Abstract
1. Introduction
2. Modeling of the Vehicle System
2.1. Takagi–Sugeno Fuzzy Model
- (1)
- The vertical, roll, and pitch motion is ignored;
- (2)
- The braking and steering dynamic are approximated to a linear first-order system;
- (3)
- The influence of suspension on tire axle is ignored [21]. The nonlinear model used in our work to represent the vehicle’s dynamics is of the general form as follows:where vx, vy, and ψ represent the longitudinal speed, lateral speed, and yaw angle, respectively; m represents the total mass of the vehicle; Iz is the yaw inertia; lf and lr the distance from the front axle and the rear axle to the center of gravity, respectively; cx and cy are the air resistance coefficients of longitudinal movement and lateral movement, respectively; fr represents rolling resistance coefficient; kf and kr are the stiffness of front and rear tires, respectively; τ(Δx), τ(Δy), and τ(Δψ) represent the external disturbances and uncertainties caused by time-varying parameters and unmodeled dynamics; Tz and Ta are the first-order hysteretic quantities of the relevant control output reference quantities; δc is the control input of steering angle; ac is the acceleration control input of vehicle body; δ is the actual steering angle of the vehicle; a is the actual longitudinal acceleration of the vehicle body, and the input signal constraints arewhere amin and amax are the maximum and minimum acceleration of vehicle body, respectively; δmax represents the maximum steering angle of vehicle; and represents the maximum slew rate for steering.
2.2. State Observer
3. Control System Design
3.1. Takagi–Sugeno Fuzzy-Model-Based Path Planner
- 1.
- Generate a random pot qrand;
- 2.
- Find the node qnearest to qrand on the tree;
- 3.
- Connect qrand and qnearest;
- 4.
- Search for nodes on the tree with qrand as the center and rc as the radius;
- 5.
- Find out the potential set of parent nodes qparent_potential. The purpose is to update qrand to find if there are any better parent nodes;
- 6.
- Start to evaluate a random note of potential parent qparent_potential;
- 7.
- Calculate the cost of qparent_potential as a parent node;
- 8.
- Before the detection of collision, connect qparent_potential with qchild (that is, qrand) first;
- 9.
- Calculate the cost of this path Ω(t), t ∈ [t1, t2];
- 10.
- Compare the cost of the new path to the cost of the original path. If the cost of the new path is less, conduct the collision detection on it, or it should be replaced by the next potential parent node;
- 11.
- Collision detection failed, the qparent_potential is not a new parent;
- 12.
- Start to evaluate the next potential parent;
- 13.
- Connect potential parent nodes to qchild;
- 14.
- Calculate the cost of this path Ω(t), t ∈ [t3, t4];
- 15.
- Again, compare the cost of the new path to the cost of the original path. If the cost of the new path is less, conduct the collision detection on it, or it should be replaced by the next potential parent node;
- 16.
- Collision detection passed;
- 17.
- Delete the previous edge in the tree;
- 18.
- Add the new edge in the tree, and make qparent_potential as qparent.
- 1.
- Open the re-planning program;
- 2.
- Update the current vehicle T–S fuzzy states xTS(t0);
- 3.
- Update the environmental constraints Γfeasible (t) from the obstacle configuration space;
- 4.
- Apply the state observer to propagate the states by a computational time step Δt and obtain xTS(t0 + Δt);
- 5.
- Conduct the random tree exploring process;
- 6.
- Until calculation time limit Δt is reached;
- 7.
- If no such sequence exists, then send emergency stop to controller and return to step 2;
- 8.
- End if;
- 9.
- Choose the best safe node sequence in the tree;
- 10.
- Re-propagate the latest T–S fuzzy state xTS(t0 + Δt) using the Ω(t) with the best node sequence, and then obtain x(t);
- 11.
- If xTS(t)∈Γfeasible(t), then send the best potential path Ω(t) to the controller;
- 12.
- If anything else, delete the previous infeasible path in the tree and return step 9;
- 13.
- End if;
- 14.
- Until the vehicle reaches goal.
