Joint Semi-Blind Self-Interference Cancellation and Equalisation Processes in 5G QC-LDPC-Encoded Short-Packet Full-Duplex Transmissions
Abstract
:1. Introduction
- We propose a joint iterative semi-blind SI cancellation and channel estimation in 5G QC-LDPC-encoded short-packet FD transmissions;
- We characterise the out-performance of the system with the proposed algorithm compared to the conventional algorithm. In particular, this semi-blind technique can significantly improve the performances of the MSE and BER, while requiring only the addition of a few pilot symbols for the channel estimation feedback processes;
- We point out that the time consumption and computational complexity of the proposed algorithm are lower than the conventional algorithm, which is suitable for IoT applications and green communications.
2. Conventional SB _DSICED3 _W/OF Scheme
2.1. System Model
2.2. 5G QC-LDPC Coding, Encoder, and Decoder Processes
3. Proposed Joint Iterative Semi-Blind Scheme Version
| Algorithm 1: Iterative part of the proposed joint iterative semi-blind scheme. |
![]() |
4. Simulation Results and Discussion
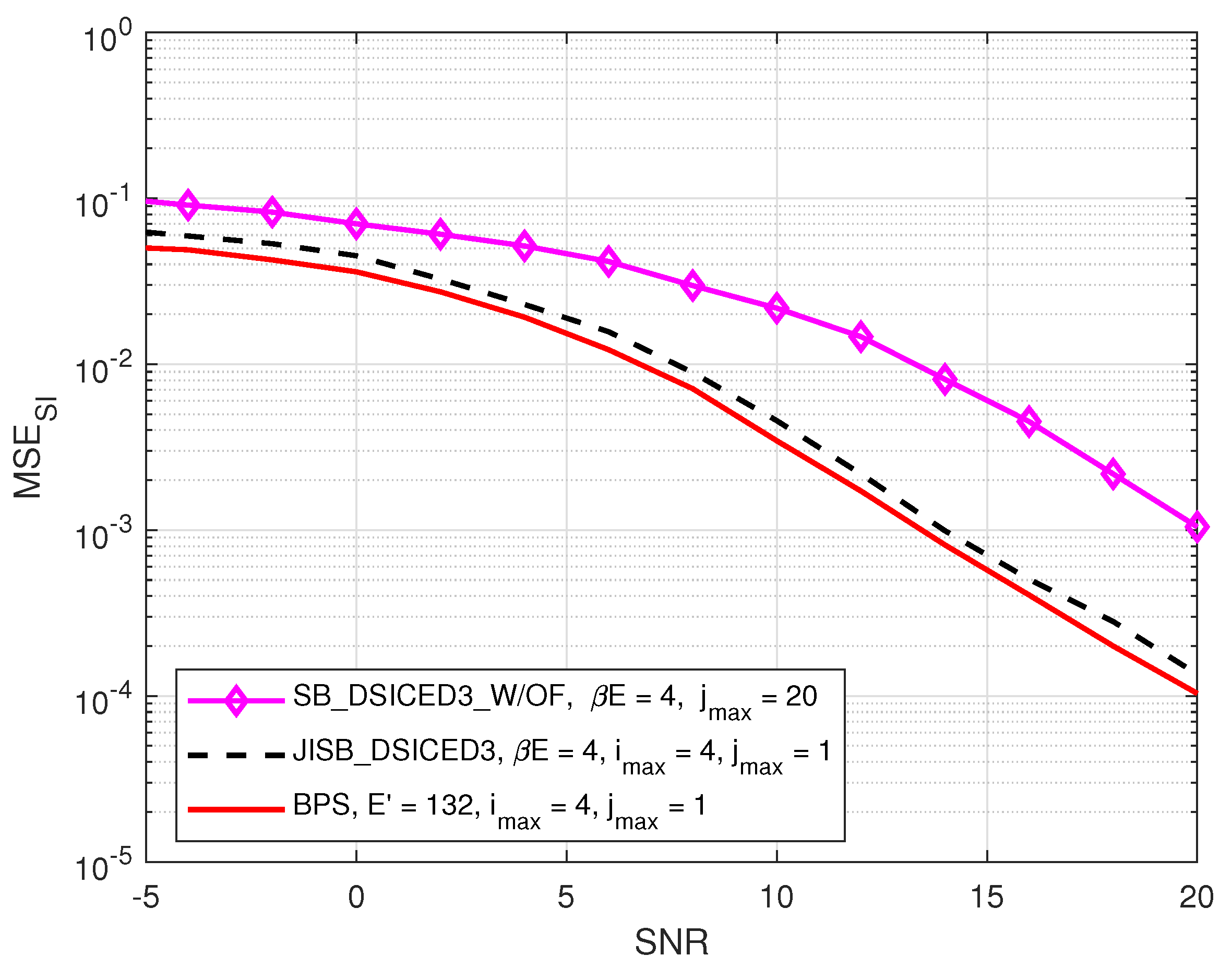
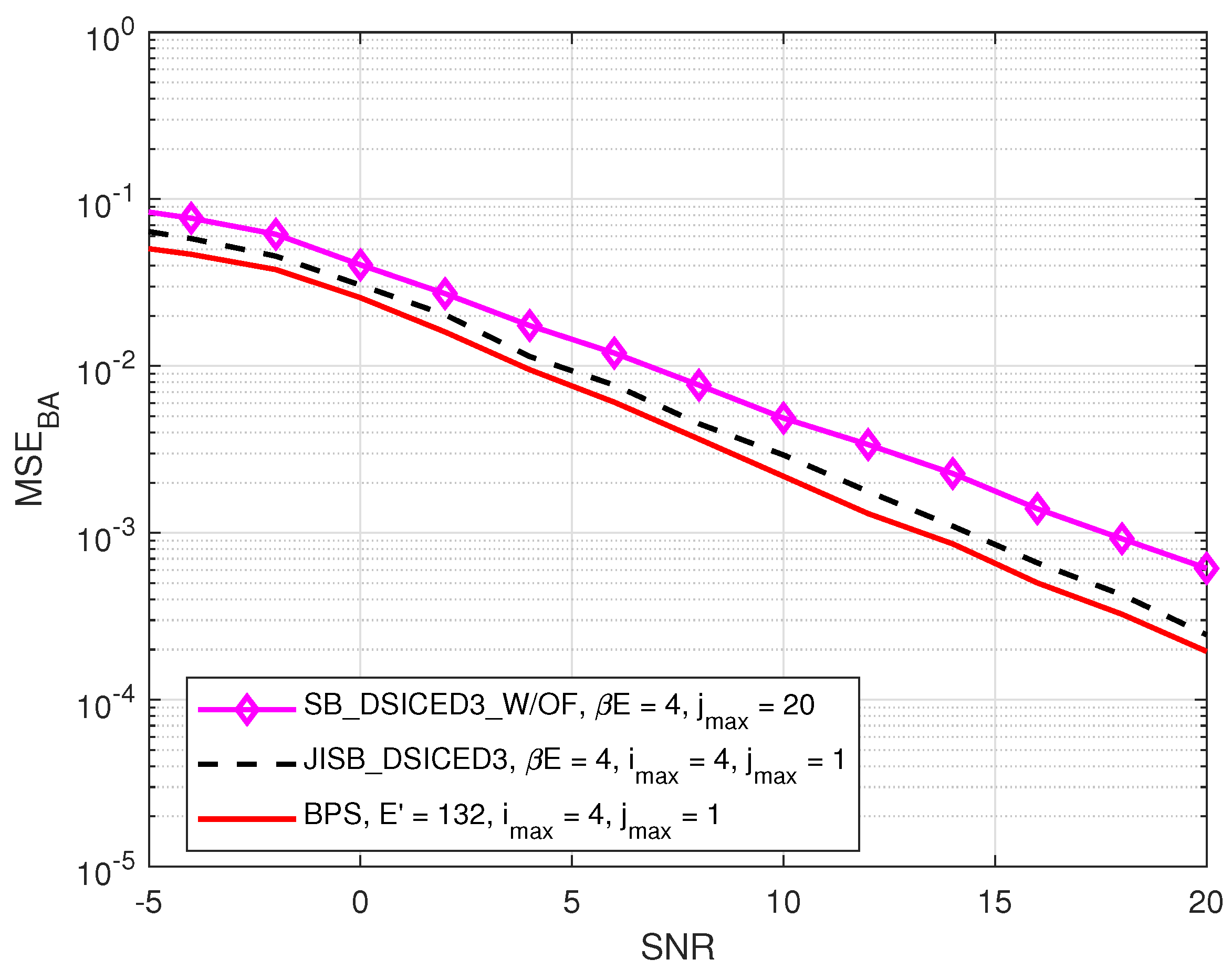
4.1. MSE Performances: JISB _DSICED3 versus SB _DSICED3 _W/OF and the Best Performance Scheme
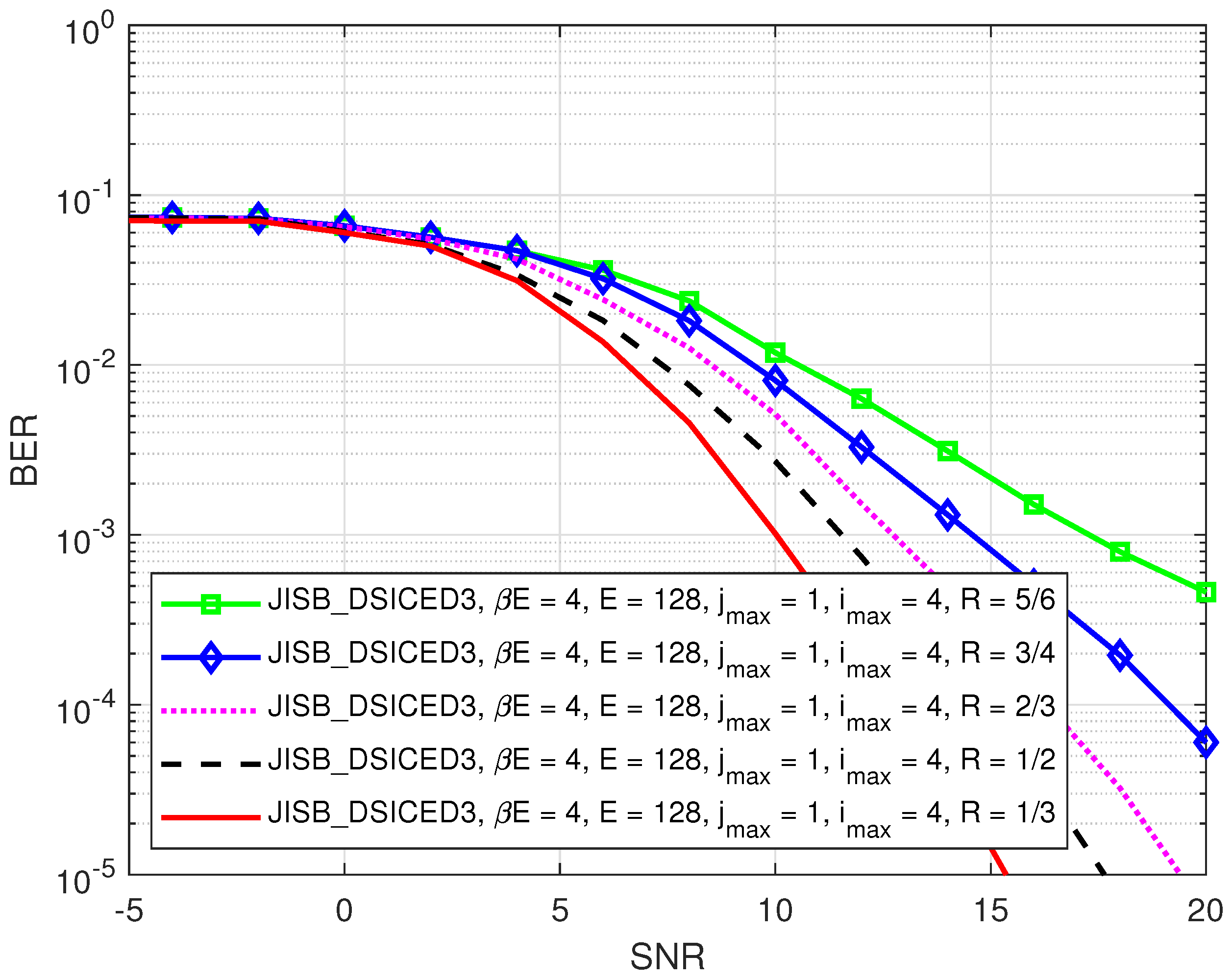
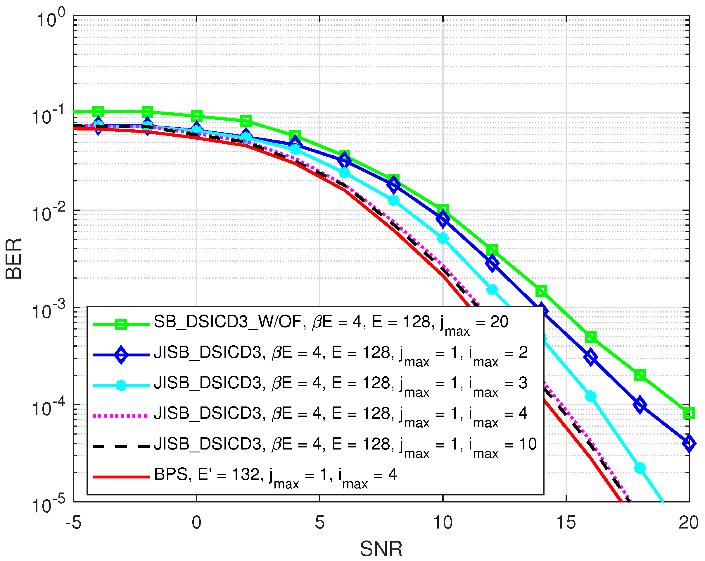
4.2. BER Performances: JISB _DSICED3 versus SB _DSICED3 _W/OF
4.3. Comparison of the Processing Time and Computational Complexity
5. Conclusions
6. Future Works
Author Contributions
Funding
Institutional Review Board Statement
Informed Consent Statement
Data Availability Statement
Acknowledgments
Conflicts of Interest
Abbreviations
| 3GPP | 3rd Generation Partnership Project |
| 5G | Fifth Generation |
| ADC | Analogue-to-Digital Converter |
| AF | Amplify-and-Forward |
| BER | Bit Error Rate |
| BPS | Best Performance Scheme |
| CRLBs | Cramér–Rao Lower Bounds |
| CFO | Carrier Frequency Offset |
| DAC | Digital-to-Analogue Converter |
| DSIC | Digital Self-interference Cancellation |
| FD | Full-Duplex |
| FDD | Frequency Division Duplex |
| HD | Half-Duplex |
| ICA | Independent Component Analysis |
| IoT | Internet of Things |
| ITU | International Telecommunication Union |
| JISB_DSICED | Joint Iterative Semi-Blind Digital Self-Interference Cancellation, |
| Equalisation, Demodulation, De-interleaving, and Decoding | |
| LLR | Log Likelihood Ratio |
| LMS | Least Mean Squares |
