Movement Quality Parameters during Gait Assessed by a Single Accelerometer in Subjects with Osteoarthritis and Following Total Joint Arthroplasty
Abstract
:1. Introduction
2. Materials and Methods
2.1. Study Design and Study Sample
2.2. Data Acquisition
2.3. Data Processing
- We determined the average step and stride times by computing the autocorrelation signal from the VT acceleration signal, with the average step and stride time being the first and second dominant peak after zero-phase, respectively;
- We filtered the AP acceleration signal and detected the maximum peaks. Filter properties: 2nd order Butterworth filter, Cut-off frequency 3 Hz, filtered in both directions;
- We retained the highest peaks, at least the average step time ±10 samples separated from each other;
- We imposed that the target peak in the raw AP acceleration signal should fall after the peak from the filtered signal. Therefore, we designed a “relevance window” with the lower bound being the time instance of the peak found in the filtered signal and the upper bound being the time instance of the peak plus 15 samples. Within that relevance window, the correct signal maximum of the AP acceleration was found;
- All trials were manually checked. The peak finder threshold was manually lowered or increased when errors were spotted (e.g., steps not detected).
2.4. Movement Quality Parameters
2.5. Statistical Analysis
3. Results
3.1. Preoperative Cohort Comparison
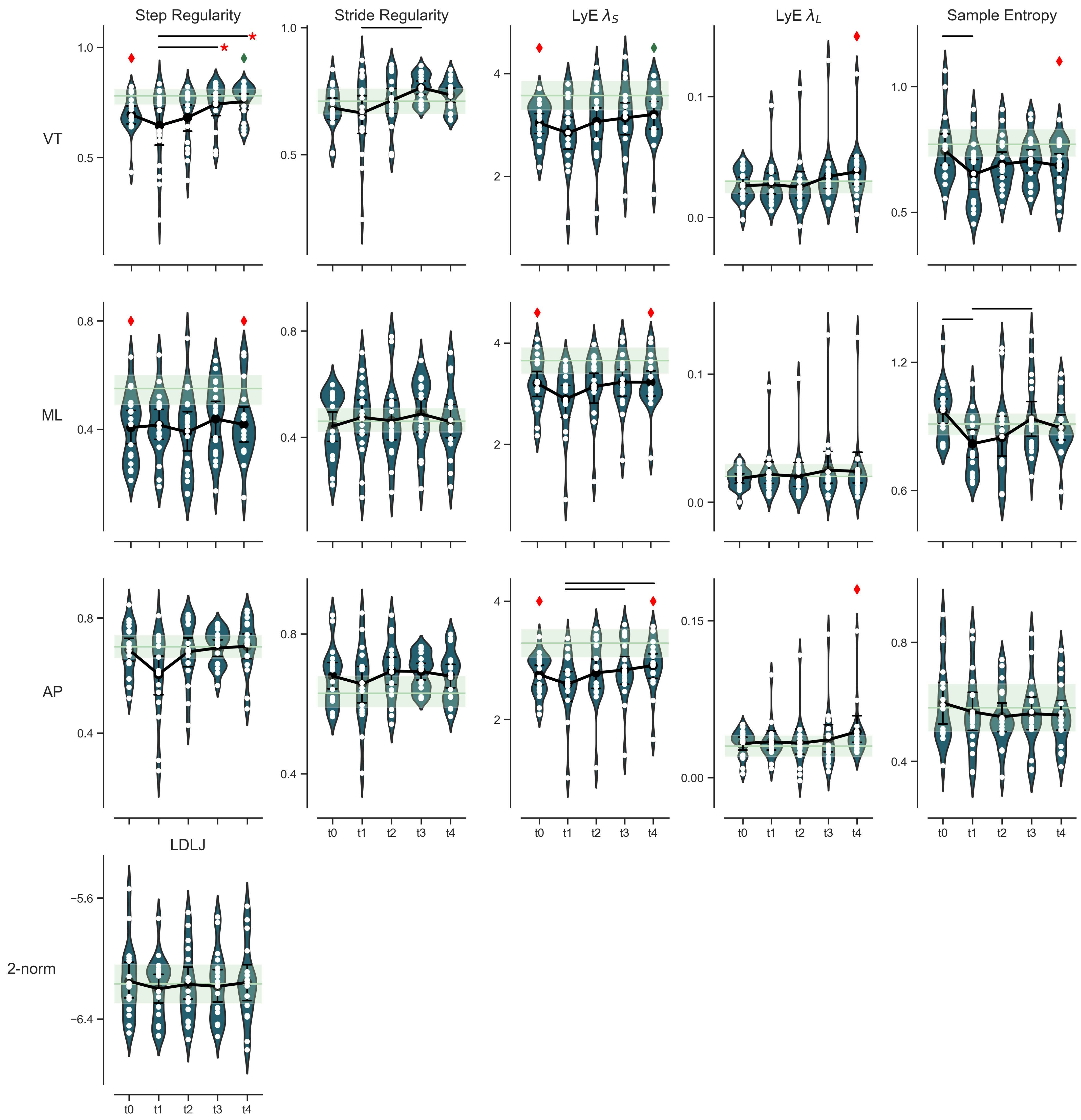
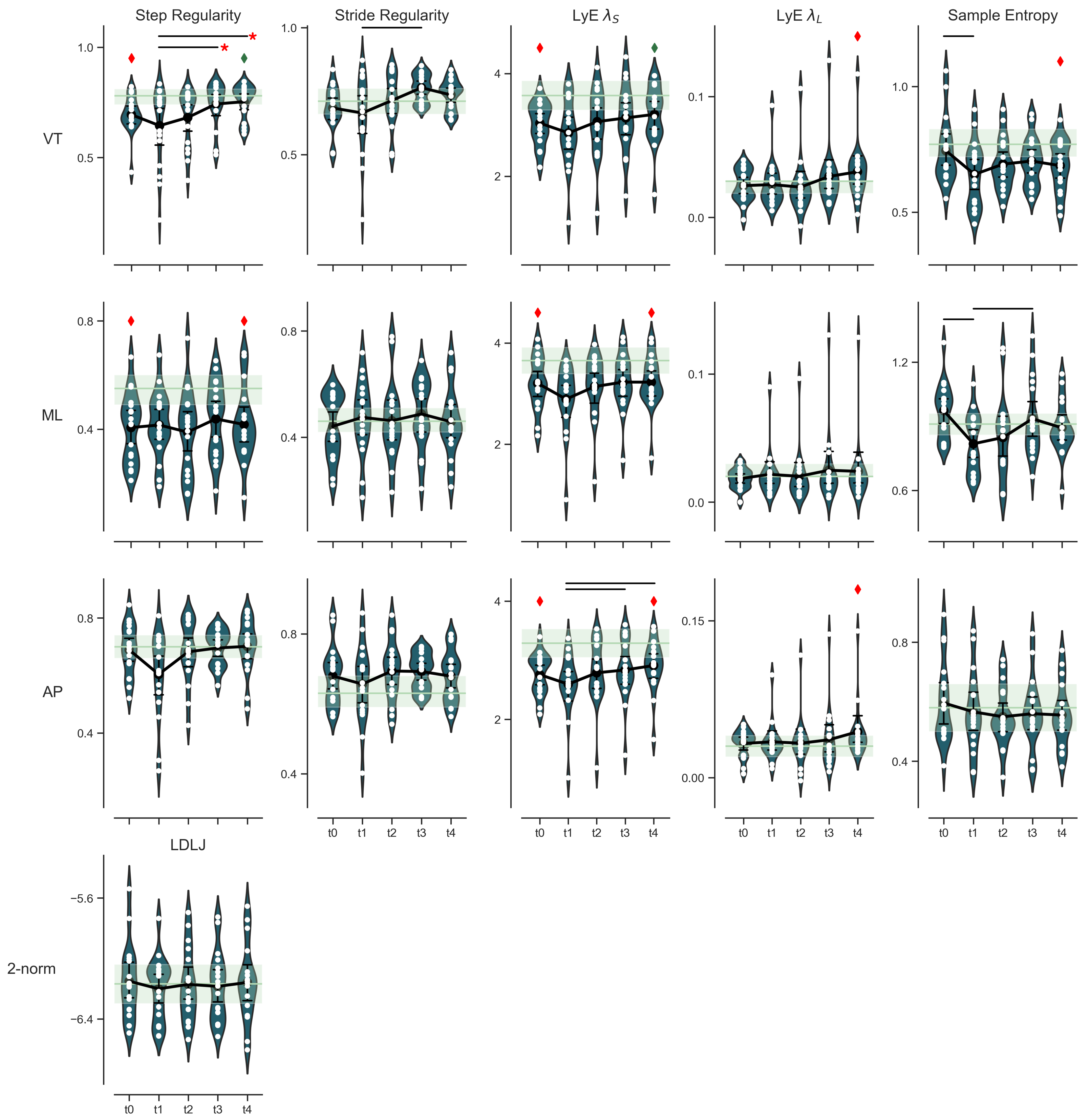
3.2. Longitudinal Follow-Up Following TKA
3.3. Correlations
4. Discussion
5. Conclusions
Author Contributions
Funding
Institutional Review Board Statement
Informed Consent Statement
Data Availability Statement
Conflicts of Interest
Abbreviations
| OA | Osteoarthritis |
| TKA | Total knee arthroplasty |
| IMU | Inertial measurement unit |
| PROM | Patient-reported outcome measures |
| LDLJ | Log dimensionless jerk |
| LyE | Short-term divergence exponent |
| LyE | Long-term divergence exponent |
| VT | Vertical |
| ML | Mediolateral |
| AP | Anterior-posterior |
| Post-TKA | Post total knee arthroplasty |
| Pre-TKA | before total knee arthroplasty |
| KOOS | Knee Injury Osteoarthritis Outcome Score |
| HOOS | Hip disability Osteoarthritis Outcome Score |
| MDC | Minimal detectable change |
References
- Woolf, A.D.; Pfleger, B. Burden of major musculoskeletal conditions. Bull. World Health Organ. 2003, 81, 646–656. [Google Scholar] [PubMed]
