Impact of Li-Ion Battery on System’s Overall Impedance and Received Signal Strength for Power Line Communication (PLC)
Abstract
:1. Introduction
1.1. Health-Monitoring Technology in Energy Storage
1.2. Enabling the Future over Conventional
1.3. Contribution and Paper Organization
2. Preparation, Experimental Setup and Methodology
2.1. Overall Methodology
2.2. Selection of the Li-Ion Cell Type Used in the Experiments
2.3. DC PLC Experimental Coupling Method
2.4. Battery Cell Holders and Connectors
2.5. The Experimental Setup for Impedance (Z)-Measuring Overview
2.6. Received Signal Strength (RSS) Attenuation-Measuring Factors Discussion
2.7. Data Analysis Methods
2.8. Experimental Bounds
3. Experimental Results and Discussion
3.1. Impedance Measurement
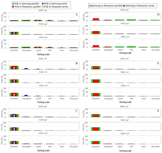
3.2. Impedance Data Analysis
3.3. Received Signal Strength Measurement
3.4. Received Signal Strength Analysis
3.5. Overall Notes
4. Conclusions and Further Work
- System containing no cells with the system containing four full charged cells connected in parallel;
- System containing no cells with the system containing four full charged cells connected in series;
- System containing cells from first brand with the system containing cells from second brand, all in parallel configuration;
- System containing cells from first brand with the system containing cells from second brand, all in series configuration.
Author Contributions
Funding
Institutional Review Board Statement
Informed Consent Statement
Data Availability Statement
Acknowledgments
Conflicts of Interest
References
- Rahimi-Eichi, H.; Ojha, U.; Baronti, F.; Chow, M.-Y. Battery management system: An overview of its application in the smart grid and electric vehicles. IEEE Ind. Electron. Mag. 2013, 7, 4–16. [Google Scholar] [CrossRef]
- Hou, Z.-Y.; Lou, P.-Y.; Wang, C.-C. State of charge, state of health, and state of function monitoring for EV BMS. In Proceedings of the 2017 IEEE International Conference on Consumer Electronics (ICCE), Las Vegas, NV, USA, 8–10 January 2017; pp. 310–311. [Google Scholar]
- Ren, H.; Zhao, Y.; Chen, S.; Wang, T. Design and implementation of a battery management system with active charge balance based on the SOC and SOH online estimation. Energy 2019, 166, 908–917. [Google Scholar] [CrossRef]
- Talie, A.P.; Pribyl, W.A.; Hofer, G. Electric vehicle battery management system using power line communication technique. In Proceedings of the 2018 14th Conference on Ph.D. Research in Microelectronics and Electronics (PRIME), Prague, Czech Republic, 2–5 July 2018; pp. 225–228. [Google Scholar]
- Saleem, M.S. Development of PLC based communication architecture for battery management system. In Proceedings of the 2020 IEEE 91st Vehicular Technology Conference (VTC2020-Spring), Antwerp, Begium, 25–28 May 2020; pp. 1–5. [Google Scholar]
- Huang, X.; Acharya, A.B.; Meng, J.; Sui, X.; Stroe, D.-I.; Teodorescu, R. Wireless Smart Battery Management System for Electric Vehicles. In Proceedings of the IEEE Energy Conversion Congress and Exposition (ECCE), Detroit, MI, USA, 11–15 October 2020; pp. 5620–5625. [Google Scholar]
- Shell, C.; Henderson, J.; Verra, H.; Dyer, J. Implementation of a wireless battery management system (WBMS). In Proceedings of the 2015 IEEE International Instrumentation and Measurement Technology Conference (I2MTC) Proceedings, Pisa, Italy, 11–14 May 2015; pp. 1954–1959. [Google Scholar]
- Koshkouei, M.J.; Kampert, E.; Moore, A.D.; Higgins, M.D. Evaluation of an in situ QAM-based Power Line Communication system for lithium-ion batteries. IET Electr. Syst. Transp. 2021, 12, 15–25. [Google Scholar] [CrossRef]
