Adaptive Recognition of Bioacoustic Signals in Smart Aquaculture Engineering Based on r-Sigmoid and Higher-Order Cumulants
Abstract
1. Introduction
2. Algorithm Theory Derivation
| Algorithm 1: The Signal Recognition Curve (SRC) Algorithm. | |
| 1: | Parameter setting: Signal frame length. |
| 2: | Set the recognition coefficients λ and ξ. |
| 3: | Set the recognition threshold Thr. |
| 4: | Input: Underwater observation signal s(x) |
| 5: | while Signal length > Signal frame length do |
| 6: | Signal framing → si(x) |
| 7: | for each frame si(x) in s(x) do |
| 8: | Calculate the higher-order cumulant → ki(x)3 |
| 9: | Calculate the recognition-sigmoid function → r-Sigmoidi(x) |
| 10: | Calculate the signal recognition curve → SRCi(x) |
| 11: | if SRCi(x) > Thr then |
| Target Signal Recognition → Detectioni(x) = 1 | |
| 12: | else |
| Target Signal Recognition → Detectioni(x) = 0 | |
| 13: | Short-term noise suppression → si′(x) = SRCi(x) · si(x) |
| end while | |
| 14: | Output: The SRC of the observation signal → SRC(x) |
| Target signal detection area → Detection(x) | |
| The signal after the SRC algorithm processing → s′(x) | |
3. Experiments and Analysis
3.1. Design of Simulation Signal
3.2. Noise Suppression Performance of the HOC
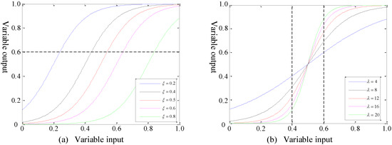
3.3. Recognition Performance of the r-Sigmoid Function
3.4. Algorithm Performance Analysis
3.5. Processing and Verification of Algorithm Application
4. Conclusions
Author Contributions
Funding
Institutional Review Board Statement
Informed Consent Statement
Data Availability Statement
Acknowledgments
Conflicts of Interest
References
- Wang, B.K.H.; Hin, H.S. Movement range and behavior of acoustic tagged abalone ( Haliotis discus hannai ) in Jeonnam marine ranch. J. Korean Soc. Fish. Ocean Technol. 2010, 46, 232–238. [Google Scholar] [CrossRef][Green Version]
- Marsh, J.B. Resources and Environment in Asia’s Marine Sector, 1st ed.; CRC Press: New York, NY, USA, 1992; ISBN 9780203740804. [Google Scholar]
- Loneragan, N.R.; Jenkins, G.I.; Taylor, M.D. Marine stock enhancement, restocking, and sea ranching in Australia: Future directions and a synthesis of two decades of research and development. Rev. Fish. Sci. 2013, 21, 222–236. [Google Scholar] [CrossRef]
- Yu, J.; Zhang, L. Evolution of marine ranching policies in China: Review, performance and prospects. Sci. Total Environ. 2020, 737, 139782. [Google Scholar] [CrossRef] [PubMed]
- Tan, Y.; Lou, S. Research and development of a large-scale modern recreational fishery marine ranch System. Ocean Eng. 2021, 233, 108610. [Google Scholar] [CrossRef]
- Hang, L.; Ullah, I.; Kim, D.-H. A secure fish farm platform based on blockchain for agriculture data integrity. Comput. Electron. Agric. 2020, 170, 105251. [Google Scholar] [CrossRef]
- Yu, J.; Wang, D.; Chen, P. Progress of Marine Ranching Technologies in China. IOP Conf. Ser. Earth Environ. Sci. 2020, 598, 12035. [Google Scholar] [CrossRef]
- Hu, Z.; Li, R.; Xia, X.; Yu, C.; Fan, X.; Zhao, Y. A method overview in smart aquaculture. Environ. Monit. Assess. 2020, 192, 493. [Google Scholar] [CrossRef]
- Ibrahim, A.K.; Chérubin, L.M.; Zhuang, H.; Schärer Umpierre, M.T.; Dalgleish, F.; Erdol, N.; Ouyang, B.; Dalgleish, A. An approach for automatic classification of grouper vocalizations with passive acoustic monitoring. J. Acoust. Soc. Am. 2018, 143, 666–676. [Google Scholar] [CrossRef]
- Peixoto, S.; Soares, R.; Silva, J.F.; Hamilton, S.; Morey, A.; Davis, D.A. Acoustic activity of Litopenaeus vannamei fed pelleted and extruded diets. Aquaculture 2020, 525, 735307. [Google Scholar] [CrossRef]
- Føre, M.; Frank, K.; Dempster, T.; Alfredsen, J.A.; Høy, E. Biomonitoring using tagged sentinel fish and acoustic telemetry in commercial salmon aquaculture: A feasibility study. Aquac. Eng. 2017, 78, 163–172. [Google Scholar] [CrossRef]
- Kirsebom, O.S.; Frazao, F.; Simard, Y.; Roy, N.; Matwin, S.; Giard, S. Performance of a deep neural network at detecting North Atlantic right whale upcalls. J. Acoust. Soc. Am. 2020, 147, 2636–2646. [Google Scholar] [CrossRef] [PubMed]