| LoS | Line-of-Sight |
| mM2M | massive Machine-to-Machine |
| mMTC | massive Machine-Type Communications |
| MSE | Mean-Squared Error |
| NLMS | Normalised Least Mean Squares |
| NLoS | Non Line-of-Sight |
| PLS | Physical Layer Security |
| QC-LDPC | Quasi-Cyclic Low-Density Parity Check |
| QPSK | Quadrature Phase Shift Keying |
| RF | Radio Frequency |
| RLS | Recursive Least Squares |
| S-MMSE | Semi-blind Minimum Mean-Squared Error |
| SB_DSICED3_W/OF | Semi-Blind Digital Self-Interference Cancellation, Equalisation, |
| Demodulation, De-interleaving, and Decoding Without Feedback | |
| SDR | Software-Defined Radio |
| SI | Self-Interference |
| SPA | Sum Product Algorithm |
| TDD | Time Division Duplex |
| uRLLC | ultra-Reliable Low-Latency Communications |
References
- Durisi, G.; Koch, T.; Popovski, P. Toward Massive, Ultrareliable, and Low-Latency Wireless Communication with Short Packets. Proc. IEEE 2016, 104, 1711–1726. [Google Scholar] [CrossRef] [Green Version]
- Schulz, P.; Matthe, M.; Klessig, H.; Simsek, M.; Fettweis, G.; Ansari, J.; Ashraf, S.A.; Almeroth, B.; Voigt, J.; Riedel, I.; et al. Latency critical IoT applications in 5G: Perspective on the design of radio interface and network architecture. IEEE Commun. Mag. 2017, 55, 70–78. [Google Scholar] [CrossRef]
- Al-Fuqaha, A.; Guizani, M.; Mohammadi, M.; Aledhari, M.; Ayyash, M. Internet of things: A survey on enabling technologies, protocols, and applications. IEEE Commun. Surv. Tutor. 2015, 17, 2347–2376. [Google Scholar] [CrossRef]
- Popovski, P. Ultra-reliable communication in 5G wireless systems. In Proceedings of the 1st International Conference on 5G for Ubiquitous Connectivity, Akaslompolo, Finland, 26–28 November 2014; pp. 146–151. [Google Scholar]
- Lee, J.; Kwak, Y.; Luo, F.; Zhang, C. 5G standard development: Technology and roadmap. In Signal Processing for 5G: Algorithms and Implementations; Wiley-IEEE Press: Hoboken, NJ, USA, 2016; pp. 561–575. [Google Scholar]
- Bockelmann, C.; Pratas, N.; Nikopour, H.; Au, K.; Svensson, T.; Stefanovic, C.; Popovski, P.; Dekorsy, A. Massive machine-type communications in 5G: Physical and MAC-layer solutions. IEEE Commun. Mag. 2016, 54, 59–65. [Google Scholar] [CrossRef] [Green Version]
- Wang, H.M.; Yang, Q.; Ding, Z.; Poor, H.V. Secure short-packet communications for mission-critical IoT applications. IEEE Trans. Wirel. Commun. 2019, 18, 2565–2578. [Google Scholar] [CrossRef] [Green Version]
