Contact Compliance Based Visual Feedback for Tool Alignment in Robot Assisted Bone Drilling
Abstract
:1. Introduction
1.1. System Description of the Orthopedic Handheld Robot
1.2. Control Strategy for Tool Self-Alignment
1.3. Simulation
2. Experimental Setup
3. Results and Discussions
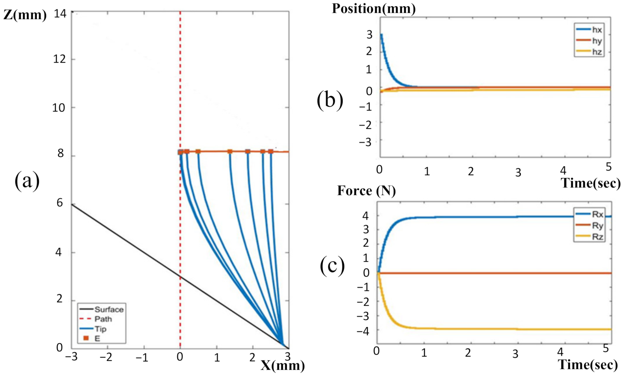
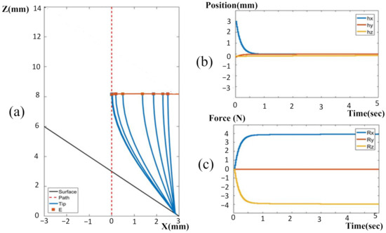
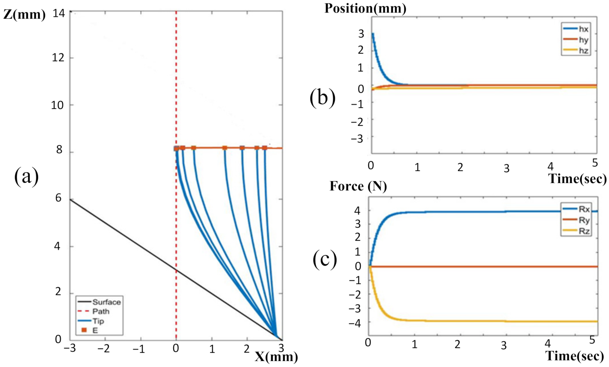
3.1. Simulated Results
3.2. Experiment Results
3.2.1. Resolved Motion Rate without Contact Compliance Adjustment
3.2.2. Resolved Motion Rate with Contact Compliance Adjustment
4. Conclusions
Author Contributions
Funding
Institutional Review Board Statement
Informed Consent Statement
Conflicts of Interest
References
- Bai, L.; Yang, J.; Chen, X.; Sun, Y.; Li, X. Medical Robotics in Bone Fracture Reduction Surgery: A Review. Sensors 2019, 19, 3593. [Google Scholar] [CrossRef] [Green Version]
 - Boktor, J.; Badurudeen, A.; Rijab Agha, M.; Lewis, P.M.; Roberts, G.; Hills, R.; White, S. Cannulated screw fixation for Garden I and II intracapsular hip fractures: Five-year follow-up and posterior tilt analysis. Bone Jt. Open 2022, 3, 182–188. [Google Scholar] [CrossRef]
 - Moreschini, O.; Petrucci, V.; Cannata, R. Insertion of distal locking screws of tibial intramedullary nails: A comparison between the free-hand technique and the SURESHOT™ Distal Targeting System. Injury 2014, 45, 405–407. [Google Scholar] [CrossRef]
 - Winquist, R.A. Locked femoral nailing. J. Am. Acad. Orthop. Surg. 1993, 1, 95–105. [Google Scholar] [CrossRef] [PubMed]
 - Krettek, C.; Mannss, J.; Könemann, B.; Miclau, T.; Schandelmaier, P.; Tscherne, H. The deformation of small diameter solid tibial nails with unreamed intramedullary insertion. J. Biomech. 1997, 30, 391–394. [Google Scholar] [CrossRef]
 - Krettek, C.; Mannss, J.; Miclau, T.; Schandelmaier, P.; Linnemann, I.; Tscherne, H. Deformation of femoral nails with intramedullary insertion. J. Orthop. Res. 1998, 16, 572–575. [Google Scholar] [CrossRef] [PubMed]
 - Mobbs, R.J.; Sivabalan, P.; Li, J. Technique, challenges and indications for percutaneous pedicle screw fixation. J. Clin. Neurosci. 2011, 18, 741–749. [Google Scholar] [CrossRef] [PubMed]
 - Shu, L.; Li, S.; Terashima, M.; Bai, W.; Hanami, T.; Hasegawa, R.; Sugita, N. A novel self-centring drill bit design for low-trauma bone drilling. Int. J. Mach. Tools Manuf. 2020, 154, 103568. [Google Scholar] [CrossRef]
 - Atesok, K.; Schemitsch, E.H. Computer-assisted Trauma Surgery. J. Am. Acad. Orthop. Surg. 2010, 18, 247–258. [Google Scholar] [CrossRef] [PubMed]
 - Yen, P.L.; Ho, T.H. Shared Control for a Handheld Orthopedic Surgical Robot. IEEE Robot. Autom. Lett. 2021, 6, 8394–8400. [Google Scholar] [CrossRef]
 - Hu, Y.; Jin, H.; Zhang, L.; Zhang, P.; Zhang, J. State recognition of pedicle drilling with force sensing in a robotic spinal surgical system. IEEE/ASME Trans. Mechatron. 2013, 19, 357–365. [Google Scholar] [CrossRef]
 - Lee, W.Y.; Shih, C.L.; Lee, S.T. Force control and breakthrough detection of a bone-drilling system. IEEE/ASME Trans. Mechatron. 2004, 9, 20–29. [Google Scholar] [CrossRef]
 - Qi, W.; Su, H. A cybertwin based multimodal network for ecg patterns monitoring using deep learning. IEEE Trans. Ind. Inform. 2022. [Google Scholar] [CrossRef]
 - Qi, W.; Ovur, S.E.; Li, Z.; Marzullo, A.; Song, R. Multi-sensor guided hand gesture recognition for a teleoperated robot using a recurrent neural network. IEEE Robot. Autom. Lett. 2021, 6, 6039–6045. [Google Scholar] [CrossRef]
