Decoupling of Dual-Polarized Antenna Arrays Using Non-Resonant Metasurface
Abstract
1. Introduction
2. Non-Resonant Metasurface for Decoupling
2.1. Decoupling Scheme of the NRMS
2.2. Study for the NRMS Unit Cell
2.3. Decoupling of A Two-Element Antenna Array with the NRMS
3. Example of 4 × 4 Array with NRMS
3.1. Antenna Configuration
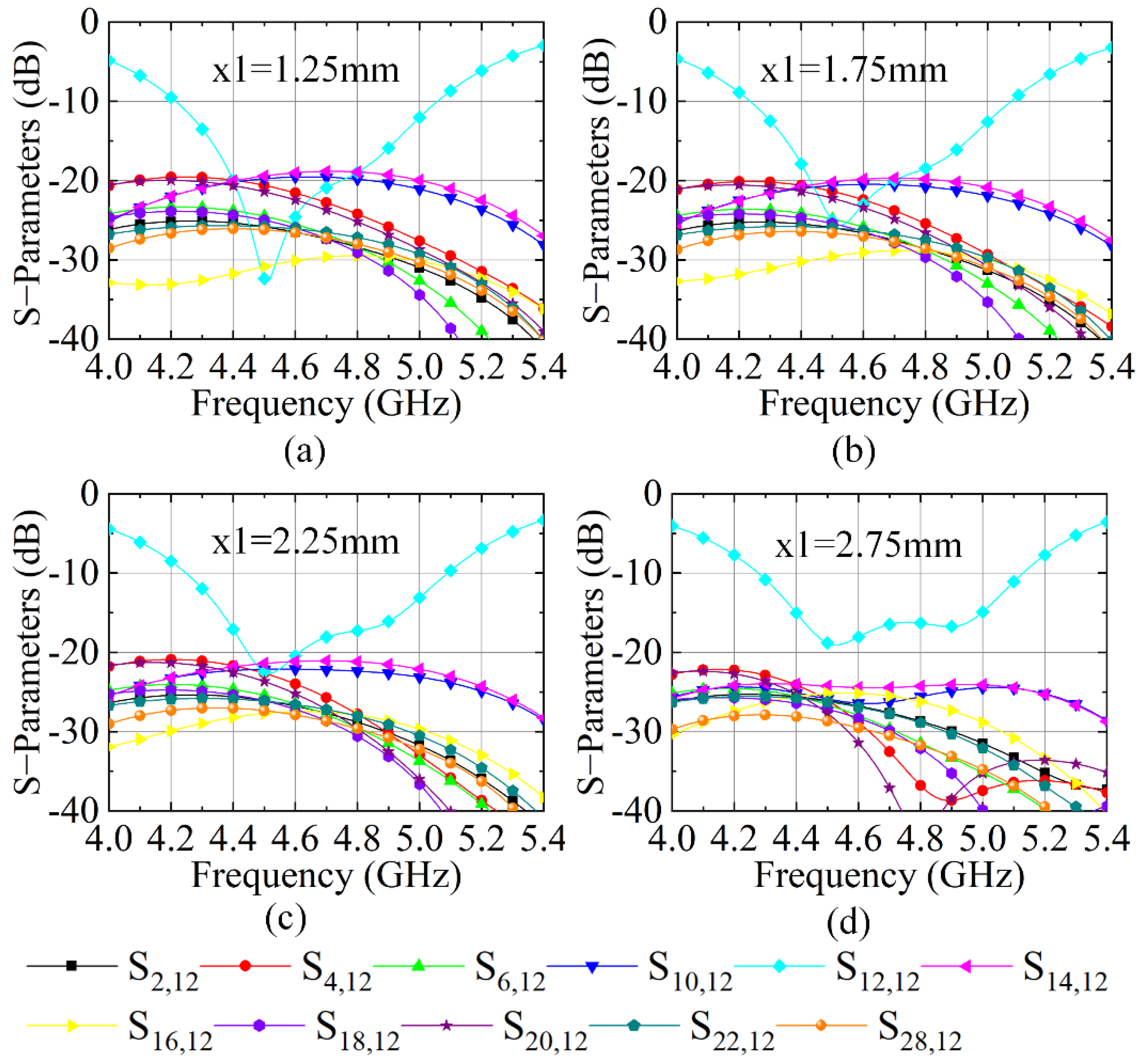
3.2. Parametric Study
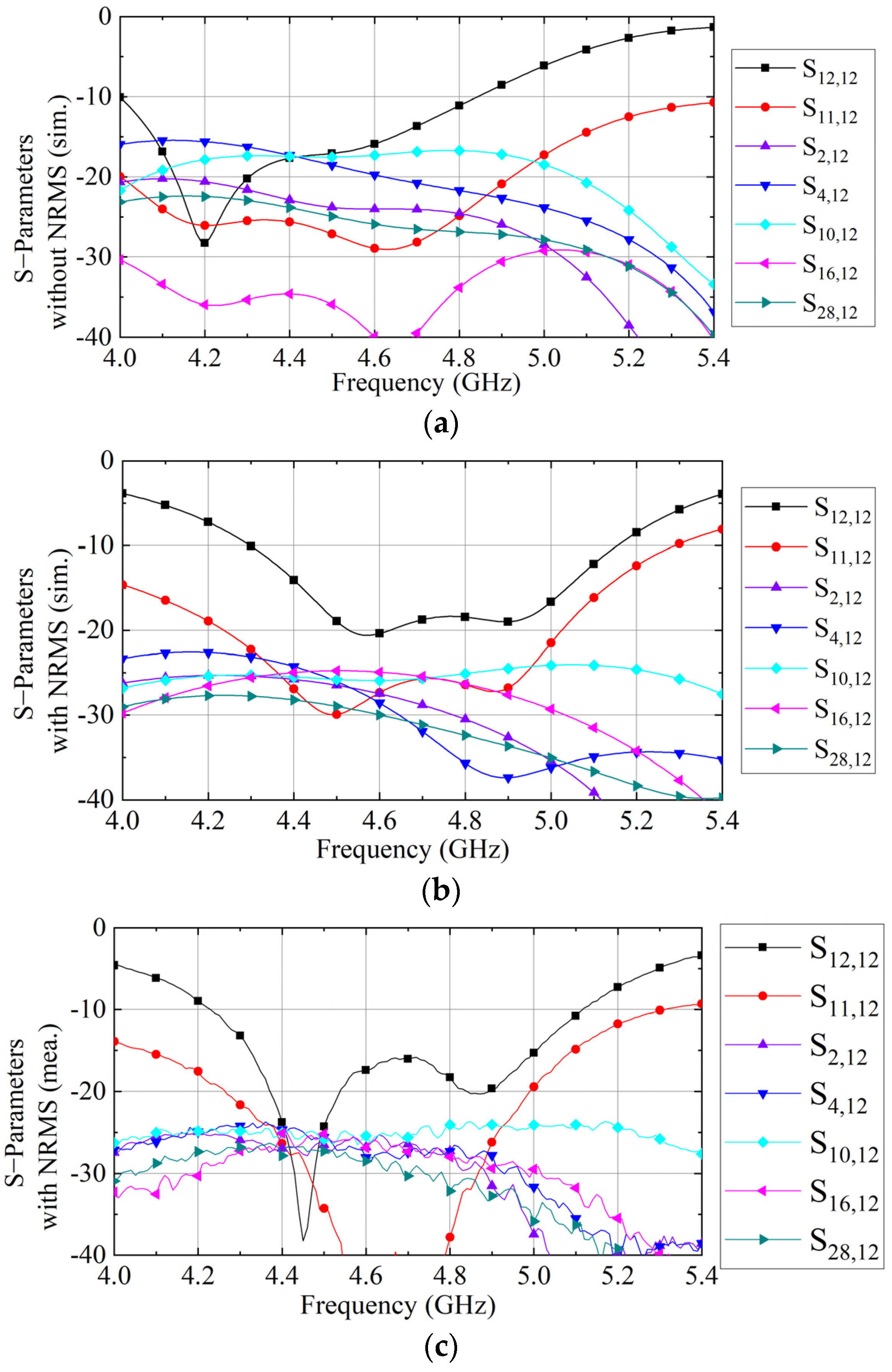
3.3. Antenna Array Performance
3.4. Antenna Performance Comparison
4. Conclusions
Author Contributions
Funding
Institutional Review Board Statement
Informed Consent Statement
Data Availability Statement
Acknowledgments
Conflicts of Interest
References
- Face, K.; Lee, J.; Jung, Y. High-Gain millimeter-wave patch array antenna for unmanned aerial vehicle application. Sensors 2021, 21, 3914. [Google Scholar] [CrossRef]
- de Figueiredo, F.A.P.; Dias, C.F.; Lima, E.R.; Fraidenraich, G. Capacity bounds for dense massive MIMO in a line-of-sight propagation environment. Sensors 2020, 20, 520. [Google Scholar] [CrossRef] [PubMed]
- Zou, W.; Qu, S.; Yang, S. Wideband wide-scanning phased array in triangular lattice with electromagnetic bandgap structures. IEEE Antennas Wirel. Propag. Lett. 2019, 18, 422–426. [Google Scholar] [CrossRef]
- Wang, B.; Lin, X.; Nie, L.; Yu, D. A broadband wide-scanning planar phased array antenna with equivalent circuit analysis. IEEE Antennas Wirel. Propag. Lett. 2020, 19, 2154–2158. [Google Scholar] [CrossRef]
- Cheng, Y.; Feng, J.; Liao, C.; Ding, X. Analysis and design of wideband low-rcs wide-scan phased array with AMC ground. IEEE Antennas Wirel. Propag. Lett. 2021, 20, 209–213. [Google Scholar] [CrossRef]
- Zhai, H.; Xi, L.; Zang, Y.; Li, L. A low-profile dual-polarized high-isolation MIMO antenna arrays for wideband base-station applications. IEEE Trans. Antennas Propag. 2018, 66, 191–202. [Google Scholar] [CrossRef]