- Hodt-Billington, C.; Helbostad, J.L.; Vervaat, W.; Rognsvåg, T.; Moe-Nilssen, R. Changes in gait symmetry, gait velocity and self-reported function following total hip replacement. In Measures of Symmetry in Gait. Methodological Principles and Clinical Choices; University of Bergen: Bergen, Norway, 2011. [Google Scholar]
- Mills, K.; Hunt, M.A.; Ferber, R. Biomechanical deviations during level walking associated with knee osteoarthritis: A systematic review and meta-analysis. Arthritis Care Res. 2013, 65, 1643–1665. [Google Scholar] [CrossRef] [PubMed] [Green Version]
- Meyer, C.A.; Corten, K.; Fieuws, S.; Deschamps, K.; Monari, D.; Wesseling, M.; Simon, J.P.; Desloovere, K. Biomechanical gait features associated with hip osteoarthritis: Towards a better definition of clinical hallmarks. J. Orthop. Res. 2015, 33, 1498–1507. [Google Scholar] [CrossRef] [PubMed]
- Felson, D.T. Osteoarthritis as a disease of mechanics. Osteoarthr. Cartil. 2013, 21, 10–15. [Google Scholar] [CrossRef] [Green Version]
- Saxby, D.; Lloyd, D. Osteoarthritis year in review 2016: Mechanics. Osteoarthr. Cartil. 2017, 25, 190–198. [Google Scholar] [CrossRef] [Green Version]
- Kolk, S.; Minten, M.J.; van Bon, G.E.; Rijnen, W.H.; Geurts, A.C.; Verdonschot, N.; Weerdesteyn, V. Gait and gait-related activities of daily living after total hip arthroplasty: A systematic review. Clin. Biomech. 2014, 29, 705–718. [Google Scholar] [CrossRef]
- Ewen, A.M.; Stewart, S.; Gibson, A.S.C.; Kashyap, S.N.; Caplan, N. Post-operative gait analysis in total hip replacement patients—A review of current literature and meta-analysis. Gait Posture 2012, 36, 1–6. [Google Scholar] [CrossRef]
- Foucher, K.C.; Hurwitz, D.E.; Wimmer, M.A. Preoperative gait adaptations persist one year after surgery in clinically well-functioning total hip replacement patients. J. Biomech. 2007, 40, 3432–3437. [Google Scholar] [CrossRef]
- Milner, C.E. Is gait normal after total knee arthroplasty? Systematic review of the literature. J. Orthop. Sci. 2009, 14, 114–120. [Google Scholar] [CrossRef]
- Levinger, P.; Menz, H.B.; Morrow, A.D.; Perrott, M.A.; Bartlett, J.R.; Feller, J.A.; Bergman, N.B. Knee biomechanics early after knee replacement surgery predict abnormal gait patterns 12 months postoperatively. J. Orthop. Res. 2012, 30, 371–376. [Google Scholar] [CrossRef]
- Benson, L.C.; Clermont, C.A.; Bošnjak, E.; Ferber, R. The use of wearable devices for walking and running gait analysis outside of the lab: A systematic review. Gait Posture 2018, 63, 124–138. [Google Scholar] [CrossRef] [PubMed]