- Timothy, A.V.; Begum, G.; EH, S.J.; James, M. Development of an in-vehicle power line communication network with in-situ instrumented smart cells. Transp. Eng. 2021, 6, 100098. [Google Scholar]
- Yang, L.; Li, N.; Hu, L.; Wang, S.; Wang, L.; Zhou, J.; Song, W.L.; Sun, L.; Pan, T.S.; Chen, H.S.; et al. Internal field study of 21700 battery based on long-life embedded wireless temperature sensor. Acta Mech. Sin. Xuebao 2021, 37, 895–901. [Google Scholar] [CrossRef]
- Amietszajew, T.; McTurk, E.; Fleming, J.; Bhagat, R. Understanding the limits of rapid charging using instrumented commercial 18650 high-energy Li-ion cells. Electrochim. Acta 2018, 263, 346–352. [Google Scholar] [CrossRef]
- Amietszajew, T.; Fleming, J.; Roberts, A.J.; Widanage, W.D.; Greenwood, D.; Kok, M.D.R.; Pham, M.; Brett, D.J.L.; Shearing, P.R.; Bhagat, R. Hybrid thermo-electrochemical In Situ instrumentation for lithium-ion energy storage. Batter. Supercaps 2019, 2, 934–940. [Google Scholar] [CrossRef] [Green Version]
- Yang, X.G.; Liu, T.; Wang, C.Y. Thermally modulated lithium iron phosphate batteries for mass-market electric vehicles. Nat. Energy 2021, 6, 176–185. [Google Scholar] [CrossRef]
- EN 300 339 V1.1.1 (1998-03); Electromagnetic Compatibility and Radio Spectrum Matters (ERM), General ElectroMagnetic Compatibility (EMC) for radio communications equipment. ETSI: Sophia Antipolis, France, 1998.
- Tonello, A.M.; Pittolo, A. Considerations on narrowband and broadband power line communication for smart grids. In Proceedings of the 2015 IEEE International Conference on Smart Grid Communications (SmartGridComm), Miami, FL, USA, 2–5 November 2015; pp. 13–18. [Google Scholar]
- Ferreira, H.C.; Lampe, L.; Newbury, J.; Swart, T.G. Power line Communications: Theory and Applications for Narrowband and Broadband Communications over Power Lines; John Wiley & Sons: Hoboken, NJ, USA, 2011; ISBN 1119956285. [Google Scholar]
- Lampe, L.; Tonello, A.M.; Swart, T.G. Power Line Communications: Principles, Standards and Applications from Multimedia to Smart Grid; John Wiley & Sons: Hoboken, NJ, USA, 2016; ISBN 1118676718. [Google Scholar]
- Bucci, G.; D’Innocenzo, F.; Dolce, S.; Fiorucci, E.; Ciancetta, F. Power line communication overview of standards and applications. In Proceedings of the XXI IMEKO World Congress Measurement in Research and Industry, Prague, Czech Republic, 30 August–4 September 2015. [Google Scholar]
- Long, N. Frequency bands for short range devices. In Proceedings of the IEE Seminar on Telemetry & Telematics, London, UK, 11 April 2005. [Google Scholar]
- EN 300 330 V2.1.1; Short Range Devices (SRD). Radio Equipment in the Frequency Range 9 kHz to 25 MHz and Inductive Loop Systems in the Frequency Range 9 kHz to 30 MHz; Harmonised Standard Covering the Essential Requirements of Article 3.2 of Directive 2014/53/EU. ETSI: Sophia Antipolis, France, 2018.
- Cohn, G.; Stuntebeck, E.; Pandey, J.; Otis, B.; Abowd, G.D.; Patel, S.N. SNUPI: Sensor nodes utilizing powerline infrastructure. In Proceedings of the 12th ACM international conference on Ubiquitous computing, Copenhagen, Denmark, 26–29 September 2010; pp. 159–168. [Google Scholar]
- Igboamalu, F.N.; Ndjiongue, A.R.; deBeer, A.S.; Ferreira, H.C. Contact-less PLC: Channel analysis and measurements campaign. Telecommun. Syst. 2021, 77, 389–398. [Google Scholar] [CrossRef]
- Pan, Q.W.; Kumar, R. 2.4 GHz propagation characteristics of power line cable. In Proceedings of the 2011 IEEE Symposium on Wireless Technology and Applications (ISWTA), Langkawi, Malaysia, 25–28 September 2011; pp. 133–136.
