Sensitivity Analysis of Sidelobes of the Lowest Order Cladding Mode of Long Period Fiber Gratings at Turn Around Point
Abstract
:1. Introduction
2. Materials and Methods
2.1. LPFG Fabrication and Fiber Etching
2.2. Data Acquisition and Data Analysis
2.3. Refractometric Sensitivity Analysis
3. Results and Discussion
3.1. Etching of Fiber, TAP of the LP0,2
3.2. Etching of Fiber, Side Lobes of the LP0,2
- -
- the dual peak of LP0,2 CM merged together at TAP and single peak is generated at about 1600 nm (Figure 4B);
- -
- the merged CM peak decreases and disappears while the first right sidelobe appears for the first time within the OSA window (Figure 4C);
- -
- the dual peaks of the first sidelobes merge in a single peak at TAP (Figure 4D);
- -
- the merged sidelobe peak decreases and disappears while also the second right sidelobe appears Figure 4E).
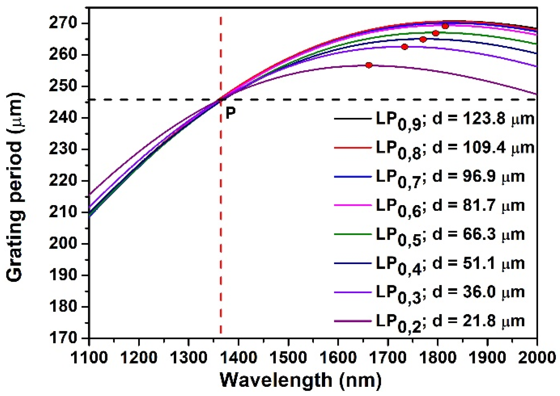
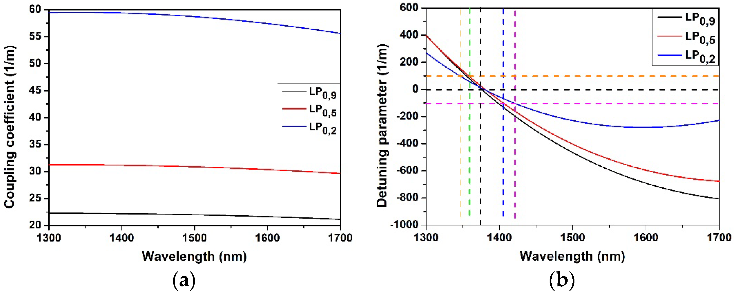
3.3. Theoretical Discussion and Modeling
3.4. Sensitiviy Analysis
4. Conclusions
Author Contributions
Funding
Institutional Review Board Statement
Informed Consent Statement
Data Availability Statement
Acknowledgments
Conflicts of Interest
References
- Chiavaioli, F.; Baldini, F.; Tombelli, S.; Trono, C.; Giannetti, A. Biosensing with optical fiber gratings. Nanophotonics 2017, 6, 663–679. [Google Scholar] [CrossRef]
- Yang, F.; Chang, T.L.; Liu, T.; Wu, D.; Du, H.; Liang, J.; Tian, F. Label-free detection of Staphylococcus aureus bacteria using long-period fiber grating with functional polyelectrolyte coatings. Biosens. Bioelectron. 2019, 133, 147–153. [Google Scholar] [CrossRef]
- Janczuk-Richter, M.; Piestrzyńska, M.; Burnat, D.; Sezemský, P.; Stranak, V.; Bock, W.J.; Bogdanowicz, R.; Niedziółka-Jönsson, J.; Smietana, M. Optical investigation of electrochemical process using a long-period fiber grating functionalized by indium tin oxide. Sens. Actuators B Chem. 2019, 279, 223–229. [Google Scholar] [CrossRef]
- Patrick, H.J.; Kersey, A.D.; Bucholtz, F. Analysis of the response of long period fiber grating to external index of refraction. J. Lightwave Technol. 1998, 16, 1606–1612. [Google Scholar] [CrossRef]
- Del Villar, I.; Matias, I.R.; Arregui, F.J.; Lalanne, P. Optimization of sensitivity in long period fiber grating with overlay deposition. Opt. Express 2005, 13, 56–69. [Google Scholar] [CrossRef] [Green Version]
- Chiavaioli, F.; Biswas, P.; Trono, C.; Jana, S.; Bandyopadhyay, S.; Basumallick, N.; Giannetti, A.; Tombelli, S.; Bera, S.; Mallick, A.; et al. Sol-gel-based titania-silica thin film overlay for long period fiber grating based biosensors. Anal. Chem. 2015, 87, 12024–12031. [Google Scholar] [CrossRef]
- Pilla, P.; Manzillo, P.F.; Malachovska, V.; Buosciolo, A.; Campopiano, S.; Cutolo, A.; Ambrosio, L.; Giordano, M.; Cusano, A. Long period grating working in transition mode as promising technological platform for label free biosensing. Opt. Express 2009, 17, 20039–20050. [Google Scholar] [CrossRef]
