Automated Bowel Sound and Motility Analysis with CNN Using a Smartphone
Abstract
1. Introduction
2. Materials and Methods
2.1. Data Collection
2.2. Data Analysis
2.3. Non-BS Characterization
2.4. CNN Model Design
2.5. CNN Model Setup
2.6. Model Evaluation
2.7. SSI Correlation Analysis
2.8. Software
2.9. Statistical Analysis
3. Results
3.1. BSs Can Be Recorded Using a Smartphone Microphone
3.2. Experimental Results
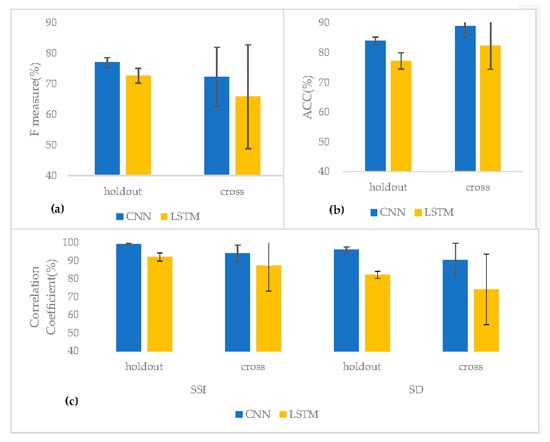
3.2.1. Holdout Evaluation Results
3.2.2. Cross Validation Results
3.2.3. SSI Classification and Correlation Results
4. Discussion
5. Conclusions
Supplementary Materials
Author Contributions
Funding
Institutional Review Board Statement
Informed Consent Statement
Data Availability Statement
Acknowledgments
Conflicts of Interest
References
- Ng, S.C.; Shi, H.Y.; Hamidi, N.; Underwood, F.E.; Tang, W.; Benchimol, E.I.; Panaccione, R.; Ghosh, S.; Wu, J.C.Y.; Chan, F.K.L.; et al. Worldwide incidence and prevalence of inflammatory bowel disease in the 21st century: A systematic review of population-based studies. Lancet 2017, 390, 2769–2778. [Google Scholar] [CrossRef] [PubMed]
- Tomomasa, T.; Morikawa, A.; Sandler, R.H.; Mansy, H.A.; Koneko, H.; Masahiko, T.; Hyman, P.E.; Itoh, Z. Gastrointestinal sounds and migrating motor complex in fasted humans. Am. J. Gastroenterol. 1999, 94, 374–381. [Google Scholar] [CrossRef] [PubMed]
- Namikawa, T.; Yamaguchi, S.; Fujisawa, K.; Ogawa, M.; Iwabu, J.; Munekage, M.; Uemura, S.; Maeda, H.; Kitagawa, H.; Kobayashi, M.; et al. Real-time bowel sound analysis using newly developed device in patients undergoing gastric surgery for gastric tumor. JGH Open 2021, 5, 454–458. [Google Scholar] [CrossRef] [PubMed]
- Craine, B.L.; Silpa, M.; O’Toole, C.J. Computerized auscultation applied to irritable bowel syndrome. Dig. Dis. Sci. 1999, 44, 1887–1892. [Google Scholar] [CrossRef] [PubMed]
- Craine, B.L.; Silpa, M.; O’Toole, C.J. Enterotachogram analysis to distinguish irritable bowel syndrome from Crohn’s disease. Dig. Dis. Sci. 2001, 46, 1974–1979. [Google Scholar] [CrossRef]
- Sato, R.; Emoto, T.; Gojima, Y.; Akutagawa, M. Automatic bowel motility evaluation technique for noncontact sound recordings. Appl. Sci. 2018, 8, 999. [Google Scholar] [CrossRef]
- Wang, N.; Testa, A.; Marshall, B.J. Development of a bowel sound detector adapted to demonstrate the effect of food intake. Biomed. Eng. 2022, 21, 1. [Google Scholar] [CrossRef]
- Zhao, K.; Jiang, H.; Wang, Z.; Chen, P.; Zhu, B.; Duan, X. Long-term bowel sound monitoring and segmentation by wearable devices and convolutional neural networks. IEEE Trans. Biomed. Circuits Syst. 2020, 14, 985–996. [Google Scholar] [CrossRef]