- Feng, C.; Wang, H.M. Secure Short-Packet Communications at the Physical Layer for 5G and Beyond. IEEE Commun. Stand. Mag. 2021, 5, 96–102. [Google Scholar] [CrossRef]
- Poor, H.V.; Goldenbaum, M.; Yang, W. Fundamentals for IoT Networks: Secure and Low-Latency Communications; Association for Computing Machinery: New York, NY, USA, 2019; pp. 362–364. [Google Scholar] [CrossRef]
- Atallah, M.; Kaddoum, G.; Kong, L. A Survey on Cooperative Jamming Applied to Physical Layer Security. In Proceedings of the IEEE International Conference on Ubiquitous Wireless Broadband (ICUWB), Montreal, QC, Canada, 4–7 October 2015. [Google Scholar]
- Zhu, F.; Gao, F.; Zhang, T.; Sun, K.; Yao, M. Physical-Layer Security for Full Duplex Communications With Self-Interference Mitigation. IEEE Trans. Wirel. Commun. 2016, 15, 329–340. [Google Scholar] [CrossRef]
- Hong, S.; Brand, J.; Choi, J.I.; Jain, M.; Mehlman, J.; Katti, S.; Levis, P. Applications of self-interference cancellation in 5G and beyond. IEEE Commun. Mag. 2014, 52, 114–121. [Google Scholar] [CrossRef]
- Riihonen, T.; Werner, S.; Wichman, R. Hybrid Full-Duplex/Half-Duplex Relaying with Transmit Power Adaptation. IEEE Trans. Wirel. Commun. 2011, 10, 3074–3085. [Google Scholar] [CrossRef]
- 3GPP. Full Duplex Configuration of Un and Uu Subframes for Type I Relay, 3GPP TSG RAN WG1 R1-100139, Technical Report; 3GPP: Valbonne, France, 2010. [Google Scholar]
- 3GPP. Text Proposal on Inband Full Duplex Relay for TR 36.814, 3GPP TSG RAN WG1 R1-101659, Technital Report; 3GPP: Valbonne, France, 2010. [Google Scholar]
- Van Nguyen, B.; Jung, H.; Kim, K. Physical Layer Security Schemes for Full-Duplex Cooperative Systems: State of the Art and beyond. IEEE Commun. Mag. 2018, 56, 131–137. [Google Scholar] [CrossRef] [Green Version]
- Everett, E.; Sahai, A.; Sabharwal, A. Passive Self-Interference Suppression for Full-Duplex Infrastructure Nodes. IEEE Trans. Wirel. Commun. 2014, 13, 680–694. [Google Scholar] [CrossRef] [Green Version]
- Anderson, C.; Krishnamoorthy, S.; Ranson, C.; Lemon, T.; Newhall, W.; Kummetz, T.; Reed, J. Antenna Isolation, Wideband Multipath Propagation Measurements, and Interference Mitigation for On-Frequency Repeaters. In Proceedings of the IEEE SoutheastCon, Greensboro, NC, USA, 26–29 March 2004; pp. 110–114. [Google Scholar]
- Choi, J.I.; Hong, S.; Jain, M.; Katti, S.; Levis, P.; Mehlman, J. Beyond full duplex wireless. In Proceedings of the 2012 Conference Record of the Forty Sixth Asilomar Conference on Signals, Systems and Computers (ASILOMAR), Pacific Grove, CA, USA, 4–7 November 2012; pp. 40–44. [Google Scholar]