- Pilla, P.; Malachovská, V.; Borriello, A.; Buosciolo, A.; Giordano, M.; Ambrosio, L.; Cutolo, A.; Cusano, A. Transition mode long period grating biosensor with functional multilayer coatings. Opt. Express 2011, 19, 512–526. [Google Scholar] [CrossRef]
- Shu, X.; Zhang, L.; Bennion, I. Sensitivity characteristics of long-period fiber grating. J. Lightwave Technol. 2002, 20, 255–266. [Google Scholar]
- Biswas, P.; Basumallick, N.; Bandyopadhyay, S.; Dasgupta, K.; Ghosh, A.; Bandyopadhyay, S. Sensitivity enhancement of turn-around-point long period grating by tuning initial coupling condition. IEEE Sens. J. 2015, 15, 1240–1245. [Google Scholar] [CrossRef]
- Chiang, K.S.; Liu, Y.; Ng, M.N.; Dong, X. Analysis of etched long-period fiber grating and its response to external refractive index. Electron. Lett. 2000, 36, 966–967. [Google Scholar] [CrossRef]
- Śmietana, M.; Koba, M.; Mikulic, P.; Bock, W.J. Measurements of reactive ion etching process effect using long-period fiber gratings. Opt. Express 2014, 22, 5986–5994. [Google Scholar] [CrossRef] [PubMed]
- Dey, T.K.; Tombelli, S.; Biswas, P.; Giannetti, A.; Basumallick, N.; Baldini, F.; Bandyopadhyay, S.; Trono, C. Analysis of the lowest order cladding mode of long period fiber gratings near Turn Around Point. J. Lightwave Technol. 2021, 39, 4006–4012. [Google Scholar] [CrossRef]
- Zou, F.; Liu, Y.; Mou, C.; Zhu, S. Optimization of refractive index sensitivity in nano-film coated long-period fiber grating near dispersion turning point. J. Lightwave Technol. 2019, 38, 889–897. [Google Scholar] [CrossRef]
- Del Villar, I.; Cruz, J.L.; Socorro, A.B.; Corres, J.M.; Matias, I.R. Sensitivity optimization with cladding-etched long period fiber gratings at dispersion turning point. Opt. Express 2016, 24, 17680–17685. [Google Scholar] [CrossRef] [Green Version]
- Del Villar, I. Ultrahigh-sensitivity sensors based on thin-film coated long period grating with reduced diameter, in transition mode and near the dispersion turning point. Opt. Express 2015, 23, 8389–8398. [Google Scholar] [CrossRef]
- Piestrzyńska, M.; Dominik, M.; Kosiel, K.; Janczuk-Richter, M.; Szot-Karpińska, K.; Brzozowska, E.; Shao, L.; Niedziółka-Jonsson, J.; Bock, W.J.; Śmietana, M. Ultrasensitive tantalum oxide nano-coated long-period grating for detection of various biological targets. Biosens. Bioelectron. 2019, 133, 8–15. [Google Scholar] [CrossRef]
- Śmietana, M.; Koba, M.; Mikulic, P.; Bock, W.J. Towards refractive index sensitivity of long period gratings at level of tens of µm per refractive index unit: Fiber cladding etching and nano-coating deposition. Opt. Express 2016, 24, 11897–11904. [Google Scholar] [CrossRef]
- Śmietana, M.; Koba, M.; Mikulic, P.; Bock, W.J. Combined plasma-based fiber etching and diamond-like carbon nanooverlay deposition for enhancing sensitivity of long-period grating. J. Lightwave Technol. 2016, 34, 4615–4619. [Google Scholar] [CrossRef]
- Ran, Y.; Hu, D.; Xu, Z.; Long, J.; Xiao, P.; Liang, L.; Sun, L.P.; Jin, L.; Guan, B.O. Vertical-fluid-array-induced optical microfiber long-period grating (VIOLIN) refractometer. J. Lightwave Technol. 2020, 38, 2434–2440. [Google Scholar] [CrossRef]