- Ficek, J.; Radzikowski, K.; Nowak, J.K.; Yoshie, O.; Walkowiak, J.; Nowak, R. Analysis of gastrointestinal acoustic activity using deep neural networks. Sensors 2021, 21, 7602. [Google Scholar] [CrossRef]
- Du, X.; Allwood, G.; Webberley, K.M.; Osseiran, A.; Marshall, B.J. Bowel sounds identification and migrating motor complex detection with low-cost piezoelectric acoustic sensing device. Sensors 2018, 18, 4240. [Google Scholar] [CrossRef]
- Sakata, O.; Suzuki, Y. Optimum Unit Time on Calculating Occurrence Frequency of Bowel Sounds for Real-Time Monitoring of Bowel Peristalsis. Int. J. Signal Process. Syst. 2016, 4, 465–468. [Google Scholar] [CrossRef]
- Nowak, J.K.; Nowak, R.; Radzikowski, K.; Grulkowski, I.; Walkowiak, J. Automated bowel sound analysis: An overview. Sensors 2021, 21, 5294. [Google Scholar] [CrossRef]
- Kim, D.H.; Kim, S.W.; Hwang, S.H. Diagnostic value of smartphone in obstructive sleep apnea syndrome: A systematic review and meta-analysis. PLoS ONE 2022, 17, e0268585. [Google Scholar] [CrossRef]
- Peruzzi, G.; Galli, A.; Pozzebon, A. A Novel Methodology to Remotely and Early Diagnose Sleep Bruxism by Leveraging on Audio Signals and Embedded Machine Learning. In Proceedings of the 2022 IEEE International Symposium on Measurements & Networking (M&N), Padua, Italy, 18–20 July 2022. [Google Scholar] [CrossRef]
- Hemdan, E.E.; El-Shafai, W.; Sayed, A. CR19: A framework for preliminary detection of COVID-19 in cough audio signals using machine learning algorithms for automated medical diagnosis applications. J. Ambient. Intell. Humaniz. Comput. 2022, 1, 1–13. [Google Scholar] [CrossRef]
- Gjoreski, M.; Gradisek, A.; Budna, B.; Gams, M.; Poglajen, G. Machine learning and end-to-end deep learning for the detection of chronic heart failure from heart sounds. IEEE Access 2020, 8, 20313–20324. [Google Scholar] [CrossRef]
- Audacity® Software Is Copyright. The Name Audacity. Available online: https://audacityteam.org/ (accessed on 20 February 2021).
- Yin, Y.; Jiang, H.; Feng, S.; Liu, J.; Chen, P.; Zhu, B.; Wang, Z. Bowel sound recognition using SVM classification in a wearable health monitoring system. Sci. China Inf. Sci. 2018, 61, 222–224. [Google Scholar] [CrossRef]
- Liu, J.; Yin, Y.; Jiang, H.; Kan, H.; Zhang, Z.; Chen, P.; Zhu, B.; Wang, Z. Bowel sound detection based on MFCC feature and LSTM neural network. In Proceedings of the Biomed Circuits System Conference, Cleveland, OH, USA, 17–19 October 2018; 2018; pp. 1–4. [Google Scholar] [CrossRef]
- Hochreiter, S.; Schmidhuber, J. Long short-term memory. Neural Comput. 1997, 9, 1735–1780. [Google Scholar] [CrossRef] [PubMed]
- FFmpeg. FFmpeg Documentation. Available online: https://ffmpeg.org/documentation.html (accessed on 18 December 2020).