- Kobsar, D.; Masood, Z.; Khan, H.; Khalil, N.; Kiwan, M.Y.; Ridd, S.; Tobis, M. Wearable inertial sensors for gait analysis in adults with osteoarthritis—A scoping review. Sensors 2020, 20, 7143. [Google Scholar] [CrossRef] [PubMed]
- Zijlstra, W.; Hof, A.L. Assessment of spatio-temporal gait parameters from trunk accelerations during human walking. Gait Posture 2003, 18, 1–10. [Google Scholar] [CrossRef] [Green Version]
- Moe-Nilssen, R.; Helbostad, J.L. Estimation of gait cycle characteristics by trunk accelerometry. J. Biomech. 2004, 37, 121–126. [Google Scholar] [CrossRef]
- Moraiti, C.; Stergiou, N.; Ristanis, S.; Georgoulis, A.D. ACL deficiency affects stride-to-stride variability as measured using nonlinear methodology. Knee Surg. Sports Traumatol. Arthrosc. 2007, 15, 1406–1413. [Google Scholar] [CrossRef]
- Stergiou, N.; Decker, L.M. Human movement variability, nonlinear dynamics, and pathology: Is there a connection? Hum. Mov. Sci. 2011, 30, 869–888. [Google Scholar] [CrossRef] [Green Version]
- de Oliveira, E.A.; Andrade, A.O.; Vieira, M.F. Linear and nonlinear measures of gait variability after anterior cruciate ligament reconstruction. J. Electromyogr. Kinesiol. 2019, 46, 21–27. [Google Scholar] [CrossRef]
- Beck, Y.; Herman, T.; Brozgol, M.; Giladi, N.; Mirelman, A.; Hausdorff, J.M. SPARC: A new approach to quantifying gait smoothness in patients with Parkinson’s disease. J. Neuroeng. Rehabil. 2018, 15, 1–9. [Google Scholar] [CrossRef]
- Riva, F.; Toebes, M.; Pijnappels, M.; Stagni, R.; Van Dieën, J. Estimating fall risk with inertial sensors using gait stability measures that do not require step detection. Gait Posture 2013, 38, 170–174. [Google Scholar] [CrossRef] [Green Version]
- Van Schooten, K.S.; Pijnappels, M.; Rispens, S.M.; Elders, P.J.; Lips, P.; Daffertshofer, A.; Beek, P.J.; Van Dieen, J.H. Daily-life gait quality as predictor of falls in older people: A 1-year prospective cohort study. PLoS ONE 2016, 11, e0158623. [Google Scholar] [CrossRef]
- Balasubramanian, S.; Melendez-Calderon, A.; Roby-Brami, A.; Burdet, E. On the analysis of movement smoothness. J. Neuroeng. Rehabil. 2015, 12, 1–11. [Google Scholar] [CrossRef] [PubMed]
- Pinto, C.; Schuch, C.P.; Balbinot, G.; Salazar, A.P.; Hennig, E.M.; Kleiner, A.F.R.; Pagnussat, A.S. Movement smoothness during a functional mobility task in subjects with Parkinson’s disease and freezing of gait–an analysis using inertial measurement units. J. Neuroeng. Rehabil. 2019, 16, 1–14. [Google Scholar] [CrossRef] [PubMed] [Green Version]