- Bharadia, D.; Mcmilin, E.; Katti, S. Full duplex radios. ACM Sigcomm Comput. Commun. Rev. 2013, 43, 375–386. [Google Scholar] [CrossRef]
- Kolodziej, K.; McMichael, J.; Perry, B. Adaptive RF canceller for transmit-receive isolation improvement. In Proceedings of the 2014 IEEE Radio and Wireless Symposium (RWS), Newport Beach, CA, USA, 19–23 January 2014; pp. 172–174. [Google Scholar]
- Ahmed, E.; Eltawil, A.M. All-Digital Self-Interference Cancellation Technique for Full-Duplex Systems. IEEE Trans. Wirel. Commun. 2015, 14, 3519–3532. [Google Scholar] [CrossRef] [Green Version]
- Sabharwal, A.; Schniter, P.; Guo, D.; Bliss, D.W.; Rangarajan, S.; Wichman, R. In-band full-duplex wireless: Challenges and opportunities. IEEE J. Sel. Areas Commun. 2014, 32, 1637–1652. [Google Scholar] [CrossRef] [Green Version]
- Duarte, M.; Dick, C.; Sabharwal, A. Experiment-driven characterization of full-duplex wireless systems. IEEE Trans. Wirel. Commun. 2012, 11, 4296–4307. [Google Scholar] [CrossRef] [Green Version]
- Kim, D.; Ju, H.; Park, S.; Hong, D. Effects of channel estimation error on full-duplex two-way networks. IEEE Trans. Veh. Technol. 2013, 62, 4666–4672. [Google Scholar] [CrossRef]
- Masmoudi, A.; Le-Ngoc, T. A Maximum-Likelihood Channel Estimator for Self-Interference Cancelation in Full-Duplex Systems. IEEE Trans. Veh. Technol. 2016, 65, 5122–5132. [Google Scholar] [CrossRef]
- Masmoudi, A.; Le-Ngoc, T. Channel Estimation and Self-Interference Cancelation in Full-Duplex Communication Systems. IEEE Trans. Veh. Technol. 2017, 66, 321–334. [Google Scholar] [CrossRef]
- Chakraborty, S.; Sen, D. Semi-Blind Data Detection and Non-Linear Equalization in Full-Duplex TWR-OFDM Systems with High Mobility. IEEE Trans. Wirel. Commun. 2019, 18, 6000–6014. [Google Scholar] [CrossRef]
- Liu, Y.; Zhu, X.; Lim, E.G.; Jiang, Y.; Huang, Y. Fast Iterative Semi-Blind Receiver for URLLC in Short-Frame Full-Duplex Systems With CFO. IEEE J. Sel. Areas Commun. 2019, 37, 839–853. [Google Scholar] [CrossRef]
- Duan, H.; Zhu, X.; Jiang, Y.; Wei, Z.; Sun, S. An Adaptive Self-Interference Cancelation/Utilization and ICA-Assisted Semi-Blind Full-Duplex Relay System for LLHR IoT. IEEE Internet Things J. 2020, 7, 2263–2276. [Google Scholar] [CrossRef]
- Koc, A.; Le-Ngoc, T. Full-Duplex mmWave Massive MIMO Systems: A Joint Hybrid Precoding/Combining and Self-Interference Cancellation Design. IEEE Open J. Commun. Soc. 2021, 2, 754–774. [Google Scholar] [CrossRef]
