Compact Interrogation System of Fiber Bragg Grating Sensors Based on Multiheterodyne Dispersion Interferometry for Dynamic Strain Measurements
Abstract
:1. Introduction
2. Principle of Measurement
2.1. Electro-Optic Dual Optical Frequency Comb
2.2. Compact Dual-Drive Electro-Optic Dual Optical Frequency Comb
2.3. Multiheterodyne Dispersion Interferometer
3. Methods
3.1. Experimental Set-Up
3.2. Demodulation
3.3. Calibration
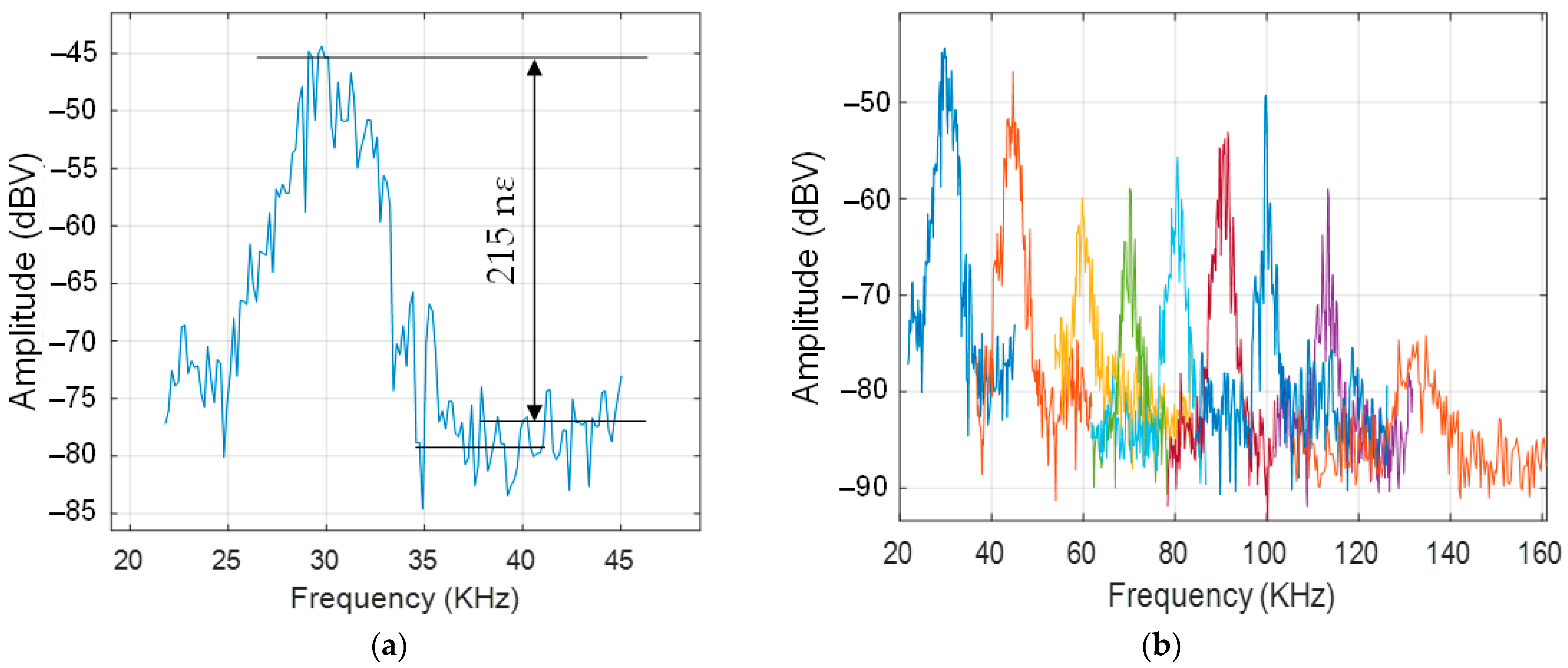
4. Results
5. Conclusions
Author Contributions
Funding
Data Availability Statement
Conflicts of Interest
References
- Durán, V.; Tainta, S.; Torres-Company, V. Ultrafast electrooptic dual-comb interferometry. Opt. Express 2015, 23, 30557–30569. [Google Scholar] [CrossRef] [Green Version]
- Teleanu, E.L.; Durán, V.; Torres-Company, V. Electro-optic dual-comb interferometer for high-speed vibrometry. Opt. Express 2017, 25, 16427–16436. [Google Scholar] [CrossRef] [Green Version]
- Yang, R.; Pollinger, F.; Meiners-Hagen, K.; Krystek, M.; Tan, J.; Bosse, H. Absolute distance measurement by dual-comb interferometry with multi-channel digital lock-in phase detection. Meas. Sci. Technol. 2015, 26, 084001. [Google Scholar] [CrossRef]
- Coddington, I.; Newbury, N.; Swann, W. Dual-comb spectroscopy. Optica 2016, 3, 414–426. [Google Scholar] [CrossRef] [Green Version]
- Millot, G.; Pitois, S.; Yan, M.; Hovhannisyan, T.; Bendahmane, A.; Hänsch, T.W.; Picqué, N. Frequency-agile dual-comb spectroscopy. Nat. Photon. 2015, 10, 27–30. [Google Scholar] [CrossRef]
- Martín-Mateos, P.; Jerez, B.; Largo-Izquierdo, P.; Acedo, P. Frequency accurate coherent electro-optic dual-comb spectroscopy in real-time. Opt. Express 2018, 26, 9700–9713. [Google Scholar] [CrossRef]
- Ideguchi, T.; Poisson, A.; Guelachvili, G.; Picqué, N.; Hänsch, T.W. Adaptive real-time dual-comb spectroscopy. Nat. Commun. 2014, 5, 3375. [Google Scholar] [CrossRef] [Green Version]
- Fleisher, A.J.; Long, D.A.; Reed, Z.D.; Hodges, J.T.; Plusquellic, D.F. Coherent cavity-enhanced dual-comb spectroscopy. Opt. Express 2016, 24, 10424–10434. [Google Scholar] [CrossRef] [Green Version]
- Terra, O. Characterization of the Frequency Stability of a Multibranch Optical Frequency Comb. IEEE Trans. Instrum. Meas. 2020, 69, 7773–7780. [Google Scholar] [CrossRef]
- Kersey, A.D.; Davis, M.A.; Patrick, H.J.; Leblanc, M.; Koo, K.P.; Askins, C.G.; Putnam, M.A.; Friebele, E.J. Fiber grating sensors. J. Light. Technol. 1997, 15, 1442–1463. [Google Scholar] [CrossRef] [Green Version]
- Othonos, A. Fiber Bragg gratings. Rev. Sci. Instrum. 1997, 68, 4309–4341. [Google Scholar] [CrossRef]
- Hill, K.; Meltz, G. Fiber Bragg grating technology fundamentals and overview. J. Light. Technol. 1997, 15, 1263–1276. [Google Scholar] [CrossRef] [Green Version]
- Zhang, S.; Lee, S.B.; Fang, X.; Choi, S.S. In-fiber grating sensors. Opt. Lasers Eng. 1999, 32, 405–418. [Google Scholar] [CrossRef]