- Dalton, A.; Khalil, H.; Busse, M.; Rosser, A.; van Deursen, R.; ÓLaighin, G. Analysis of gait and balance through a single triaxial accelerometer in presymptomatic and symptomatic Huntington’s disease. Gait Posture 2013, 37, 49–54. [Google Scholar] [CrossRef] [PubMed]
- Pau, M.; Mandaresu, S.; Pilloni, G.; Porta, M.; Coghe, G.; Marrosu, M.G.; Cocco, E. Smoothness of gait detects early alterations of walking in persons with multiple sclerosis without disability. Gait Posture 2017, 58, 307–309. [Google Scholar] [CrossRef] [PubMed]
- Pincus, S.M.; Goldberger, A.L. Physiological time-series analysis: What does regularity quantify? Am. J. Physiol.-Heart Circ. Physiol. 1994, 266, H1643–H1656. [Google Scholar] [CrossRef] [PubMed]
- Fregly, B.J.; Besier, T.F.; Lloyd, D.G.; Delp, S.L.; Banks, S.A.; Pandy, M.G.; D’lima, D.D. Grand challenge competition to predict in vivo knee loads. J. Orthop. Res. 2012, 30, 503–513. [Google Scholar] [CrossRef] [Green Version]
- Roetenberg, D.; Luinge, H.; Slycke, P. Xsens MVN: Full 6DOF Human Motion Tracking Using Miniature Inertial Sensors; Technical Report; Xsens Motion Technologies BV: Enschede, The Netherlands, 2009; Volume 1, pp. 1–7. [Google Scholar]
- Moe-Nilssen, R. A new method for evaluating motor control in gait under real-life environmental conditions. Part 2: Gait analysis. Clin. Biomech. 1998, 13, 328–335. [Google Scholar] [CrossRef]
- Breniere, Y.; Do, M. When and how does steady state gait movement induced from upright posture begin? J. Biomech. 1986, 19, 1035–1040. [Google Scholar] [CrossRef]
- Preatoni, E.; Ferrario, M.; Donà, G.; Hamill, J.; Rodano, R. Motor variability in sports: A non-linear analysis of race walking. J. Sports Sci. 2010, 28, 1327–1336. [Google Scholar] [CrossRef] [Green Version]
- Schütte, K.H.; Maas, E.A.; Exadaktylos, V.; Berckmans, D.; Venter, R.E.; Vanwanseele, B. Wireless tri-axial trunk accelerometry detects deviations in dynamic center of mass motion due to running-induced fatigue. PLoS ONE 2015, 10, e0141957. [Google Scholar] [CrossRef] [Green Version]
- Rosenstein, M.T.; Collins, J.J.; De Luca, C.J. A practical method for calculating largest Lyapunov exponents from small data sets. Phys. D Nonlin. Phenom. 1993, 65, 117–134. [Google Scholar] [CrossRef]
