Event-Triggered Dynamic Coverage Control for Multiple Stratospheric Airships
Abstract
:1. Introduction
2. Preliminaries
2.1. Notations and Lemmas
2.2. System Description
2.3. APF Method
2.4. Control Objective
- (1)
- Several potential functions are designed based on the demands of the dynamic coverage mission;
- (2)
- Virtual control laws and are designed to guarantee that all members of the MSA system can be guided to the global minimum point, to end up covering the target region or detecting the moving target;
- (3)
- The influence of location information processing delay can be eliminated by the AR model;
- (4)
- The problems of external disturbances and input saturation can be solved by the control scheme; and
- (5)
- The control frequency of the actuator can be reduced by the control scheme.
3. Main Results
- (1)
- The APF method is introduced to provide a guidance method to guide airships to achieve the missions of dynamic coverage, in which the MSA system is supposed to cover the target region to monitor or observe for the appearance of the specific moving target, and then attain centralized coverage of the moving target if it appears. Considering that some APF generators are moving, the APF is improved to be the artificial dynamic potential field (ADPF) by introducing the velocity term into it to better formulate the potential field;
- (2)
- The location of the moving target is forecast online by means of an AR-based position predictor, considering the processing time delay of the observation results of these moving targets;
- (3)
- To meet the aim of dynamic coverage, an ADPF-based event-triggered adaptive controller is designed, considering the external disturbances and the input saturation. Towards this end, rigorous theoretical analysis for the Lyapunov stability and the exclusion of Zeno behavior are provided.
3.1. Position Prediction of Target
3.2. Dynamic Coverage Potential Field Design
3.2.1. Improved Dynamic Potential Field Design
3.2.2. Region Attractive Potential Function
3.2.3. Mutual Repulsive Potential Function
3.2.4. Mutual Attractive Potential Function
3.2.5. Moving Target Attractive Potential Function
3.3. Virtual Control Law Design
3.4. Event-Triggered Adaptive Tracking Controller Design
4. Stability Analysis
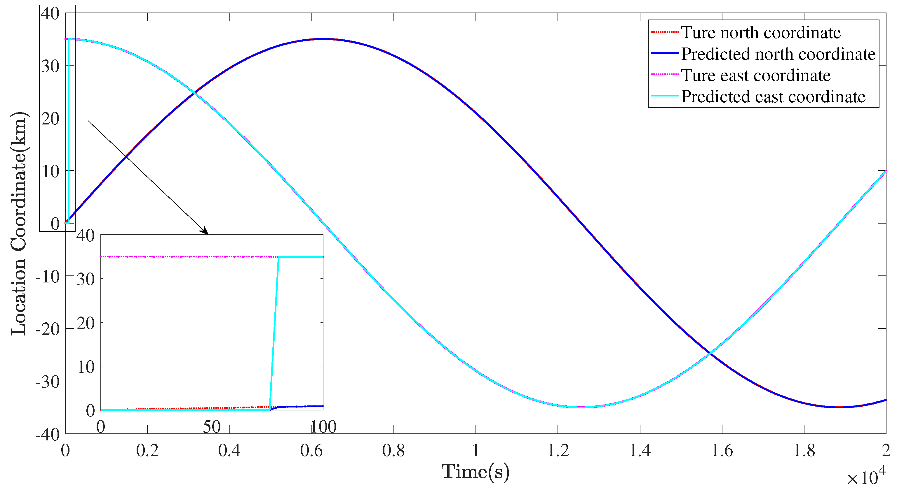
5. Simulation Results
6. Conclusions
Author Contributions
Funding
Institutional Review Board Statement
Informed Consent Statement
Data Availability Statement
Conflicts of Interest
References
- Roney, J.A. Statistical wind analysis for near-space applications. J. Atmos. -Sol.-Terr. Phys. 2007, 69, 1485–1501. [Google Scholar] [CrossRef]
- Arum, S.C.; Grace, D.; Mitchell, P.D. A review of wireless communication using high-altitude platforms for extended coverage and capacity. Comput. Commun. 2020, 157, 232–256. [Google Scholar] [CrossRef]
- Wang, J.; Meng, X.; Wu, G. Path following of the autonomous airship with compensation of unknown wind and modeling uncertainties. Aerosp. Sci. Technol. 2019, 93, 105349. [Google Scholar] [CrossRef]