- Inderjeeth, A.J.; Webberley, K.M.; Muir, J.; Marshall, B.J. The potential of computerised analysis of bowel sounds for diagnosis of gastrointestinal conditions: A systematic review. Syst. Rev. 2018, 7, 124. [Google Scholar] [CrossRef] [PubMed]
- Kumar, T.S.; Soiland, E.; Stavdahl, O.; Fougner, A.L. Pilot study of early meal onset detection from abdominal sounds. In Proceedings of the 2019 E-Health and Bioengineering Conference (EHB), Iasi, Romania, 21–23 November 2019. [Google Scholar] [CrossRef]
- Asnicar, F.; Leeming, E.R.; Dimidi, E.; Mazidi, M.; Franks, P.W.; Al Khatib, H.; Valdes, A.M.; Davies, R.; Bakker, E.; Francis, L.; et al. Blue poo: Impact of gut transit time on the gut microbiome using a novel marker. Gut 2021, 70, 1665–1674. [Google Scholar] [CrossRef] [PubMed]
- Zhang, T.; Huang, Z.; Zou, Y.; Zhao, J.; Ke, Y. A prediction model of defecation based on BP neural network and bowel sound signal features. Sensors 2022, 22, 7084. [Google Scholar] [CrossRef] [PubMed]
- Kim, K.S.; Seo, J.H.; Song, C.G. Non-invasive algorithm for bowel motility estimation using a back-propagation neural network model of bowel sounds. Biomed. Eng. 2011, 10, 69. [Google Scholar] [CrossRef] [PubMed]







| All (n = 100) | Male (n = 43) | Female (n = 57) | |
|---|---|---|---|
| Age | 37.6 ± 9.7 | 38 ± 9.7 | 37.3 ± 9.7 |
| Height (cm) | 165.7 ± 8.2 | 172.5 ± 5.2 | 160.6 ± 6.0 |
| Weight (kg) | 58.3 ± 9.6 | 65.9 ± 7.8 | 52.6 ± 6.4 |
| Body Mass Index | 21.1 ± 2.2 | 22.1 ± 2.0 | 20.4 ± 2.1 |
| Accuracy | Precision | Sensitivity | F Measure | |
|---|---|---|---|---|
| CNN | 0.839 ± 0.013 | 0.757 ± 0.062 | 0.786 ± 0.076 | 0.770 ± 0.016 |
| LSTM | 0.772 ± 0.027 | 0.616 ± 0.035 | 0.887 ± 0.056 | 0.727 ± 0.024 |
| Accuracy | Precision | Sensitivity | F Measure | |
|---|---|---|---|---|
| CNN | 0.889 ± 0.038 | 0.705 ± 0.140 | 0.749 ± 0.142 | 0.723 ± 0.097 |
| LSTM | 0.824 ± 0.080 | 0.537 ± 0.216 | 0.879 ± 0.067 | 0.658 ± 0.170 |
| SSI | SD | |
|---|---|---|
| CNN-holdout | 0.992 ± 0.004 | 0.960 ± 0.016 |
| CNN-cross | 0.940 ± 0.047 | 0.905 ± 0.091 |
| LSTM-holdout | 0.921 ± 0.022 | 0.822 ± 0.020 |
| LSTM-cross | 0.872 ± 0.140 | 0.742 ± 0.195 |
| Author | Algorithm | Input Source | ACC | F Measure |
|---|---|---|---|---|
| Sato et al. [6] | ANN | non-contact microphone | 90% | 15% |
| Kumar et al. [23] | SVM | contact microphone | 75% | N/A |
| Liu et al. [19] | CNN | custom design contact microphone | 92% | N/A |
| Ficek et al. [9] | CNN | custom design contact microphone | 97% | 66% * |
| Ours | CNN | smartphone microphone | 89% ** | 72% |
Disclaimer/Publisher’s Note: The statements, opinions and data contained in all publications are solely those of the individual author(s) and contributor(s) and not of MDPI and/or the editor(s). MDPI and/or the editor(s) disclaim responsibility for any injury to people or property resulting from any ideas, methods, instructions or products referred to in the content. |
© 2022 by the authors. Licensee MDPI, Basel, Switzerland. This article is an open access article distributed under the terms and conditions of the Creative Commons Attribution (CC BY) license (https://creativecommons.org/licenses/by/4.0/).
Share and Cite
Kutsumi, Y.; Kanegawa, N.; Zeida, M.; Matsubara, H.; Murayama, N. Automated Bowel Sound and Motility Analysis with CNN Using a Smartphone. Sensors 2023, 23, 407. https://doi.org/10.3390/s23010407
Kutsumi Y, Kanegawa N, Zeida M, Matsubara H, Murayama N. Automated Bowel Sound and Motility Analysis with CNN Using a Smartphone. Sensors. 2023; 23(1):407. https://doi.org/10.3390/s23010407
Chicago/Turabian StyleKutsumi, Yuka, Norimasa Kanegawa, Mitsuhiro Zeida, Hitoshi Matsubara, and Norihito Murayama. 2023. "Automated Bowel Sound and Motility Analysis with CNN Using a Smartphone" Sensors 23, no. 1: 407. https://doi.org/10.3390/s23010407
APA StyleKutsumi, Y., Kanegawa, N., Zeida, M., Matsubara, H., & Murayama, N. (2023). Automated Bowel Sound and Motility Analysis with CNN Using a Smartphone. Sensors, 23(1), 407. https://doi.org/10.3390/s23010407