- Fisahn, S.; Camp, M.; Garbe, H. Transient emission behavior of leaky section cables for wireless applications. In Proceedings of the 2005 International Symposium on Electromagnetic Compatibility, Chicago, IL, USA, 8–12 August 2005; Volume 2, pp. 477–482. [Google Scholar]
- Guo, Y.C.; Zhang, Y.P. Radio propagation along a coupled mode leaky coaxial cable in tunnels. In Proceedings of the 1999 Asia Pacific Microwave Conference. APMC’99. Microwaves Enter the 21st Century. Conference Proceedings (Cat. No. 99TH8473), Singapore, 30 November–3 December 1999; Volume 2, pp. 273–275. [Google Scholar]
- Heddebaut, M. Leaky waveguide for train-to-wayside communication-based train control. IEEE Trans. Veh. Technol. 2008, 58, 1068–1076. [Google Scholar] [CrossRef] [Green Version]
- Zhang, C.; Wang, J.; Chen, M.; Zhang, Z. Radiation characteristic of the leaky circular waveguide with periodic slots. IEEE Antennas Wirel. Propag. Lett. 2012, 11, 503–506. [Google Scholar] [CrossRef]
- Boroumand, L.; Khokhar, R.H.; Bakhtiar, L.A.; Pourvahab, M. A review of techniques to resolve the hidden node problem in wireless networks. SmartCR 2012, 2, 95–110. [Google Scholar] [CrossRef]
- Auzanneau, F. Wire troubleshooting and diagnosis: Review and perspectives. Prog. Electromagn. Res. B 2013, 49, 253–279. [Google Scholar] [CrossRef] [Green Version]
- Schumacher, T.; Stadelmayer, M.; Faseth, T.; Pretl, H. A Review of Ultra-Low-Power and Low-Cost Transceiver Design. In Proceedings of the 2017 Austrochip Workshop on Microelectronics (Austrochip), Linz, Austria, 12 October 2017; pp. 29–34. [Google Scholar] [CrossRef]
- Blanckenstein, J.; Klaue, J.; Karl, H. A survey of low-power transceivers and their applications. IEEE Circuits Syst. Mag. 2015, 15, 6–17. [Google Scholar] [CrossRef]
- Fleming, J.; Amietszajew, T.; Charmet, J.; Roberts, A.J.; Greenwood, D.; Bhagat, R. The design and impact of in-situ and operando thermal sensing for smart energy storage. J. Energy Storage 2019, 22, 36–43. [Google Scholar] [CrossRef]
- McTurk, E.; Amietszajew, T.; Fleming, J.; Bhagat, R. Thermo-electrochemical instrumentation of cylindrical Li-ion cells. J. Power Sour. 2018, 379, 309–316. [Google Scholar] [CrossRef]
- Fleming, J.; Amietszajew, T.; McTurk, E.; Towers, D.P.; Greenwood, D.; Bhagat, R. Development and evaluation of in-situ instrumentation for cylindrical Li-ion cells using fibre optic sensors. HardwareX 2018, 3, 100–109. [Google Scholar] [CrossRef]
- Mousavi, M.; Hoque, S.; Rahnamayan, S.; Dincer, I.; Naterer, G.F. Optimal design of an air-cooling system for a Li-Ion battery pack in Electric Vehicles with a genetic algorithm. In Proceedings of the 2011 IEEE Congress of Evolutionary Computation (CEC), New Orleans, LA, USA, 5–8 June 2011; pp. 1848–1855. [Google Scholar] [CrossRef]
- Ding, Y.; Cano, Z.P.; Yu, A.; Lu, J.; Chen, Z. Automotive Li-ion batteries: Current status and future perspectives. Electrochem. Energy Rev. 2019, 2, 1–28. [Google Scholar] [CrossRef]
- Kim, J.; Lee, S.; Cho, B.H. Discrimination of Li-ion batteries based on Hamming network using discharging–charging voltage pattern recognition for improved state-of-charge estimation. J. Power Sour. 2011, 196, 2227–2240. [Google Scholar] [CrossRef]