- Huang, S.; Leblanc, M.; Ohn, M.M.; Measures, R.M. Bragg intragrating structural sensing. Appl. Opt. 1995, 34, 5003–5009. [Google Scholar] [CrossRef]
- Martín-Mateos, P.; Ruiz-Llata, M.; Posada-Roman, J.; Acedo, P. Dual Comb Architecture for Fast Spectroscopic Measurements and Spectral Characterization. IEEE Photonics Technol. Lett. 2015, 27, 1309–1312. [Google Scholar] [CrossRef]
- Kersey, A.; Lewin, A.; Jackson, D. Pseudo-heterodyne detection scheme for the fibre gyroscope. Electron. Lett. 1984, 20, 368–370. [Google Scholar] [CrossRef]
- Cumming, R. The Serrodyne Frequency Translator. Proc. IRE 1957, 45, 175–186. [Google Scholar] [CrossRef]
- Johnson, L.; Cox, C. Serrodyne optical frequency translation with high sideband suppression. J. Light. Technol. 1988, 6, 109–112. [Google Scholar] [CrossRef]
- Poiana, D.A.; Garcia-Souto, J.A.; Posada, J.E.; Acedo, P. All-Fiber Electro-Optic Dual Optical Frequency Comb for Fiber Sensors. In Proceedings of the 26th International Conference on Optical Fiber Sensors (OFS), Lausanne, Switzerland, 24–28 September 2018; p. WF82. [Google Scholar] [CrossRef] [Green Version]
- Posada-Roman, J.E.; Garcia-Souto, J.A.; Poiana, D.A.; Acedo, P. Fast Interrogation of Fiber Bragg Gratings with Electro-Optical Dual Optical Frequency Combs. Sensors 2016, 16, 2007. [Google Scholar] [CrossRef] [Green Version]
- Jackson, D.; Kersey, A.; Corke, M.; Jones, J. Pseudoheterodyne detection scheme for optical interferometers. Electron. Lett. 1982, 18, 1081–1083. [Google Scholar] [CrossRef]
- Dandridge, A.; Tveten, A.; Giallorenzi, T. Homodyne Demodulation Scheme for Fiber Optic Sensors Using Phase Generated Carrier. IEEE Trans. Microw. Theory Tech. 1982, 30, 1635–1641. [Google Scholar] [CrossRef] [Green Version]
- Hariharan, P.; Hariharan, P. Basics of Interferometry, 2nd ed.; Academic Press: Cambridge, MA, USA, 2007. [Google Scholar]
- Shen, J.; Wu, S. Ultra-flat optical frequency comb generation based on amplitude modulator and Gaussian band-stop filter. Opt. Quantum Electron. 2019, 51, 345. [Google Scholar] [CrossRef]
- Ozharar, S.; Quinlan, F.; Ozdur, I.; Gee, S.; Delfyett, P.J. Ultraflat Optical Comb Generation by Phase-Only Modulation of Continuous-Wave Light. IEEE Photon-Technol. Lett. 2007, 20, 36–38. [Google Scholar] [CrossRef]
- Qu, K.; Zhao, S.; Li, X.; Tan, Q.; Zhu, Z. Ultraflat and broadband optical frequency comb generator based on cascaded two dual-electrode Mach–Zehnder modulators. Opt. Rev. 2018, 25, 264–270. [Google Scholar] [CrossRef]
- Long, D.A.; Fleisher, A.J.; Douglass, K.O.; Maxwell, S.; Bielska, K.; Hodges, J.T.; Plusquellic, D.F. Multiheterodyne spectroscopy with optical frequency combs generated from a continuous-wave laser. Opt. Lett. 2014, 39, 2688–2690. [Google Scholar] [CrossRef]
