Preliminary Classification of Selected Farmland Habitats in Ireland Using Deep Neural Networks
Abstract
1. Introduction
2. Materials and Methods
2.1. Data Collection
2.2. Data Cleaning and Preprocessing
2.3. Model Selection and Tuning
2.4. Hyperparameter Tuning
2.5. Stacked Ensemble Model
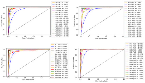
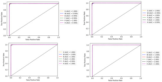
3. Results
4. Discussion
5. Conclusions
Author Contributions
Funding
Institutional Review Board Statement
Informed Consent Statement
Data Availability Statement
Conflicts of Interest
References
- Xie, Y.; Sha, Z.; Yu, M. Remote Sensing Imagery in Vegetation Mapping: A review. J. Plant Ecol. 2008, 1, 9–23. [Google Scholar] [CrossRef]
- Adamo, M.; Tomaselli, V.; Tarantino, C.; Vicario, S.; Veronico, G.; Lucas, R.; Blonda, P. Knowledge-Based Classification of Grassland Ecosystem Based on Multi-Temporal WorldView-2 Data and FAO-LCCS Taxonomy. Remote Sens. 2020, 12, 1447. [Google Scholar] [CrossRef]
- Lapini, A.; Pettinato, S.; Santi, E.; Paloscia, S.; Fontanelli, G.; Garzelli, A. Comparison of Machine Learning Methods Applied to SAR Images for Forest Classification in Mediterranean Areas. Remote Sens. 2020, 12, 369. [Google Scholar] [CrossRef]
- Miller, J.; Franklin, J. Modeling the Distribution of Four Vegetation Alliances using Generalized Linear Models and Classification Trees with Spatial Dependence. Ecol. Model. 2002, 157, 227–247. [Google Scholar] [CrossRef]
- Souza, C.M., Jr.; Siqueira, J.V.; Sales, M.H.; Fonseca, A.V.; Ribeiro, J.G.; Numata, I.; Cochrane, M.A.; Barber, C.P.; Roberts, D.A.; Barlow, J. Ten-Year Landsat Classification of Deforestation and Forest Degradation in the Brazilian Amazon. Remote Sens. 2013, 5, 5493–5513. [Google Scholar] [CrossRef]
- Sinergise. Sentinel Hub. 2014. Available online: https://www.sentinel-hub.com/ (accessed on 30 January 2021).
- de Bem, P.P.; de Carvalho, O.A.; Guimaraes, R.F.; Gomes, R.A.T. Change Detection of Deforestation in the Brazilian Amazon using Landsat Data and Convolutional Neural Networks. Remote Sens. 2020, 12, 901. [Google Scholar] [CrossRef]
- Bragagnolo, L.; da Silva, R.V.; Grzybowski, J.M.V. Amazon Forest Cover Change Mapping based on Semantic Segmentation by U-Nets. Ecol. Inform. 2021, 62, 101279. [Google Scholar] [CrossRef]
- Isaienkov, K.; Yushchuk, M.; Khramtsov, V.; Seliverstov, O. Deep Learning for Regular Change Detection in Ukrainian Forest Ecosystem with Sentinel-2. IEEE J. Sel. Top. Appl. Earth Obs. 2021, 14, 364–376. [Google Scholar] [CrossRef]
- Lee, S.H.; Han, K.J.; Lee, K.; Lee, K.J.; Oh, K.Y.; Lee, M.J. Classification of Landscape affected by Deforestation using High-Resolution Remote Sensing Data and Deep-Learning Techniques. Remote Sens. 2020, 12, 3372. [Google Scholar] [CrossRef]
- Hay, G.J.; Blaschke, T.; Marceau, D.J.; Bouchard, A. A comparison of Three Image-Object Methods for the Multiscale Analysis of Landscape Structure. ISPRS J. Photogramm. Remote Sens. 2003, 57, 327–345. [Google Scholar] [CrossRef]
- Newsam, S.; Wang, L.; Bhagavathy, S.; Manjunath, B.S. Using Texture to Analyze and Manage Large Collections of Remote Sensed Image and Video Data. Appl. Opt. 2004, 43, 210–217. [Google Scholar] [CrossRef] [PubMed]