- Iscan, O.; Lentner, D.; Xu, W. A Comparison of Channel Coding Schemes for 5G Short Message Transmission. In Proceedings of the 2016 IEEE Globecom Workshops (GC Wkshps), Washington, DC, USA, 4–8 December 2016; pp. 1–6. [Google Scholar] [CrossRef]
- Hajiyat, Z.; Sali, A.; Mokhtar, M.; Hashim, F. Channel Coding Scheme for 5G Mobile Communication System for Short Length Message Transmission. Wirel. Pers. Commun. 2019, 106, 377–400. [Google Scholar] [CrossRef]
- Bae, J.H.; Abotabl, A.; Lin, H.P.; Song, K.B.; Lee, J. An overview of channel coding for 5G NR cellular communications. Trans. Signal Inf. Process. 2019, 8, e17. [Google Scholar] [CrossRef] [Green Version]
- Vuong, B.Q.; Gautier, R.; Fiche, A.; Marazin, M. Full-Duplex Efficient Channel Codes for Residual Self-Interference/Quantization Noise Cancellation. In Proceedings of the IEEE 15th International Conference on Signal Processing and Communication Systems (ICSPCS), Sydney, Australia, 13–15 December 2021. [Google Scholar]
- Nguyen, L.L.; Nguyen, D.H.; Fiche, A.; Huynh, T.; Gautier, R. Low-bit quantization methods for modulated wideband converter compressed sensing. In Proceedings of the IEEE Global Communications Conference, GLOBECOM, Waikoloa, HI, USA, 9–13 December 2019. [Google Scholar]
- Haykin, S. Adaptive Filter Theory; Pearson: London, UK, 1993; Volume 29. [Google Scholar]
- Despina-Stoian, C.; Digulescu-Popescu, A.; Alexandra, S.; Youssef, R.; Radoi, E. Comparison of Adaptive Filtering Strategies for Self-Interference Cancellation in LTE Communication Systems. In Proceedings of the 13th International Conference on Communications (COMM), Bucharest, Romania, 18–20 June 2020. [Google Scholar]
- Kristensen, A.T.; Balatsoukas-Stimming, A.; Burg, A. On the Implementation Complexity of Digital Full-Duplex Self-Interference Cancellation. In Proceedings of the 2020 54th Asilomar Conference on Signals, Systems, and Computers, Pacific Grove, CA, USA, 1–5 November 2020; pp. 969–973. [Google Scholar] [CrossRef]
- Yao, S.; Qian, H.; Kang, K.; Shen, M. A recursive least squares algorithm with reduced complexity for digital predistortion linearization. In Proceedings of the 2013 IEEE International Conference on Acoustics, Speech and Signal Processing, Vancouver, BC, Canada, 26–31 May 2013; pp. 4736–4739. [Google Scholar] [CrossRef]
- Gallager, R.G. Low density parity check codes. IRE Trans. Inform. Theory 1962, IT-8, 21–28. [Google Scholar] [CrossRef] [Green Version]