- Bruijn, S.M.; Ten Kate, W.R.T.; Faber, G.S.; Meijer, O.G.; Beek, P.J.; van Dieën, J.H. Estimating dynamic gait stability using data from non-aligned inertial sensors. Ann. Biomed. Eng. 2010, 38, 2588–2593. [Google Scholar] [CrossRef] [PubMed] [Green Version]
- Terrier, P.; Reynard, F. Maximum Lyapunov exponent revisited: Long-term attractor divergence of gait dynamics is highly sensitive to the noise structure of stride intervals. Gait Posture 2018, 66, 236–241. [Google Scholar] [CrossRef] [PubMed] [Green Version]
- Bruijn, S.M.; Meijer, O.; Beek, P.; van Dieen, J.H. Assessing the stability of human locomotion: A review of current measures. J. R. Soc. Interface 2013, 10, 20120999. [Google Scholar] [CrossRef] [PubMed]
- Yentes, J.M.; Hunt, N.; Schmid, K.K.; Kaipust, J.P.; McGrath, D.; Stergiou, N. The appropriate use of approximate entropy and sample entropy with short data sets. Ann. Biomed. Eng. 2013, 41, 349–365. [Google Scholar] [CrossRef] [PubMed]
- Richman, J.S.; Moorman, J.R. Physiological time-series analysis using approximate entropy and sample entropy. Am. J. Physiol.-Heart Circ. Physiol. 2000, 278, H2039–H2049. [Google Scholar] [CrossRef] [Green Version]
- Melendez-Calderon, A.; Shirota, C.; Balasubramanian, S. Estimating movement smoothness from inertial measurement units. Front. Bioeng. Biotechnol. 2021, 8, 1507. [Google Scholar] [CrossRef]
- Portney, L.G.; Watkins, M.P. Foundations of Clinical Research: Applications to Practice; Pearson/Prentice Hall: Upper Saddle River, NJ, USA, 2009; Volume 892. [Google Scholar]
- Virtanen, P.; Gommers, R.; Oliphant, T.E.; Haberland, M.; Reddy, T.; Cournapeau, D.; Burovski, E.; Peterson, P.; Weckesser, W.; Bright, J.; et al. SciPy 1.0: Fundamental algorithms for scientific computing in Python. Nat. Methods 2020, 17, 261–272. [Google Scholar] [CrossRef] [Green Version]
- Wilson, J.A.; Kobsar, D. Osteoarthritis year in review 2020: Mechanics. Osteoarthr. Cartil. 2021, 29, 161–169. [Google Scholar] [CrossRef]
- Iijima, H.; Eguchi, R.; Aoyama, T.; Takahashi, M. Trunk movement asymmetry associated with pain, disability, and quadriceps strength asymmetry in individuals with knee osteoarthritis: A cross-sectional study. Osteoarthr. Cartil. 2019, 27, 248–256. [Google Scholar] [CrossRef] [Green Version]
- Watelain, E.; Dujardin, F.; Babier, F.; Dubois, D.; Allard, P. Pelvic and lower limb compensatory actions of subjects in an early stage of hip osteoarthritis. Arch. Phys. Med. Rehabil. 2001, 82, 1705–1711. [Google Scholar] [CrossRef] [PubMed] [Green Version]