- Mirmozafari, M.; Saeedi, S.; Zhang, G.; Samii, Y.R. A crossed dipole phased array antenna architecture with enhanced polarization and isolation characteristics. IEEE Trans. Antennas Propag. 2020, 68, 4469–4478. [Google Scholar] [CrossRef]
- Li, Y.; Sim, C.; Luo, Y.; Yang, G. High-isolation 3.5 GHz eight-antenna MIMO array using balanced open-slot antenna element for 5G smartphones. IEEE Trans. Antennas Propag. 2019, 67, 3820–3830. [Google Scholar] [CrossRef]
- Chen, X.; Zhang, S.; Li, Q. A review of mutual coupling in MIMO systems. IEEE Access 2018, 6, 24706–24719. [Google Scholar] [CrossRef]
- Janaswamy, R. Effect of element mutual coupling on the capacity of fixed length linear arrays. IEEE Antennas Wireless Propag. Lett. 2002, 1, 157–160. [Google Scholar] [CrossRef]
- Schmid, C.M.; Schuster, S.; Feger, R.; Stelzer, A. On the effects of calibration errors and mutual coupling on the beam pattern of an antenna array. IEEE Trans. Antennas Propag. 2013, 61, 4063–4072. [Google Scholar] [CrossRef]
- Wang, B.; Chang, Y.; Sun, Y. Performance of the large-scale adaptive array antennas in the presence of mutual coupling. IEEE Trans. Antennas Propag. 2016, 64, 2236–2245. [Google Scholar] [CrossRef]
- Song, H.J.; Bekaryan, A.; Schaffner, J.H.; Hussain, A.; Kildal, P. Effects of mutual coupling on LTE MIMO capacity for monopole array: Comparing reverberation chamber tests and drive tests. IEEE Antennas Wirel. Propag. Lett. 2015, 14, 454–457. [Google Scholar] [CrossRef]
- Jin, F.; Ding, X.; Cheng, Y.; Wang, B.; Shao, W. A wideband phased array with broad scanning range and wide-angle impedance matching. IEEE Trans. Antennas Propag. 2020, 68, 6022–6031. [Google Scholar] [CrossRef]
- Chen, K.; Kiang, J. Effect of mutual coupling on the channel capacity of MIMO systems. IEEE Trans. Veh. Technol. 2016, 65, 398–403. [Google Scholar] [CrossRef]