- MacKay, D. Good error-correcting codes based on very sparse matrices. IEEE Trans. Inf. Theory 1999, 45, 399–431. [Google Scholar] [CrossRef] [Green Version]
- Shirvanimoghaddam, M.; Mohammadi, M.S.; Abbas, R.; Minja, A.; Yue, C.; Matuz, B.; Han, G.; Lin, Z.; Liu, W.; Li, Y.; et al. Short Block-Length Codes for Ultra-Reliable Low Latency Communications. IEEE Commun. Mag. 2019, 57, 130–137. [Google Scholar] [CrossRef] [Green Version]
- 3GPP. TS 38.212 NR-Multiplexing and Channel Coding; 3GPP: Valbonne, France, 2018. [Google Scholar]
- Danish, M.N.; Pasha, S.A.; Hashmi, A.J. Quasi-Cyclic LDPC Codes for Short Block-Lengths. In Proceedings of the 2021 IEEE Aerospace Conference (50100), Big Sky, Montana, 6–13 March 2021; pp. 1–8. [Google Scholar] [CrossRef]
- Wang, D.; Wang, L.; Chen, X.; Fei, A.; Chen, C.; Ju, C.; Wang, Z.; Wang, H. Construction of irregular QC LDPC codes with low error floor for high speed optical communications. In Proceedings of the 2016 Conference on Lasers and Electro-Optics (CLEO), San Jose, CA, USA, 5–10 June 2016; pp. 1–2. [Google Scholar]
- Zheng, X.; Lau, F.C.M.; Tse, C.K. Constructing Short-Length Irregular LDPC Codes with Low Error Floor. IEEE Trans. Commun. 2010, 58, 2823–2834. [Google Scholar] [CrossRef]
- Karimi, B.; Banihashemi, A.H. Construction of QC LDPC Codes With Low Error Floor by Efficient Systematic Search and Elimination of Trapping Sets. IEEE Trans. Commun. 2020, 68, 697–712. [Google Scholar] [CrossRef] [Green Version]
- Clapham, C.; Nicholson, J. The Concise Oxford Dictionary of Mathematics; Oxford University Press: Oxford, UK, 2013. [Google Scholar]
- Sharon, E.; Litsyn, S.; Goldberger, J. An efficient message-passing schedule for LDPC decoding. In Proceedings of the IEEE Convention of Electrical and Electronics Engineers in Israel, Proceedings, Tel-Aviv, Israel, 6–7 September 2004; pp. 223–226. [Google Scholar]
- Zhang, X.; Siegel, P.H. Quantized iterative message passing decoders with low error floor for LDPC codes. IEEE Trans. Commun. 2014, 62, 1–14. [Google Scholar] [CrossRef] [Green Version]
- Adolph, J.F.; Olivier, J.C.; Salmon, B.P. Enhancing LDPC code performance using pilot bits. In Proceedings of the 2015 IEEE International Conference on Acoustics, Speech and Signal Processing (ICASSP), South Brisbane, QLD, Australia, 19–24 April 2015; pp. 2994–2998. [Google Scholar] [CrossRef]