- Zampeli, F.; Moraiti, C.O.; Xergia, S.; Tsiaras, V.A.; Stergiou, N.; Georgoulis, A.D. Stride-to-stride variability is altered during backward walking in anterior cruciate ligament deficient patients. Clin. Biomech. 2010, 25, 1037–1041. [Google Scholar] [CrossRef] [PubMed]
- Hoogkamer, W.; Bruijn, S.M.; Sunaert, S.; Swinnen, S.P.; Van Calenbergh, F.; Duysens, J. Toward new sensitive measures to evaluate gait stability in focal cerebellar lesion patients. Gait Posture 2015, 41, 592–596. [Google Scholar] [CrossRef] [PubMed]
- Su, J.L.S.; Dingwell, J.B. Dynamic stability of passive dynamic walking on an irregular surface. J. Biomech. Eng. 2007, 129, 802–810. [Google Scholar] [CrossRef] [PubMed]
- Tochigi, Y.; Segal, N.A.; Vaseenon, T.; Brown, T.D. Entropy analysis of tri-axial leg acceleration signal waveforms for measurement of decrease of physiological variability in human gait. J. Orthop. Res. 2012, 30, 897–904. [Google Scholar] [CrossRef] [Green Version]
- Sejdić, E.; Lowry, K.A.; Bellanca, J.; Redfern, M.S.; Brach, J.S. A comprehensive assessment of gait accelerometry signals in time, frequency and time-frequency domains. IEEE Trans. Neural Syst. Rehabil. Eng. 2013, 22, 603–612. [Google Scholar] [CrossRef]
- TenBroek, T.; Van Emmerik, R.; Hasson, C.; Hamill, J. Lyapunov exponent estimation for human gait acceleration signals. J. Biomech. 2007, 40, S210. [Google Scholar] [CrossRef]



| Healthy Population | Patient Population | |
|---|---|---|
| Inclusion |
|
|
| Exclusion |
|
|
| Control | Hip OA | Knee OA | Knee OA | Knee OA | Knee OA | Knee OA | |
|---|---|---|---|---|---|---|---|
| t0 | t0 1 | t0 1 | t1 1 | t2 1 | t3 1 | t4 1 | |
| Mass (kg) | 70.8 (14.2) | 75.4 (11.6) | 79.8 (8.2) | 79.8 (8.5) | |||
| Height (m) | 1.70 (0.08) | 1.75 (0.09) | 1.75 (0.08) | 1.75 (0.08) | |||
| Age (years) | 62.7 (8.5) | 63.1 (6.2) | 65.1 (5.1) | 64.7 (4.9) | |||
| Sex (M/F) | 9/11 | 11/9 | 11/7 | 10/7 | |||
| PROM 1 | |||||||
| Pain | 95.35 (6.1) | 50.85 (11.85) | 49.77 (13.89) | 54.34 (14.89) | 63.25 (16.04) | 78.99 (16.52) | 78.04 (14.43) |
| Symptoms | 96.9 (5.5) | 52.25 (17.9) | 50.89 (22.90) | 52.32 (12.02) | 59.82 (13.97) | 69.34 (16.00) | 80.06 (13.83) |
| ADL | 98.7 (2.55) | 56.4 (15.45) | 60.17 (17.92) | 62.38 (14.03) | 73.15 (16.13) | 82.52 (14.94) | 87.38 (12.66) |
| Sport | 93.3 (9.2) | 24.05 (23.2) | 29.44 (26.64) | 18.96 (21.25) | 31.18 (16.65) | 47.81 (25.32) | 55.31 (27.00) |
| QOL | 92.05 (9.8) | 27.95 (15.85) | 31.25 (17.06) | 39.58 (17.34) | 42.71 (15.27) | 57.29 (16.61) | 61.98 (17.16) |