- Islam, H.; Das, S.; Ali, T.; Kumar, P. Split ring resonator-based bandstop filter for improving isolation in compact MIMO antenna. Sensors 2021, 21, 2256. [Google Scholar] [CrossRef] [PubMed]
- Qian, B.; Chen, X.; Kishk, A.A. Decoupling of microstrip antennas with defected ground structure using the common/differential mode theory. IEEE Antennas Wirel. Propag. Lett. 2021, 20, 828–832. [Google Scholar] [CrossRef]
- Abbas, A.; Hussain, N.; Sufian, D.A.; Jung, J.; Park, S.M.; Kim, N. Isolation and gain improvement of a rectangular notch UWB-MIMO antenna. Sensors 2022, 22, 1460. [Google Scholar] [CrossRef]
- Li, M.; Jiang, L.; Yeung, K.L. A general and systematic method to design neutralization lines for isolation enhancement in MIMO antenna arrays. IEEE Trans. Veh. Tech. 2020, 69, 6242–6253. [Google Scholar] [CrossRef]
- Lau, B.K.; Andersen, J.B. Simple and efficient decoupling of compact arrays with parasitic scatterers. IEEE Trans. Antennas Propag. 2012, 60, 464–472. [Google Scholar] [CrossRef]
- Li, M.; Cheung, S. A novel calculation-based parasitic decoupling technique for increasing isolation in multiple-element MIMO antenna arrays. IEEE Trans. Veh. Technol. 2021, 70, 446–458. [Google Scholar] [CrossRef]
- Cheng, Y.-F.; Cheng, K.-K.M. A novel dual-band decoupling and matching technique for asymmetric antenna arrays. IEEE Trans. Microw. Theory Tech. 2018, 6, 2080–2089. [Google Scholar] [CrossRef]
- Xia, R.-L.; Qu, S.-W.; Li, P.-F.; Yang, D.-Q.; Yang, S.; Nie, Z.-P. Wide-angle scanning antenna array using an efficient decoupling network. IEEE Trans. Antennas Prop. 2015, 63, 5161–5165. [Google Scholar] [CrossRef]
- Zhang, Y.-M.; Zhang, S.; Li, J.-L.; Pedersen, G.F. A transmission-line-based decoupling method for MIMO antenna arrays. IEEE Trans. Antennas Prop. 2019, 67, 3117–3131. [Google Scholar] [CrossRef]