- Mostari, L.; Taleb Ahmed, A. High performance short-block binary regular LDPC codes. AEJ—Alex. Eng. J. 2018, 57, 2633–2639. [Google Scholar] [CrossRef]
- International Telecommunication Union. Guidelines for Evaluation of Radio Transmission Technologies for IMT-2000; International Telecommunication Union: Geneva, Switzerland, 1997. [Google Scholar]
- Fîciu, I.D.; Stanciu, C.L.A.C.E.I.C. Low-Complexity Recursive Least-Squares Adaptive Algorithm Based on Tensorial Forms. Appl. Sci. 2021, 11, 8656. [Google Scholar] [CrossRef]
- Khokhar, M.J.; Younis, M.S. Development of the RLS algorithm based on the iterative equation solvers. In Proceedings of the 2012 IEEE 11th International Conference on Signal Processing, Beijing, China, 21–25 October 2012; Volume 1, pp. 272–275. [Google Scholar] [CrossRef]
- Kim, J.K.; Balakannan, S.P.; Lee, M.H.; Kim, C.J. Low complexity encoding of LDPC codes for high-rate and high-speed communication. In Proceedings of the 2008 First International Conference on Distributed Framework and Applications, Penang, Malaysia, 21–22 October 2008; pp. 189–193. [Google Scholar] [CrossRef]
- Sybis, M.; Wesolowski, K.; Jayasinghe, K.; Venkatasubramanian, V.; Vukadinovic, V. Channel Coding for Ultra-Reliable Low-Latency Communication in 5G Systems. In Proceedings of the 2016 IEEE 84th Vehicular Technology Conference (VTC-Fall), Montréal, QC, Canada, 18–21 September 2016; pp. 1–5. [Google Scholar] [CrossRef]
- Park, J.W.; Yoo, D.-S.; Oh, S.-J. Interceptor complexity analysis for mixed BPSK–QPSK modulated frequency hopping spread spectrum systems. Phys. Commun. 2020, 40, 101063. [Google Scholar] [CrossRef]
- Marchand, C.; Boutillon, E.; Harb, H.; Conde-Canencia, L.; Al Ghouwayel, A. Hybrid Check Node Architectures for NB-LDPC Decoders. IEEE Trans. Circuits Syst. Regul. Pap. 2019, 66, 869–880. [Google Scholar] [CrossRef] [Green Version]













| Notations | Meaning |
|---|---|
| K | Information length |
| N | Codeword length |
| R | Code rate |
| M | Modulation order |
| E | Frame length after modulation |
| Frame length after adding pilot symbols | |
| Pilot symbol coefficient | |
| Channel gain vector between X and Y | |
| Self-interference channel gain vector | |
| k-th bit of signal vector in the bit domain | |
| n-th symbol of signal vector in the discrete time domain | |
| n-th symbol of concatenation signal vector with pilot symbols in the | |
| discrete time domain | |
| Signal x′ in the continuous time domain | |
| Estimation value of | |
| Residual value of | |