- Cheng, L.; Zuo, Z.; Song, J.; Liang, X. Robust three-dimensional path-following control for an under-actuated stratospheric airship. Adv. Space Res. 2019, 63, 526–538. [Google Scholar] [CrossRef]
- Liu, S.Q.; Sang, Y.J.; Whidborne, J.F. Adaptive sliding-mode-backstepping trajectory tracking control of underactuated airships. Aerosp. Sci. Technol. 2020, 97, 105610. [Google Scholar] [CrossRef]
- Yang, X.; Yang, X.; Deng, X. Horizontal trajectory control of stratospheric airships in wind field using q-learning algorithm. Aerosp. Sci. Technol. 2020, 106, 106100. [Google Scholar] [CrossRef]
- Wang, J.; Meng, X.; Li, C.; Qiu, W. Analysis of long-endurance station-keeping flight scenarios for stratospheric airships in the presence of thermal effects. Adv. Space Res. 2021, 67, 4121–4141. [Google Scholar] [CrossRef]
- Wang, J.; Meng, X.; Li, C. Recovery trajectory optimization of the solar-powered stratospheric airship for the station-keeping mission. Acta Astronaut. 2021, 178, 159–177. [Google Scholar] [CrossRef]
- Yang, Y.; Wu, J.; Zheng, W. Station-keeping control for a stratospheric airship platform via fuzzy adaptive backstepping approach. Adv. Space Res. 2013, 51, 1157–1167. [Google Scholar] [CrossRef]
- Kim, J.H.; Yoo, S.J. Distributed event-triggered adaptive formation tracking of networked uncertain stratospheric airships using neural networks. IEEE Access 2020, 8, 49977–49988. [Google Scholar] [CrossRef]
- Yu, Z.; Zhang, Y.; Jiang, B.; Su, C.-Y.; Fu, J.; Jin, Y.; Chai, T. Distributed fractional-order intelligent adaptive fault-tolerant formation-containment control of two-layer networked unmanned airships for safe observation of a smart city. IEEE Trans. Cybern. 2021, 99, 1–13. [Google Scholar] [CrossRef] [PubMed]
- Yu, Z.; Zhang, Y.; Jiang, B.; Su, C.-Y.; Fu, J.; Jin, Y.; Chai, T. Distributed adaptive fault-tolerant time-varying formation control of unmanned airships with limited communication ranges against input saturation for smart city observation. IEEE Trans. Neural Networks Learn. Syst. 2021, 1–14. [Google Scholar] [CrossRef] [PubMed]
- Zuo, Z.; Song, J.; Zheng, Z.; Han, Q.-L. A survey on modelling, control and challenges of stratospheric airships. Control. Eng. Pract. 2022, 119, 104979. [Google Scholar] [CrossRef]
- Xiao, J.; Wang, G.; Zhang, Y.; Cheng, L. A distributed multi-agent dynamic area coverage algorithm based on reinforcement learning. IEEE Access 2020, 8, 33511–33521. [Google Scholar] [CrossRef]
- Qu, Y.; Xu, H.; Song, C.; Fan, Y. Coverage control for mobile sensor networks with time-varying communication delays on a closed curve. J. Frankl. Inst. 2020, 357, 12109–12124. [Google Scholar] [CrossRef]
- Abbasi, F.; Mesbahi, A.; Velni, J.M. A new voronoi-based blanket coverage control method for moving sensor networks. IEEE Trans. Control. Syst. Technol. 2019, 27, 409–417. [Google Scholar] [CrossRef]
- Meng, S.; Kan, Z. Deep reinforcement learning-based effective coverage control with connectivity constraints. IEEE Control. Syst. Lett. 2022, 6, 283–288. [Google Scholar] [CrossRef]
- Song, C.; Liu, L.; Feng, G.; Fan, Y.; Xu, S. Coverage control for heterogeneous mobile sensor networks with bounded position measurement errors. Automatica 2020, 120, 109118. [Google Scholar] [CrossRef]