- Poiana, D.A.; Posada-Roman, J.E.; Garcia-Souto, J.A. Compact system of dispersion spectroscopy for interrogating fiber Bragg grating sensors using multi-wavelength phase shift interferometry. In Proceedings of the 2020 IEEE International Instrumentation and Measurement Technology Conference (I2MTC), Dubrovnik, Croatia, 25–28 May 2020; pp. 1–5. [Google Scholar] [CrossRef]
- Hariharan, P.; Hariharan, P. Interferometric Sensors. In Basics of Interferometry, 2nd ed.; Hariharan, P., Hariharan, P., Eds.; Academic Press: Cambridge, MA, USA, 2007; Volume 1, pp. 121–132. [Google Scholar]
- Jackson, D.; Posada-Roman, J.; Garcia-Souto, J. Calibration of laser Doppler vibrometer exploiting Bessel functions of the first kind. Electron. Lett. 2015, 51, 1100–1102. [Google Scholar] [CrossRef]
- Huang, S.; Ohn, M.M.; Measures, R.M. Phase-based Bragg intragrating distributed strain sensor. Appl. Opt. 1996, 35, 1135–1142. [Google Scholar] [CrossRef]
- Huang, S.; Ohn, M.M.; Leblanc, M.; Measures, R.M. Continuous arbitrary strain profile measurements with fiber Bragg gratings. Smart Mater. Struct. 1998, 7, 248–256. [Google Scholar] [CrossRef]
- Nand, A.; Kitcher, D.J.; Wade, S.A.; Nguyen, T.B.; Baxter, G.W.; Jones, R.; Collins, S.F. Determination of the position of a localised heat source within a chirped fibre Bragg grating using a Fourier transform technique. Meas. Sci. Technol. 2006, 17, 1436–1445. [Google Scholar] [CrossRef]













Publisher’s Note: MDPI stays neutral with regard to jurisdictional claims in published maps and institutional affiliations. |
© 2022 by the authors. Licensee MDPI, Basel, Switzerland. This article is an open access article distributed under the terms and conditions of the Creative Commons Attribution (CC BY) license (https://creativecommons.org/licenses/by/4.0/).
Share and Cite
Poiana, D.A.; Posada-Roman, J.E.; Garcia-Souto, J.A. Compact Interrogation System of Fiber Bragg Grating Sensors Based on Multiheterodyne Dispersion Interferometry for Dynamic Strain Measurements. Sensors 2022, 22, 3561. https://doi.org/10.3390/s22093561
Poiana DA, Posada-Roman JE, Garcia-Souto JA. Compact Interrogation System of Fiber Bragg Grating Sensors Based on Multiheterodyne Dispersion Interferometry for Dynamic Strain Measurements. Sensors. 2022; 22(9):3561. https://doi.org/10.3390/s22093561
Chicago/Turabian StylePoiana, Dragos A., Julio E. Posada-Roman, and Jose A. Garcia-Souto. 2022. "Compact Interrogation System of Fiber Bragg Grating Sensors Based on Multiheterodyne Dispersion Interferometry for Dynamic Strain Measurements" Sensors 22, no. 9: 3561. https://doi.org/10.3390/s22093561
APA StylePoiana, D. A., Posada-Roman, J. E., & Garcia-Souto, J. A. (2022). Compact Interrogation System of Fiber Bragg Grating Sensors Based on Multiheterodyne Dispersion Interferometry for Dynamic Strain Measurements. Sensors, 22(9), 3561. https://doi.org/10.3390/s22093561