- Su, X.; Sutarlie, L.; Loh, X.J. Sensors, biosensors, and analytical technologies for aquaculture water quality. Research 2020, 2020, 15. [Google Scholar] [CrossRef] [PubMed]
- Peixoto, S.; Soares, R.; Allen Davis, D. An acoustic based approach to evaluate the effect of different diet lengths on feeding behavior of Litopenaeus vannamei. Aquac. Eng. 2020, 91, 102114. [Google Scholar] [CrossRef]
- Andrewartha, S.J.; Elliott, N.G.; McCulloch, J.W.; Frappell, P.B. Aquaculture Sentinels: Smart-farming with Biosensor Equipped Stock. J. Aquac. Res. Dev. 2015, 7, 1–14. [Google Scholar] [CrossRef]
- Smith, D.V.; Tabrett, S. The use of passive acoustics to measure feed consumption by Penaeus monodon (giant tiger prawn) in cultured systems. Aquac. Eng. 2013, 57, 38–47. [Google Scholar] [CrossRef]
- Mustafa, F.H. A Review of Smart Fish Farming Systems. J. Aquac. Eng. Fish. Res. 2016, 2, 193–200. [Google Scholar] [CrossRef]
- Malde, K.; Handegard, N.O.; Eikvil, L.; Salberg, A.B. Machine intelligence and the data-driven future of marine science. ICES J. Mar. Sci. 2020, 77, 1274–1285. [Google Scholar] [CrossRef]
- Xie, J.; Colonna, J.G.; Zhang, J. Bioacoustic signal denoising: A review. Artif. Intell. Rev. 2021, 54, 3575–3597. [Google Scholar] [CrossRef]
- Salin, M.; Ponomarenko, A. Marine Mammal Calls Detection in Acoustic Signals via Gradient Boosting Model. In Proceedings of the 6th Underwater Acoustics Conference and Exhibition, Virtual, 21–24 June 2021; Volume 44, p. 010001. [Google Scholar]
- Cheng, S.; Lucor, D.; Argaud, J.-P. Observation data compression for variational assimilation of dynamical systems. J. Comput. Sci. 2021, 53, 101405. [Google Scholar] [CrossRef]
- Liu, Y.; Qiu, M.; Liu, C.; Guo, Z. Big data challenges in ocean observation: A survey. Pers. Ubiquitous Comput. 2017, 21, 55–65. [Google Scholar] [CrossRef]
- Jane, V.A.; Arockiam, L. Survey on IoT Data Preprocessing. Turk. J. Comput. Math. Educ. 2021, 12, 238–244. [Google Scholar] [CrossRef]
- Wegman, E.J.; Schwartz, S.C.; Thomas, J.B. Topics in Non-Gaussian Signal Processing; Springer: New York, NY, USA, 1989; ISBN 978-1-4613-8859-3. [Google Scholar]
- Simic, M.; Stankovic, M.; Orlic, V.D. Automatic Modulation Classification of Real Signals in AWGN Channel Based on Sixth-Order Cumulants. Radioengineering 2021, 30, 204–214. [Google Scholar] [CrossRef]
- Silva, J.F.; Hamilton, S.; Rocha, J.V.; Borie, A.; Travassos, P.; Soares, R.; Peixoto, S. Acoustic characterization of feeding activity of Litopenaeus vannamei in captivity. Aquaculture 2019, 501, 76–81. [Google Scholar] [CrossRef]














Publisher’s Note: MDPI stays neutral with regard to jurisdictional claims in published maps and institutional affiliations. |
© 2022 by the authors. Licensee MDPI, Basel, Switzerland. This article is an open access article distributed under the terms and conditions of the Creative Commons Attribution (CC BY) license (https://creativecommons.org/licenses/by/4.0/).
Share and Cite
Cao, T.; Zhao, X.; Yang, Y.; Zhu, C.; Xu, Z. Adaptive Recognition of Bioacoustic Signals in Smart Aquaculture Engineering Based on r-Sigmoid and Higher-Order Cumulants. Sensors 2022, 22, 2277. https://doi.org/10.3390/s22062277
Cao T, Zhao X, Yang Y, Zhu C, Xu Z. Adaptive Recognition of Bioacoustic Signals in Smart Aquaculture Engineering Based on r-Sigmoid and Higher-Order Cumulants. Sensors. 2022; 22(6):2277. https://doi.org/10.3390/s22062277
Chicago/Turabian StyleCao, Tianyu, Xiaoqun Zhao, Yichen Yang, Caiyun Zhu, and Zhongwei Xu. 2022. "Adaptive Recognition of Bioacoustic Signals in Smart Aquaculture Engineering Based on r-Sigmoid and Higher-Order Cumulants" Sensors 22, no. 6: 2277. https://doi.org/10.3390/s22062277
APA StyleCao, T., Zhao, X., Yang, Y., Zhu, C., & Xu, Z. (2022). Adaptive Recognition of Bioacoustic Signals in Smart Aquaculture Engineering Based on r-Sigmoid and Higher-Order Cumulants. Sensors, 22(6), 2277. https://doi.org/10.3390/s22062277