- Wu, K.-L.; Wei, C.; Mei, X.; Zhang, Z.-Y. Array-antenna decoupling surface. IEEE Trans. Antennas Prop. 2017, 65, 6728–6738. [Google Scholar] [CrossRef]
- Wei, C.; Zhang, Z.; Wu, K. Phase compensation for decoupling of large-scale staggered dual-polarized dipole array antennas. IEEE Trans. Anten. Prop. 2020, 68, 2822–2831. [Google Scholar] [CrossRef]
- Mei, P.; Zhang, Y.; Zhang, S. Decoupling of a wideband dual-polarized large-scale antenna array with dielectric stubs. IEEE Trans. Veh. Tec. 2021, 70, 7363–7374. [Google Scholar] [CrossRef]
- Zhang, S.; Chen, X.; Pedersen, G.F. Mutual coupling suppression with decoupling ground for massive MIMO antenna arrays. IEEE Trans. Veh. Technol. 2019, 68, 7273–7282. [Google Scholar] [CrossRef]
- Wang, Z.; Zhao, L.Y.; Cai, Y.; Zheng, S.; Yin, Y. A meta-surface antenna array decoupling (MAAD) method for mutual coupling reduction in a MIMO antenna system. Sci. Rep. 2018, 8, 3152. [Google Scholar] [CrossRef]
- Liu, F.; Guo, J.; Zhao, L.; Shen, X.; Yin, Y. A meta-surface decoupling method for two linear polarized antenna array in sub-6 GHz base station applications. IEEE Access 2018, 7, 2759–2768. [Google Scholar] [CrossRef]
- Tang, J.; Faraz, F.; Chen, X.; Zhang, Q.; Li, Q.; Li, Y.; Zhang, S. A metasurface superstrate for mutual coupling reduction of large antenna arrays. IEEE Access 2020, 8, 126859–126867. [Google Scholar] [CrossRef]
















| Parameters | x1 | x2 | x3 | g | T | h |
|---|---|---|---|---|---|---|
| Value (mm) | 2.75 | 1.5 | 6.6 | 0.5 | 8 | 15 |
| Ref. | Decoupling Method | Pol. and Scale | Freq. (GHz) | Worst Iso. (dB) | Gain (dBi) | Total Efficiency | Antenna Distance and Height (λ0) | Feasib. for Massive MIMO Arrays | Compl. |
|---|---|---|---|---|---|---|---|---|---|
| [24] | Decoupling network | Dual-pol. 4 × 4 | 4.85–4.95 (2.0%) | 25 | 5.3 | >70% | 0.50λ0, 0.274λ0 | Yes | High |
| [26] | ADS | Dual-pol. 4 × 4 | 3.3–3.8 (14.1%) | 25 | 6.0 | -- | 0.64λ0, 0.4λ0 | Yes | High |