- Atinç, G.M.; Stipanović, D.M.; Voulgaris, P.G. A swarm-based approach to dynamic coverage control of multi-agent systems. Automatica 2020, 112, 108637. [Google Scholar] [CrossRef]
- Song, C.; Fan, Y. Coverage control for mobile sensor networks with limited communication ranges on a circle. Automatica 2018, 92, 155–161. [Google Scholar] [CrossRef]
- Zuo, L.; Chen, J.; Yan, W.; Shi, Y. Time-optimal coverage control for multiple unicycles in a drift field. Inf. Sci. 2016, 373, 571–580. [Google Scholar] [CrossRef]
- Dou, L.; Song, C.; Wang, X.; Liu, L.; Feng, G. Nonuniform coverage control for heterogeneous mobile sensor networks on the line. Automatica 2017, 81, 464–470. [Google Scholar] [CrossRef]
- Hussein, I.I.; Stipanovic, D.M. Effective coverage control for mobile sensor networks with guaranteed collision avoidance. IEEE Trans. Control. Syst. Technol. 2007, 15, 642–657. [Google Scholar] [CrossRef]
- Huang, H.; Savkin, A.V.; Li, X. Reactive autonomous navigation of uavs for dynamic sensing coverage of mobile ground targets. Sensors 2020, 20, 3720. [Google Scholar] [CrossRef] [PubMed]
- Liu, Y.C.; Lin, T.C.; Lin, M.T. Indirect/direct learning coverage control for wireless sensor and mobile robot networks. IEEE Trans. Control. Syst. Technol. 2021, 30, 202–217. [Google Scholar] [CrossRef]
- Yu, D.; Xu, H.; Chen, C.L.P.; Bai, W.; Wang, Z. Dynamic coverage control based on k-means. IEEE Trans. Ind. Electron. 2022, 69, 5333–5341. [Google Scholar] [CrossRef]
- Nigam, N.; Bieniawski, S.; Kroo, I.; Vian, J. Control of multiple uavs for persistent surveillance: Algorithm and flight test results. IEEE Trans. Control. Syst. Technol. 2012, 20, 1236–1251. [Google Scholar] [CrossRef]
- Nigam, N.; Kroo, I. Persistent surveillance using multiple unmanned air vehicles. In Proceedings of the 2008 IEEE Aerospace Conference, Big Sky, MT, USA, 1–8 March 2008; Volume 6, pp. 1–14. [Google Scholar]
- Elmaliach, Y.; Agmon, N.; Kaminka, G.A. Multi-robot area patrol under frequency constraints. In Proceedings of the 2007 IEEE International Conference on Robotics and Automation, Roma, Italy, 10–14 April 2007; Volume 5, pp. 385–390. [Google Scholar]
- Parsa, A.; Monfared, S.B.; Kalhor, A. Backstepping control based on sliding mode for station-keeping of stratospheric airship. In Proceedings of the 2018 6th RSI International Conference on Robotics and Mechatronics (IcRoM), Tehran, Iran, 23–25 October 2018; Volume 8, pp. 554–559. [Google Scholar]
- Zhang, L.; Zhang, Z.; Siegwart, R.; Chung, J.J. Distributed pdop coverage control: Providing large-scale positioning service using a multi-robot system. IEEE Robot. Autom. Lett. 2021, 6, 2217–2224. [Google Scholar] [CrossRef]
- Lin, Z.; Saberi, A. Semi-global exponential stabilization of linear discrete-time systems subject to input saturation via linear feedbacks. In Proceedings of the 1994 American Control Conference—ACC’94, Baltimore, MD, USA, 29 June–1 July 1994; Volume 3, pp. 3152–3156. [Google Scholar]
- Lin, Z.; Saberi, A.; Stoorvogel, A. Semiglobal stabilization of linear discrete-time systems subject to input saturation, via linear feedback-an are-based approach. IEEE Trans. Autom. Control. 1996, 41, 1203–1207. [Google Scholar]