3.2. Trajectory Controller Design
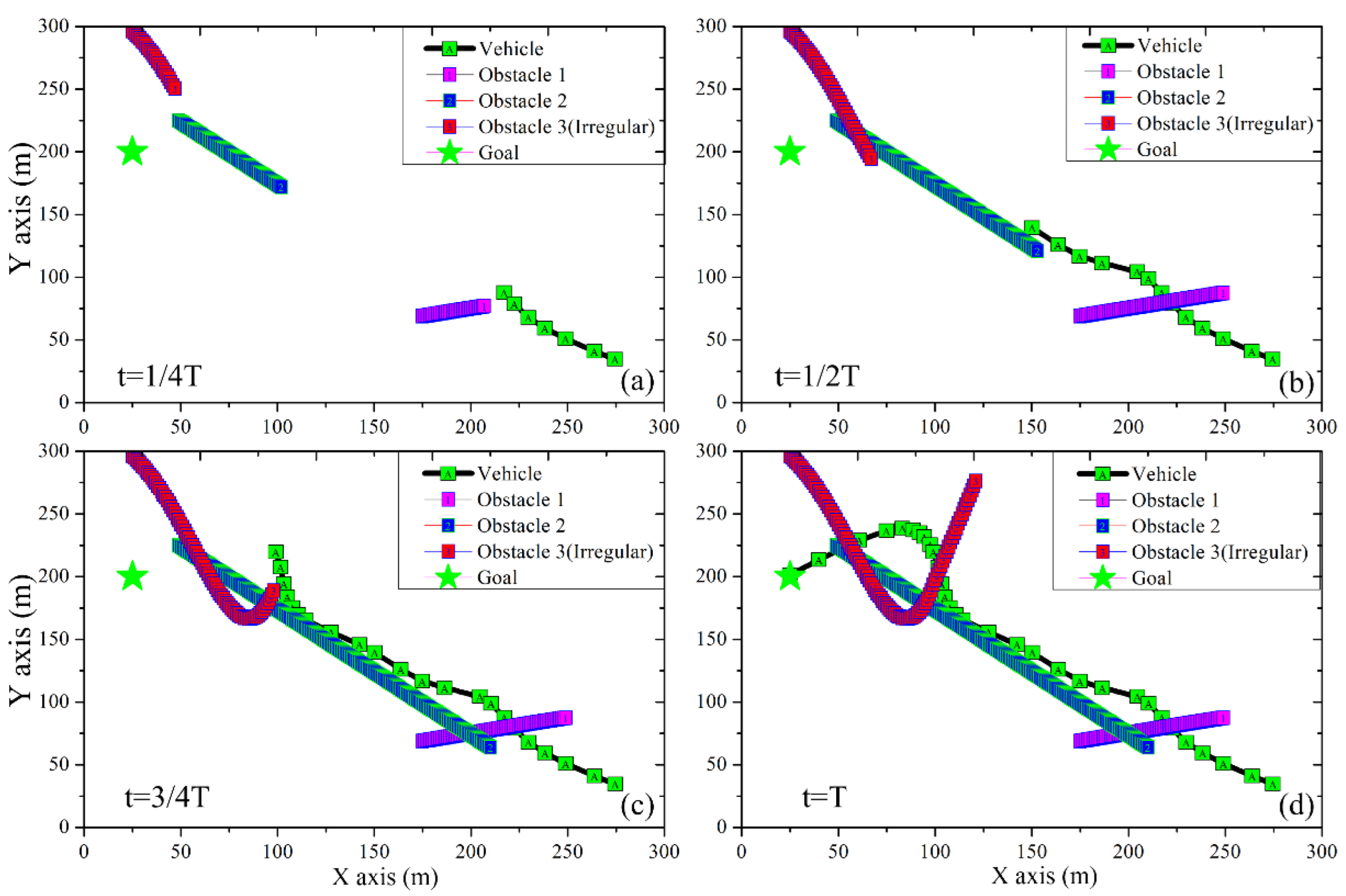
4. Numerical Evaluation
5. Conclusions
Author Contributions
Funding
Institutional Review Board Statement
Informed Consent Statement
Data Availability Statement
Conflicts of Interest
References
- Mohammadzadeh, A.; Taghavifar, H. A novel adaptive control approach for path tracking control of autonomous vehicles subject to uncertain dynamics. Proc. Inst. Mech. Eng. Part D J. Automob. Eng. 2020, 234, 2115–2126. [Google Scholar] [CrossRef]
- Matveev, A.S.; Hoy, M.; Katupitiya, J.; Savkin, A.V. Nonlinear sliding mode control of an unmanned agricultural tractor in the presence of sliding and control saturation. Robot. Auton. Syst. 2013, 61, 973–987. [Google Scholar] [CrossRef]
- Yao, J.; Ge, Z. Path-Tracking Control Strategy of Unmanned Vehicle Based on DDPG Algorithm. Sensors 2022, 22, 7881. [Google Scholar] [CrossRef] [PubMed]
- Pepy, R.; Lambert, A.; Mounier, H. Reducing navigation errors by planning with realistic vehicle model. In Proceedings of the IEEE Intelligent Vehicles Symposium, Tokyo, Japan, 13–15 June 2006; pp. 300–307. [Google Scholar]
- Pepy, R.; Lambert, A.; Mounier, H. Path planning using a dynamic vehicle model. In Proceedings of the 2006 2nd International Conference on Information & Communication Technologies, Berkeley, CA, USA, 25–26 May 2006; pp. 781–786. [Google Scholar]
- Yang, S.; Wang, Z.; Zhang, H. Kinematic model based real-time path planning method with guide line for autonomous vehicle. In Proceedings of the 2017 36th Chinese Control Conference (CCC), Dalian, China, 26–28 July 2017; pp. 990–994. [Google Scholar]
- Park, C.; Pan, J.; Manocha, D. ITOMP: Incremental trajectory optimization for real-time replanning in dynamic environments. In Proceedings of the Twenty-Second International Conference on Automated Planning and Scheduling, Atibaia, Sao Paulo Brazil, 25–29 June 2012. [Google Scholar]
- Bouraine, S.; Fraichard, T.; Salhi, H. Provably safe navigation for mobile robots with limited field-of-views in dynamic environments. Auton. Robot. 2012, 32, 267–283. [Google Scholar] [CrossRef]
- Xiong, K.; Hua, H. Path plan for mobile robot under dynamic environment based on the actual membership function. Bull. Sci. Technol. 2015, 31, 168–173. [Google Scholar]
- ChaborAlwawi, B.K.; Roth, H.; Kazem, B.I.; Abdullah, M.W. Mobile robot motion planning and multi objective optimization using improved approach. Int. J. Mech. Eng. Robot. Res. 2015, 4, 325–330. [Google Scholar] [CrossRef]