 - Arizmendi, M.; Fernández, J.; Gil, A.; Veiga, F. Effect of tool setting error on the topography of surfaces machined by peripheral milling. Int. J. Mach. Tools Manuf. 2009, 49, 36–52. [Google Scholar] [CrossRef]
 - Arizmendi, M.; Fernández, J.; de Lacalle, L.L.; Lamikiz, A.; Gil, A.; Sánchez, J.A.; Veiga, F. Model development for the prediction of surface topography generated by ball-end mills taking into account the tool parallel axis offset. Experimental validation. CIRP Ann. 2008, 57, 101–104. [Google Scholar] [CrossRef]
 - Hung, S.S.; Hsu, A.S.F.; Ho, T.H.; Chi, C.H.; Yen, P.L. A Robotized Handheld Smart Tool for Orthopedic Surgery. Int. J. Med. Robot. Comput. Assist. Surg. 2021, 17, e2289. [Google Scholar] [CrossRef]
 - Whiteney, D.E. Resolved motion rate control of manipulators and human prostheses. IEEE Trans. Man Mach. Syst. 1969, 10, 47–53. [Google Scholar] [CrossRef]
 - Fedorov, A.; Beichel, R.; Kalpathy-Cramer, J.; Finet, J.; Fillion-Robin, J.-C.; Pujol, S.; Bauer, C.; Jennings, D.; Fennessy, F.; Sonka, M. 3D Slicer as an image computing platform for the quantitative imaging network. Magn. Reson. Imaging 2012, 30, 1323–1341. [Google Scholar] [CrossRef] [PubMed] [Green Version]
 - Pelayo, G.U.; Olvera-Trejo, D.; Luo, M.; Tang, K.; de Lacalle, L.L.; Elías-Zuñiga, A. A model-based sustainable productivity concept for the best decision-making in rough milling operations. Measurement 2021, 186, 110120. [Google Scholar] [CrossRef]
 - Su, H.; Zhang, J.; Fu, J.; Ovur, S.E.; Qi, W.; Li, G.; Li, Z. Sensor fusion-based anthropomorphic control of under-actuated bionic hand in dynamic environment. In Proceedings of the 2021 IEEE/RSJ International Conference on Intelligent Robots and Systems (IROS), Prague, Czech Republic, 27 September–1 October 2021; pp. 2722–2727. [Google Scholar]
 









| Control Strategy | Phantom | Lateral Force fδ  | Normal Force fN  | Position Error of the Tool Tip | Position Error of the Handle | 
|---|---|---|---|---|---|
| without contact compliance adjustment | constant slope | 1.45 N | 1.34 N | 1.1 mm | 4.4 mm | 
| varying slopes | 1.08 N | 2.18 N | 0.7 mm | 6.1 mm | |
| with contact compliance adjustment  | constant slope | 0.75 N | 0.87 N | 0.8 mm | 2.3 mm | 
| varying slopes | 0.84 N | 0.82 N | 0.6 mm | 2.8 mm | 
Publisher’s Note: MDPI stays neutral with regard to jurisdictional claims in published maps and institutional affiliations.  | 
© 2022 by the authors. Licensee MDPI, Basel, Switzerland. This article is an open access article distributed under the terms and conditions of the Creative Commons Attribution (CC BY) license (https://creativecommons.org/licenses/by/4.0/).
Share and Cite
Yen, P.-L.; Chen, Y.-J. Contact Compliance Based Visual Feedback for Tool Alignment in Robot Assisted Bone Drilling. Sensors 2022, 22, 3205. https://doi.org/10.3390/s22093205
Yen P-L, Chen Y-J. Contact Compliance Based Visual Feedback for Tool Alignment in Robot Assisted Bone Drilling. Sensors. 2022; 22(9):3205. https://doi.org/10.3390/s22093205
Chicago/Turabian StyleYen, Ping-Lang, and Yu-Jui Chen. 2022. "Contact Compliance Based Visual Feedback for Tool Alignment in Robot Assisted Bone Drilling" Sensors 22, no. 9: 3205. https://doi.org/10.3390/s22093205
APA StyleYen, P.-L., & Chen, Y.-J. (2022). Contact Compliance Based Visual Feedback for Tool Alignment in Robot Assisted Bone Drilling. Sensors, 22(9), 3205. https://doi.org/10.3390/s22093205
        
                                                