| [28] | DG | Dual-pol. 4 × 4 | 4.9–5.2 (6.1%) | 25 | 7.3 | >90% | 0.62λ0, 0.25λ0 | Yes | High |
| [29] | Metasurface | Single-pol. 2 × 1 | 5.49–6.0 (8.64%) | 27 | 5.0 | >63% | 0.259λ0, 0.180λ0 | No | Low |
| [31] | Metasurface | Single-pol. 4 × 4 | 5.67–5.97 (5.17%) | 19 | 5.0 | >70% | 0.43λ0, 0.19λ0 | Yes | Low |
| This work | NRMS | Dual-pol. 4 × 4 | 4.36–4.94 (12.5%) | 24 | 6.0 | >74% | 0.5λ0, 0.38λ0 | Yes | Low |
Disclaimer/Publisher’s Note: The statements, opinions and data contained in all publications are solely those of the individual author(s) and contributor(s) and not of MDPI and/or the editor(s). MDPI and/or the editor(s) disclaim responsibility for any injury to people or property resulting from any ideas, methods, instructions or products referred to in the content. |
© 2022 by the authors. Licensee MDPI, Basel, Switzerland. This article is an open access article distributed under the terms and conditions of the Creative Commons Attribution (CC BY) license (https://creativecommons.org/licenses/by/4.0/).
Share and Cite
Luo, S.; Mei, P.; Zhang, Y.; Pedersen, G.F.; Zhang, S. Decoupling of Dual-Polarized Antenna Arrays Using Non-Resonant Metasurface. Sensors 2023, 23, 152. https://doi.org/10.3390/s23010152
Luo S, Mei P, Zhang Y, Pedersen GF, Zhang S. Decoupling of Dual-Polarized Antenna Arrays Using Non-Resonant Metasurface. Sensors. 2023; 23(1):152. https://doi.org/10.3390/s23010152
Chicago/Turabian StyleLuo, Shengyuan, Peng Mei, Yiming Zhang, Gert Frølund Pedersen, and Shuai Zhang. 2023. "Decoupling of Dual-Polarized Antenna Arrays Using Non-Resonant Metasurface" Sensors 23, no. 1: 152. https://doi.org/10.3390/s23010152
APA StyleLuo, S., Mei, P., Zhang, Y., Pedersen, G. F., & Zhang, S. (2023). Decoupling of Dual-Polarized Antenna Arrays Using Non-Resonant Metasurface. Sensors, 23(1), 152. https://doi.org/10.3390/s23010152