- Chen, C.; He, Y.; Bu, C.; Han, J. Feasible trajectory generation for autonomous vehicles based on quartic bezier curve. Acta Autom. Sin. 2015, 44, 486–496. [Google Scholar]
- Shiller, Z.; Gwo, Y. Dynamic motion planning of autonomous vehicles. IEEE Trans. Robot. Autom. 1991, 7, 241–249. [Google Scholar] [CrossRef]
- LaValle, S.; Kuffner, J.; Donald, B. Algorithmic and Computational Robotics: New Directions 2000 WAFR, 1st ed.; A K Peters/CRC Press: Boca Raton, FL, USA, 2001. [Google Scholar]
- Zucker, M.; Kuffner, J.; Branicky, M. Multipartite RRTs for rapid replanning in dynamic environments. In Proceedings of the 2007 IEEE International Conference on Robotics and Automation, Roma, Italy, 10–14 April 2007; pp. 1603–1609. [Google Scholar]
- Branicky, M.; LaValle, S.; Olson, K. Quasi-randomized path planning. In Proceedings of the 2001 ICRA IEEE International Conference on Robotics and Automation, Seoul, Korea, 21–26 May 2003; pp. 1481–1487. [Google Scholar]
- An, Z.; Hao, L.; Liu, Y.; Dai, L. Development of mobile robot SLAM based on ROS. Int. J. Mech. Eng. Robot. Res. 2016, 5, 47–51. [Google Scholar] [CrossRef]
- Widhiada, W.; Nindhia, T.; Budiarsa, N. Robust control for the motion five fingered robot gripper. Int. J. Mech. Eng. Robot. Res. 2015, 4, 226–232. [Google Scholar] [CrossRef]
- Frazzoli, E.; Dahleh, M.; Feron, E. Real-time motion planning for agile autonomous vehicles. J. Guid. Control. Dyn. 2002, 25, 116–129. [Google Scholar] [CrossRef]
- Kuwata, Y.; Teo, J.; Fiore, G.; Karaman, S.; Frazzoli, E.; How, J. Real-time motion planning with applications to autonomous urban driving. IEEE Trans. Control. Syst. Technol. 2009, 17, 1105–1118. [Google Scholar] [CrossRef]
- Tang, X.; Du, H.; Sun, S.; Ning, D.; Xing, Z.; Li, W. Takagi-Sugeno fuzzy control for semi-active vehicle suspension with a magnetorheological damper and experimental validation. IEEE/ASME Trans. Mechatron. 2016, 22, 291–300. [Google Scholar] [CrossRef]
- Guo, J.; Li, K.; Luo, Y. Coordinated control of autonomous four wheel drive electric vehicles for platooning and trajectory tracking using a hierarchical architecture. J. Dyn. Syst. Meas. Control 2015, 137, 101001. [Google Scholar] [CrossRef]
- Stentz, A. Optimal and efficient path planning for partially known environments. In Intelligent Unmanned Ground Vehicles; Springer: Boston, MA, USA, 1997; pp. 203–220. [Google Scholar]