| Asymptomatic Controls | Hip OA | Knee OA | ||||||||
|---|---|---|---|---|---|---|---|---|---|---|
| avg t0 | avg t1 | ICC | MDC | avg t0 | Diff | p-Value | avg t0 | Diff | p-Value | |
| VT | ||||||||||
| StepRegularity | 0.78 | 0.77 | 0.89 | 0.05 | 0.64 | 0.13 | <0.001 | 0.70 | 0.08 | <0.01 |
| StrideRegularity | 0.71 | 0.71 | 0.79 | 0.12 | 0.63 | 0.08 | 0.02 | 0.69 | 0.02 | 0.23 |
| SampEn | 0.77 | 0.85 | 0.75 | 0.20 | 0.73 | 0.05 | 0.08 | 0.75 | 0.03 | 0.21 |
| LyE | 3.57 | 3.47 | 0.70 | 0.85 | 3.31 | 0.27 | 0.09 | 3.05 | 0.52 | <0.01 |
| LyE | 0.03 | 0.03 | 0.02 | 0.06 | 0.02 | 0.00 | 0.26 | 0.03 | 0.00 | 0.45 |
| ML | ||||||||||
| StepRegularity | 0.55 | 0.55 | 0.79 | 0.15 | 0.38 | 0.17 | <0.01 | 0.41 | 0.14 | <0.001 |
| StrideRegularity | 0.46 | 0.48 | 0.49 | 0.27 | 0.42 | 0.04 | 0.16 | 0.44 | 0.02 | 0.31 |
| SampEn | 0.91 | 0.95 | 0.80 | 0.13 | 0.87 | 0.04 | 0.31 | 0.97 | 0.07 | 0.07 |
| LyE | 3.65 | 3.67 | 0.80 | 0.56 | 3.32 | 0.33 | 0.04 | 3.23 | 0.42 | 0.02 |
| LyE | 0.02 | 0.02 | −0.41 | 0.07 | 0.02 | 0.00 | 0.46 | 0.02 | 0.00 | 0.37 |
| AP | ||||||||||
| StepRegularity | 0.70 | 0.70 | 0.87 | 0.05 | 0.60 | 0.10 | 0.02 | 0.68 | 0.02 | 0.28 |
| StrideRegularity | 0.63 | 0.61 | 0.78 | 0.11 | 0.63 | 0.00 | 0.48 | 0.67 | 0.04 | 0.12 |
| SampEn | 0.58 | 0.60 | 0.91 | 0.09 | 0.64 | 0.06 | 0.06 | 0.60 | 0.02 | 0.20 |
| LyE | 3.29 | 3.28 | 0.86 | 0.38 | 3.01 | 0.27 | 0.05 | 2.78 | 0.51 | <0.01 |
| LyE | 0.03 | 0.03 | −0.86 | 0.10 | 0.03 | 0.00 | 0.20 | 0.03 | 0.00 | 0.29 |
| Norm vector | ||||||||||
| LDLJ | −6.17 | −6.10 | 0.90 | 0.14 | −6.23 | 0.06 | 0.24 | −6.16 | 0.00 | 0.48 |
| Pain | ADL | QOL | Symptoms | Sports/Rec | ||||||
|---|---|---|---|---|---|---|---|---|---|---|
| p-Value | p-Value | p-Value | p-Value | p-Value | ||||||
| VT | ||||||||||
| StepRegularity | −0.15 | 0.55 | −0.28 | 0.28 | 0.06 | 0.83 | −0.32 | 0.21 | −0.40 | 0.13 |
| StrideRegularity | −0.11 | 0.69 | 0.05 | 0.84 | 0.16 | 0.55 | −0.01 | 0.96 | −0.16 | 0.57 |
| SampEn | 0.19 | 0.46 | 0.18 | 0.49 | 0.09 | 0.74 | 0.28 | 0.27 | −0.16 | 0.57 |
| LyE | 0.34 | 0.19 | 0.34 | 0.18 | 0.38 | 0.14 | 0.16 | 0.55 | 0.05 | 0.86 |
| LyE | −0.08 | 0.76 | −0.04 | 0.87 | −0.14 | 0.59 | —0.43 | 0.09 | −0.08 | 0.77 |
| ML | ||||||||||
| StepRegularity | −0.00 | 0.99 | 0.07 | 0.78 | 0.09 | 0.74 | −0.01 | 0.98 | −0.27 | 0.32 |
| StrideRegularity | 0.04 | 0.89 | 0.18 | 0.50 | 0.08 | 0.77 | 0.27 | 0.29 | −0.25 | 0.37 |
| SampEn | 0.11 | 0.69 | 0.05 | 0.85 | 0.47 | 0.05 | 0.24 | 0.36 | 0.09 | 0.76 |