- Gümüşsu, E.; Ekici, Ö.; Köksal, M. 3-D CFD modeling and experimental testing of thermal behavior of a Li-Ion battery. Appl. Therm. Eng. 2017, 120, 484–495. [Google Scholar] [CrossRef]
- Kuhn, B.T.; Pitel, G.E.; Krein, P.T. Electrical properties and equalization of lithium-ion cells in automotive applications. In Proceedings of the 2005 IEEE Vehicle Power and Propulsion Conference, Chicago, IL, USA, 7 September 2005; p. 5. [Google Scholar]
- Kim, J.; Lee, P.-Y.; Youn, C.-O.; Na, W.; Jang, M. Environmental tests and evaluations of variable 18650 cylindrical li-ion cells for space cell’s qualification establishment. In Proceedings of the 2017 IEEE Energy Conversion Congress and Exposition (ECCE), Cincinnati, OH, USA, 1–5 October 2017; pp. 1010–1015. [Google Scholar]
- Bolsinger, C.; Brix, J.; Dragan, M.; Birke, K.P. Investigating and modeling the transmission channel of a prismatic lithium-ion cell and module for powerline communication. J. Energy Storage 2017, 10, 11–19. [Google Scholar] [CrossRef]
- Brandl, M.; Kellner, K. Performance evaluation of power-line communication systems for lin-bus based data transmission. Electronics 2021, 10, 85. [Google Scholar] [CrossRef]
- Landinger, T.F.; Schwarzberger, G.; Rose, M.; Dollhaeubl, S.; Hofer, G.; Talei, A.P.; Jossen, A. Power Line Communications in Automotive Traction Batteries: A Proof of Concept. In Proceedings of the 2020 IEEE International Symposium on Power Line Communications and its Applications (ISPLC), Malaga, Spain, 11–13 May 2020; pp. 1–5. [Google Scholar]
- Wang, B.; Cao, Z. A review of impedance matching techniques in power line communications. Electronics 2019, 8, 1022. [Google Scholar] [CrossRef] [Green Version]
- McLaughlin, J.C.; Kaiser, K.L. “Deglorifying” the maximum power transfer theorem and factors in impedance selection. IEEE Trans. Educ. 2007, 50, 251–255. [Google Scholar] [CrossRef]
- Belostotski, L. No noise is good noise: Noise matching, noise canceling, and maybe a bit of both for wide-band LNAs. IEEE Microw. Mag. 2016, 17, 28–40. [Google Scholar] [CrossRef]
- AliExpress 5A 10A Max 4-Wire Test Stand Battery Holder Clip for 26650/18650 AA/AAA/ Button Battery. Available online: https://www.aliexpress.com/item/32996420004.html (accessed on 10 October 2021).
- Prosignal 4 mm Patch Leads with Stackable Plugs (JR9235-1M YELLOW). Available online: http://www.farnell.com/datasheets/3093336.pdf (accessed on 10 October 2021).
- Rohde&Schwarz R&S®ZNLE Vector Network Analyzer. Specifications. Available online: https://scdn.rohde-schwarz.com/ur/pws/dl_downloads/dl_common_library/dl_brochures_and_datasheets/pdf_1/ZNLE_dat-sw_en_5215-1882-22_v0400.pdf (accessed on 10 October 2021).
- Rohde&Schwarz R&S®ZV-Z9x and R&S®ZV-Z19x Test Port Cables Specifications. Available online: https://scdn.rohde-schwarz.com/ur/pws/dl_downloads/dl_common_library/dl_brochures_and_datasheets/pdf_1/ZV-Z9x_ZV-Z19x_dat-sw_en.pdf (accessed on 10 October 2021).
- Rohde&Schwarz Impedance Measurements for Power Delivery Networks. Available online: https://scdn.rohde-schwarz.com/ur/pws/dl_downloads/dl_application/pdfs/ZNL-Impedance-measurements_ac_en_3608-0910-92_v0101.pdf (accessed on 10 October 2021).