- Petti, S.; Fraichard, T. Safe motion planning in dynamic environments. In Proceedings of the 2005 IEEE/RSJ International Conference on Intelligent Robots and Systems, Edmonton, AB, Canada, 2–6 August 2005; pp. 2210–2215. [Google Scholar]
- Boada, B.; Boada, M.; Díaz, V. Fuzzy-logic applied to yaw moment control for vehicle stability. Veh. Syst. Dyn. 2005, 43, 753–770. [Google Scholar] [CrossRef]







| Parameter | Value | Parameter | Value |
|---|---|---|---|
| δmax | 0.539 rad | m | 1589 kg |
| 0.331 rad/s | Iz | 36,918 kg·m2 | |
| amin | −8.2 m/s2 | lf | 1.38 m |
| amax | 3.8 m/s2 | lr | 1.67 m |
| Ta | 0.35 s | kf | 379 kN/m |
| Tz | 0.35 s | kr | 388 kN/m |
| Strategy | APF Algorithm | Traditional RRT | TS-RRT |
|---|---|---|---|
| Trajectory distance | 338.30 m | 325.93 m | 304.23 m |
| Time consumption | 24.09 s | 25.11 s | 21.38 s |
| Average vehicle speed | 14.04 m/s | 12.98 m/s | 14.23 m/s |
| Strategy | Traditional RRT | TS-RRT |
|---|---|---|
| Potential trajectory | 86 | 112 |
| Total propagation | 11,408 | 14,253 |
| Time cost | 11.85 s | 10.24 s |
| Propagation/cycle | 310 | 402 |
| Time cost/cycle | 0.32 s | 0.29 s |
Disclaimer/Publisher’s Note: The statements, opinions and data contained in all publications are solely those of the individual author(s) and contributor(s) and not of MDPI and/or the editor(s). MDPI and/or the editor(s) disclaim responsibility for any injury to people or property resulting from any ideas, methods, instructions or products referred to in the content. |
© 2022 by the authors. Licensee MDPI, Basel, Switzerland. This article is an open access article distributed under the terms and conditions of the Creative Commons Attribution (CC BY) license (https://creativecommons.org/licenses/by/4.0/).
Share and Cite
Tang, X.; Li, B.; Du, H. A Study on Dynamic Motion Planning for Autonomous Vehicles Based on Nonlinear Vehicle Model. Sensors 2023, 23, 443. https://doi.org/10.3390/s23010443
Tang X, Li B, Du H. A Study on Dynamic Motion Planning for Autonomous Vehicles Based on Nonlinear Vehicle Model. Sensors. 2023; 23(1):443. https://doi.org/10.3390/s23010443
Chicago/Turabian StyleTang, Xin, Boyuan Li, and Haiping Du. 2023. "A Study on Dynamic Motion Planning for Autonomous Vehicles Based on Nonlinear Vehicle Model" Sensors 23, no. 1: 443. https://doi.org/10.3390/s23010443
APA StyleTang, X., Li, B., & Du, H. (2023). A Study on Dynamic Motion Planning for Autonomous Vehicles Based on Nonlinear Vehicle Model. Sensors, 23(1), 443. https://doi.org/10.3390/s23010443