| LyE | 0.51 | 0.03 | 0.43 | 0.08 | 0.43 | 0.09 | 0.15 | 0.56 | −0.05 | 0.85 |
| LyE | −0.10 | 0.71 | −0.02 | 0.93 | −0.39 | 0.12 | −0.17 | 0.52 | —0.56 | 0.03 |
| AP | ||||||||||
| StepRegularity | 0.28 | 0.28 | 0.26 | 0.32 | 0.48 | 0.05 | −0.08 | 0.76 | −0.05 | 0.85 |
| StrideRegularity | −0.06 | 0.82 | 0.19 | 0.46 | 0.15 | 0.58 | 0.11 | 0.66 | −0.26 | 0.34 |
| SampEn | 0.00 | 0.99 | −0.27 | 0.30 | −0.22 | 0.40 | −0.23 | 0.37 | −0.09 | 0.75 |
| LyE | 0.54 | 0.03 | 0.55 | 0.02 | 0.48 | 0.05 | 0.28 | 0.28 | 0.11 | 0.69 |
| LyE | −0.17 | 0.52 | 0.13 | 0.62 | −0.07 | 0.78 | −0.10 | 0.69 | —0.40 | 0.14 |
| 2-norm | ||||||||||
| LDLJ | −0.05 | 0.85 | 0.06 | 0.82 | 0.10 | 0.71 | 0.15 | 0.57 | —0.51 | 0.05 |
Publisher’s Note: MDPI stays neutral with regard to jurisdictional claims in published maps and institutional affiliations. |
© 2022 by the authors. Licensee MDPI, Basel, Switzerland. This article is an open access article distributed under the terms and conditions of the Creative Commons Attribution (CC BY) license (https://creativecommons.org/licenses/by/4.0/).
Share and Cite
Emmerzaal, J.; Corten, K.; van der Straaten, R.; De Baets, L.; Van Rossom, S.; Timmermans, A.; Jonkers, I.; Vanwanseele, B. Movement Quality Parameters during Gait Assessed by a Single Accelerometer in Subjects with Osteoarthritis and Following Total Joint Arthroplasty. Sensors 2022, 22, 2955. https://doi.org/10.3390/s22082955
Emmerzaal J, Corten K, van der Straaten R, De Baets L, Van Rossom S, Timmermans A, Jonkers I, Vanwanseele B. Movement Quality Parameters during Gait Assessed by a Single Accelerometer in Subjects with Osteoarthritis and Following Total Joint Arthroplasty. Sensors. 2022; 22(8):2955. https://doi.org/10.3390/s22082955
Chicago/Turabian StyleEmmerzaal, Jill, Kristoff Corten, Rob van der Straaten, Liesbet De Baets, Sam Van Rossom, Annick Timmermans, Ilse Jonkers, and Benedicte Vanwanseele. 2022. "Movement Quality Parameters during Gait Assessed by a Single Accelerometer in Subjects with Osteoarthritis and Following Total Joint Arthroplasty" Sensors 22, no. 8: 2955. https://doi.org/10.3390/s22082955
APA StyleEmmerzaal, J., Corten, K., van der Straaten, R., De Baets, L., Van Rossom, S., Timmermans, A., Jonkers, I., & Vanwanseele, B. (2022). Movement Quality Parameters during Gait Assessed by a Single Accelerometer in Subjects with Osteoarthritis and Following Total Joint Arthroplasty. Sensors, 22(8), 2955. https://doi.org/10.3390/s22082955