- Keysight Technologies Performing Impedance Analysis with the E5061B ENA Vector Network Analyzer. Available online: https://www.keysight.com/gb/en/assets/7018-03423/application-notes/5991-0213.pdf (accessed on 10 October 2021).
- Eisenstadt, W.R.; Eo, Y. S-parameter-based IC interconnect transmission line characterization. IEEE Trans. Compon. Hybrids Manuf. Technol. 1992, 15, 483–490. [Google Scholar] [CrossRef]
- Rohde&Schwarz R&S®SMA100B. User Manual 1178.3834.02—07. Available online: https://scdn.rohde-schwarz.com/ur/pws/dl_downloads/pdm/cl_manuals/user_manual/1178_3834_01/SMA100B_UserManual_en_07.pdf (accessed on 10 October 2021).
- Rohde&Schwarz R&S®FPC1500. User Manual 1178.4130.02—08. Available online: https://www.batronix.com/files/Rohde-&-Schwarz/Spectrum-Analyser/FPC1500/FPC1500_UserManual_en.pdf (accessed on 10 October 2021).
- Akoglu, H. User’s guide to correlation coefficients. Turkish J. Emerg. Med. 2018, 18, 91–93. [Google Scholar] [CrossRef]
- Chok, N.S. Pearson’s Versus Spearman’s and Kendall’s Correlation Coefficients for Continuous Data. Ph.D. Thesis, University of Pittsburgh, Pittsburgh, PA, USA, 2010. [Google Scholar]
- Chai, T.; Draxler, R.R. Root mean square error (RMSE) or mean absolute error (MAE)?–Arguments against avoiding RMSE in the literature. Geosci. Model Dev. 2014, 7, 1247–1250. [Google Scholar] [CrossRef] [Green Version]
- Duffy, A.P.; Martin, A.J.M.; Orlandi, A.; Antonini, G.; Benson, T.M.; Woolfson, M.S. Feature selective validation (FSV) for validation of computational electromagnetics (CEM). part I-the FSV method. IEEE Trans. Electromagn. Compat. 2006, 48, 449–459. [Google Scholar] [CrossRef]
- Orlandi, A.; Duffy, A.P.; Archambeault, B.; Antonini, G.; Coleby, D.E.; Connor, S. Feature selective validation (FSV) for validation of computational electromagnetics (CEM). part II-assessment of FSV performance. IEEE Trans. Electromagn. Compat. 2006, 48, 460–467. [Google Scholar] [CrossRef]
- IEEE Std 1597.1; IEEE Standard for Validation of Computational Electromagnetics Computer Modeling and Simulations. IEEE: New York, NY, USA, 2008; pp. 1–41.
- Azpúrua, M.A.; Páez, E.; Rojas-Mora, J.; Ventosa, O.; Silva, F.; Zhang, G.; Duffy, A.P.; Jauregui, R. A review on the drawbacks and enhancement opportunities of the feature selective validation. IEEE Trans. Electromagn. Compat. 2014, 56, 800–807. [Google Scholar] [CrossRef]
- Zhang, G.; Orlandi, A.; Duffy, A.P.; Wang, L. Comparison of three-dimensional datasets by using the generalized n-dimensional (nD) feature selective validation (FSV) technique. IEEE Trans. Electromagn. Compat. 2016, 59, 103–110. [Google Scholar] [CrossRef]










| FSV Value (Quantitative) | FSV Interpretation (Qualitative) |
|---|---|
| value ≤ 0.1 | Excellent |
| value є (0.1, 0.2] | Very good |
| value є (0.2, 0.4] | Good |
| value є (0.4, 0.8] | Fair |
| value є (0.8, 1.6] | Poor |
| value > 1.6 | Very poor |
| 18650 Li-Ion Cells Impedance Z Comparison: Samsung vs. Panasonic | ||||||
|---|---|---|---|---|---|---|
| Configuration | Parallel | Series | Parallel | Series | Parallel | Series |