- Hu, D.; Xu, Z.; Long, J.; Xiao, P.; Liang, L.; Sun, L.; Liang, H.; Ran, Y.; Guan, B.O. Label-free and reproducible chemical sensor using the vertical-fluid-array induced optical fiber long period grating (VIOLIN). Sensors 2020, 20, 3415. [Google Scholar] [CrossRef] [PubMed]
- Daxhelet, X.; Kulishov, M. Theory and practice of long-period gratings: When a loss becomes a gain. Opt. Lett. 2003, 28, 686–688. [Google Scholar] [CrossRef]
- Shu, X.; Sugden, K.; Bennion, I. Apodisation of photo-induced waveguide gratings using double-exposure with complementary duty cycles. Opt. Express 2008, 16, 2221–2225. [Google Scholar] [CrossRef] [PubMed] [Green Version]
- Chan, F.Y.; Chiang, K. Analysis of apodized phase-shifted long-period fiber gratings. Opt. Commun. 2005, 244, 233–243. [Google Scholar] [CrossRef]







| Cladding Modes | Fiber Diameter (µm) | Slope at Point P |
|---|---|---|
| LP0,9 | 123.8 | 106 |
| LP0,8 | 109.4 | 106 |
| LP0,7 | 96.9 | 106 |
| LP0,6 | 81.7 | 106 |
| LP0,5 | 66.3 | 103 |
| LP0,4 | 51.1 | 99 |
| LP0,3 | 36.0 | 92 |
| LP0,2 | 21.8 | 74 |
| Normalized Main Peak Spectral Position | 1st Sidelobe (nm) | 2nd Sidelobe (nm) | 3rd Sidelobe (nm) | |
|---|---|---|---|---|
| LP0,5 | 0 | 24.22 | Not visible | Not visible |
| LP0,4 | 0 | 24.22 | 44.44 | Not visible |
| LP0,3 | 0 | 27.66 | 50.78 | 69.22 |
| LP0,2 | 0 | 55.33 | Out of OSA | Out of OSA |
Publisher’s Note: MDPI stays neutral with regard to jurisdictional claims in published maps and institutional affiliations. |
© 2022 by the authors. Licensee MDPI, Basel, Switzerland. This article is an open access article distributed under the terms and conditions of the Creative Commons Attribution (CC BY) license (https://creativecommons.org/licenses/by/4.0/).
Share and Cite
Dey, T.K.; Tombelli, S.; Roy, A.; Biswas, P.; Giannetti, A.; Basumallick, N.; Baldini, F.; Bandyopadhyay, S.; Trono, C. Sensitivity Analysis of Sidelobes of the Lowest Order Cladding Mode of Long Period Fiber Gratings at Turn Around Point. Sensors 2022, 22, 2965. https://doi.org/10.3390/s22082965
Dey TK, Tombelli S, Roy A, Biswas P, Giannetti A, Basumallick N, Baldini F, Bandyopadhyay S, Trono C. Sensitivity Analysis of Sidelobes of the Lowest Order Cladding Mode of Long Period Fiber Gratings at Turn Around Point. Sensors. 2022; 22(8):2965. https://doi.org/10.3390/s22082965
Chicago/Turabian StyleDey, Tanoy Kumar, Sara Tombelli, Arpan Roy, Palas Biswas, Ambra Giannetti, Nandini Basumallick, Francesco Baldini, Somnath Bandyopadhyay, and Cosimo Trono. 2022. "Sensitivity Analysis of Sidelobes of the Lowest Order Cladding Mode of Long Period Fiber Gratings at Turn Around Point" Sensors 22, no. 8: 2965. https://doi.org/10.3390/s22082965
APA StyleDey, T. K., Tombelli, S., Roy, A., Biswas, P., Giannetti, A., Basumallick, N., Baldini, F., Bandyopadhyay, S., & Trono, C. (2022). Sensitivity Analysis of Sidelobes of the Lowest Order Cladding Mode of Long Period Fiber Gratings at Turn Around Point. Sensors, 22(8), 2965. https://doi.org/10.3390/s22082965