| ∗ | Convolution operator |
| Forget factor of the RLS algorithm | |
| i | Index of joint iterative iterations |
| j | Index of 5G QC-LDPC decoding iterations |
| Average degree of the variable nodes | |
| Average degree of the check nodes |
| Parameter | Value |
|---|---|
| Codeword length (N) | 64, 128, 256, 512, 1024 |
| Information length (K) | 32, 64, 128, 256, 512 |
| Code rate (R) | 1/3, 1/2, 2/3, 3/4, 5/6 |
| Number of transmission frames | 1,000,000 |
| Modulation scheme | QPSK () |
| SI channel taps | 3 |
| Intended channel taps | 4 |
| Forget factor | 0.999 |
| Index of joint iterations in JISB_DSICED3 scheme | |
| Index of iteration of SPA decoding in SB_DSICED3_W/OF |
| Algorithm | Processing Time (in min) | Ratio Respected to (SB_DSICED3_W/OF) |
|---|---|---|
| SB_DSICED3_W/OF scheme | 1 | |
| JISB_DSICED3 scheme | 0.101 |
| Operation | Number of Computations |
|---|---|
| Demodulation | |
| De-Interleaver | |
| SPA decoding | |
| RLS algorithm |
Publisher’s Note: MDPI stays neutral with regard to jurisdictional claims in published maps and institutional affiliations. |
© 2022 by the authors. Licensee MDPI, Basel, Switzerland. This article is an open access article distributed under the terms and conditions of the Creative Commons Attribution (CC BY) license (https://creativecommons.org/licenses/by/4.0/).
Share and Cite
Vuong, B.Q.; Gautier, R.; Ta, H.Q.; Nguyen, L.L.; Fiche, A.; Marazin, M. Joint Semi-Blind Self-Interference Cancellation and Equalisation Processes in 5G QC-LDPC-Encoded Short-Packet Full-Duplex Transmissions. Sensors 2022, 22, 2204. https://doi.org/10.3390/s22062204
Vuong BQ, Gautier R, Ta HQ, Nguyen LL, Fiche A, Marazin M. Joint Semi-Blind Self-Interference Cancellation and Equalisation Processes in 5G QC-LDPC-Encoded Short-Packet Full-Duplex Transmissions. Sensors. 2022; 22(6):2204. https://doi.org/10.3390/s22062204
Chicago/Turabian StyleVuong, Bao Quoc, Roland Gautier, Hien Quang Ta, Lap Luat Nguyen, Anthony Fiche, and Mélanie Marazin. 2022. "Joint Semi-Blind Self-Interference Cancellation and Equalisation Processes in 5G QC-LDPC-Encoded Short-Packet Full-Duplex Transmissions" Sensors 22, no. 6: 2204. https://doi.org/10.3390/s22062204
APA StyleVuong, B. Q., Gautier, R., Ta, H. Q., Nguyen, L. L., Fiche, A., & Marazin, M. (2022). Joint Semi-Blind Self-Interference Cancellation and Equalisation Processes in 5G QC-LDPC-Encoded Short-Packet Full-Duplex Transmissions. Sensors, 22(6), 2204. https://doi.org/10.3390/s22062204