| Capacitors | 1 µF | 1 nF | 1 pF | |||
| Correlation | 0.98 | 1 | 1 | 1 | 1 | 1 |
| RMSE | 0.08 | 0.02 | 0.02 | 0.01 | 0.01 | 0.01 |
| 18650 Li-Ion Cells Impedance Z Comparison: PCBs vs. Samsung A, PCBs vs. Panasonic B | ||||||||||||
|---|---|---|---|---|---|---|---|---|---|---|---|---|
| Configuration | Parallel A | Parallel B | Series A | Series B | Parallel A | Parallel B | Series A | Series B | Parallel A | Parallel B | Series A | Series B |
| Capacitors | 1 µF | 1 nF | 1 pF | |||||||||
| Correlation | 0.35 | 0.35 | 0.46 | 0.46 | 0.7 | 0.7 | 0.85 | 0.86 | 0.99 | 0.99 | 0.98 | 0.97 |
| RMSE | 1.07 | 1.08 | 1.08 | 1.08 | 0.19 | 0.18 | 0.14 | 0.14 | 0.02 | 0.02 | 0.03 | 0.03 |
| 18650 Li-Ion Cells Recived Signal Strength RSS Comparison: Samsung vs. Panasonic | ||||||
|---|---|---|---|---|---|---|
| Configuration | Parallel | Series | Parallel | Series | Parallel | Series |
| Capacitors | 1 µF | 1 nF | 1 pF | |||
| Correlation | 0.80 | 0.81 | 0.84 | 0.78 | 0.81 | 0.79 |
| RMSE | 0.82 | 0.82 | 0.58 | 0.87 | 0.80 | 0.82 |
| 18650 Li-Ion Cells Recived Signal Strength RSS Comparison: PCBs vs. Samsung A, PCBs vs. Panasonic B | ||||||||||||
|---|---|---|---|---|---|---|---|---|---|---|---|---|
| Configuration | Parallel A | Parallel B | Series A | Series B | Parallel A | Parallel B | Series A | Series B | Parallel A | Parallel B | Series A | Series B |
| Capacitors | 1 µF | 1 nF | 1 pF | |||||||||
| Correlation | 0.81 | 0.82 | 0.83 | 0.83 | 0.85 | 0.81 | 0.83 | 0.86 | 0.78 | 0.84 | 0.85 | 0.78 |
| RMSE | 0.78 | 0.78 | 0.82 | 0.78 | 0.65 | 0.71 | 0.80 | 0.75 | 0.86 | 0.77 | 0.71 | 0.81 |
Publisher’s Note: MDPI stays neutral with regard to jurisdictional claims in published maps and institutional affiliations. |
© 2022 by the authors. Licensee MDPI, Basel, Switzerland. This article is an open access article distributed under the terms and conditions of the Creative Commons Attribution (CC BY) license (https://creativecommons.org/licenses/by/4.0/).
Share and Cite
Marsic, V.; Amietszajew, T.; Gardner, C.; Igic, P.; Faramehr, S.; Fleming, J. Impact of Li-Ion Battery on System’s Overall Impedance and Received Signal Strength for Power Line Communication (PLC). Sensors 2022, 22, 2634. https://doi.org/10.3390/s22072634
Marsic V, Amietszajew T, Gardner C, Igic P, Faramehr S, Fleming J. Impact of Li-Ion Battery on System’s Overall Impedance and Received Signal Strength for Power Line Communication (PLC). Sensors. 2022; 22(7):2634. https://doi.org/10.3390/s22072634
Chicago/Turabian StyleMarsic, Vlad, Tazdin Amietszajew, Christopher Gardner, Petar Igic, Soroush Faramehr, and Joe Fleming. 2022. "Impact of Li-Ion Battery on System’s Overall Impedance and Received Signal Strength for Power Line Communication (PLC)" Sensors 22, no. 7: 2634. https://doi.org/10.3390/s22072634
APA StyleMarsic, V., Amietszajew, T., Gardner, C., Igic, P., Faramehr, S., & Fleming, J. (2022). Impact of Li-Ion Battery on System’s Overall Impedance and Received Signal Strength for Power Line Communication (PLC). Sensors, 22(7), 2634. https://doi.org/10.3390/s22072634