- Zhou, B.; Duan, G.; Lin, Z. A parametric lyapunov equation approach to the design of low gain feedback. IEEE Trans. Autom. Control. 2008, 53, 1548–1554. [Google Scholar] [CrossRef]
- Heemels, W.; Johansson, K.; Tabuada, P. An introduction to event-triggered and self-triggered control. In Proceedings of the 2012 IEEE 51st IEEE Conference on Decision and Control (CDC), Grand, Wailea, 10–13 December 2012; pp. 3270–3285. [Google Scholar]
- Postoyan, R.; Tabuada, P.; Nešić, D.; Anta, A. A framework for the event-triggered stabilization of nonlinear systems. IEEE Trans. Autom. Control. 2015, 60, 982–996. [Google Scholar] [CrossRef] [Green Version]
- Xing, L.; Wen, C.; Liu, Z.; Su, H.; Cai, J. Event-triggered adaptive control for a class of uncertain nonlinear systems. IEEE Trans. Autom. Control. 2017, 62, 2071–2076. [Google Scholar] [CrossRef]
- Polycarpou, M. Stable adaptive neural control scheme for nonlinear systems. IEEE Trans. Autom. Control. 1996, 41, 447–451. [Google Scholar] [CrossRef]
- Young, W.H. On classes of summable functions and their fourier series. Proc. R. Soc. London. Ser. Contain. Pap. Math. Phys. Character 1912, 87, 225–229. [Google Scholar]
- Sun, L.; Zheng, Z. Nonlinear adaptive trajectory tracking control for a stratospheric airship with parametric uncertainty. Nonlinear Dyn. 2015, 82, 1419–1430. [Google Scholar] [CrossRef]
- Baharudin, Z.; Zakariya, M.; HarisMdKhir, M. Ar-based algorithms for short term load forecast. Res. J. Appl. Sci. Eng. Technol. 2014, 7, 1037–1043. [Google Scholar] [CrossRef]
- Dong, W.; Farrell, J.A.; Polycarpou, M.M.; Djapic, V.; Sharma, M. Command filtered adaptive backstepping. IEEE Trans. Control. Syst. Technol. 2012, 20, 566–580. [Google Scholar] [CrossRef]
















| Parameter | Value | Units |
|---|---|---|
| m | kg | |
| ∇ | m | |
| g | 9.8 | m/s |
| kg·m | ||
| Forces & Torque | Value | Units |
|---|---|---|
| [0,5000] | N | |
| [−2000,2000] | N | |
| [−50,000,50,000] | N·m |
Publisher’s Note: MDPI stays neutral with regard to jurisdictional claims in published maps and institutional affiliations. |
© 2022 by the authors. Licensee MDPI, Basel, Switzerland. This article is an open access article distributed under the terms and conditions of the Creative Commons Attribution (CC BY) license (https://creativecommons.org/licenses/by/4.0/).
Share and Cite
Zhang, Y.; Zhu, M.; Chen, T. Event-Triggered Dynamic Coverage Control for Multiple Stratospheric Airships. Sensors 2022, 22, 2734. https://doi.org/10.3390/s22072734
Zhang Y, Zhu M, Chen T. Event-Triggered Dynamic Coverage Control for Multiple Stratospheric Airships. Sensors. 2022; 22(7):2734. https://doi.org/10.3390/s22072734
Chicago/Turabian StyleZhang, Yifei, Ming Zhu, and Tian Chen. 2022. "Event-Triggered Dynamic Coverage Control for Multiple Stratospheric Airships" Sensors 22, no. 7: 2734. https://doi.org/10.3390/s22072734
APA StyleZhang, Y., Zhu, M., & Chen, T. (2022). Event-Triggered Dynamic Coverage Control for Multiple Stratospheric Airships. Sensors, 22(7), 2734. https://doi.org/10.3390/s22072734