- Fransson, J.E.S.; Magnusson, M.; Olsson, H.; Eriksson, L.E.B.; Sandberg, G.; SmithJonforsen, G.; Ulander, L.M.H. Detection of Forest Changes using ALOS PALSAR Satellite Images. In Proceedings of the IEEE International Geoscience and Remote Sensing Symposium, Barcelona, Spain, 23–27 July 2007; pp. 2330–2333. [Google Scholar]
- Cheng, G.; Han, J.; Lu, X. Remote Sensing Image Scene Classification: Benchmark and State of the Art. Proc. IEEE 2017, 105, 1865–1883. [Google Scholar] [CrossRef]
- Corbane, C.; Lang, S.; Pipkins, K.; Alleaume, S.; Deshayes, M.; Millán, V.E.G.; Strasser, T.; Borre, J.V.; Toon, S.; Michael, F. Remote Sensing for Mapping Natural Habitats and their Conservation Status–New Opportunities and Challenges. Int. J. Appl. Earth Obs. 2015, 37, 7–16. [Google Scholar] [CrossRef]
- Berry, P.; Smith, A.; Eales, R.; Papadopoulou, L.; Erhard, M.; Meiner, A.; Bastrup-Birk, A.; Ivits, E.; Royo Gelabert, E.; Dige, G. Mapping and Assessing the Condition of Europe’s Ecosystems-Progress and Challenges, 3rd ed.; Publications Office of the European Union: Luxembourg, 2016; ISBN 978-92-79-55019-5. [Google Scholar]
- Copernicus Land Monitoring System. Available online: https://land.copernicus.eu (accessed on 26 January 2021).
- Piedelobo, L.; Taramelli, A.; Schiavon, E.; Valentini, E.; Molina, J.-L.; Nguyen Xuan, A.; González-Aguilera, D. Assessment of Green Infrastructure in Riparian Zones Using Copernicus Programme. Remote Sens. 2019, 11, 2967. [Google Scholar] [CrossRef]
- Taramelli, A.; Lissoni, M.; Piedelobo, L.; Schiavon, E.; Valentini, E.; Nguyen Xuan, A.; González-Aguilera, D. Monitoring Green Infrastructure for Natural Water Retention Using Copernicus Global Land Products. Remote Sens. 2019, 11, 1583. [Google Scholar] [CrossRef]
- ESA—Sentinel Online. Available online: https://sentinel.esa.int/web/sentinel/home (accessed on 26 January 2021).
- EUNIS European Nature Information System. Available online: https://www.eea.europa.eu/data-and-maps/data/eunishabitat-classification (accessed on 26 January 2021).
- Revision of the EUNIS Habitat Classification. Available online: https://www.eea.europa.eu/themes/biodiversity/anintroduction-to-habitats/underpinning-european-policy-on-nature-conservation-1 (accessed on 26 January 2021).
- Davies, C.E.; Moss, D. EUNIS Habitat Classification. In Final Report to the European Topic Centre on Nature Conservation; European Environment Agency: Copenhagen, Denmark, 1998. [Google Scholar]
- Davies, C.E.; Moss, D.; Hill, M.O. EUNIS Habitat Classification; European Environment Agency: Copenhagen, Denmark, 2004. [Google Scholar]
- Vilà, M.; Pino, J.; Font, X. Regional Assessment of Plant Invasions across Different Habitat Types. J. Veg. Sci. 2007, 18, 35–42. [Google Scholar] [CrossRef]
- Rodwell, J.S.; Evans, D.; Schaminée, J.H.J. Phytosociological Relationships in European Union Policy-related Habitat Classifications. Rend. Lincei Sci. Fis. Nat. 2018, 29, 237–249. [Google Scholar] [CrossRef]
- INSPIRE. D2.8.III.18 Data Specification on Habitats and Biotopes—Technical Guidelines; European Commission Joint Research Centre: Brussels, Belgium, 2013; pp. 1–121. [Google Scholar]
- Council of Europe. Revised Annex I to Resolution 4 of the Bern Convention on Endangered Natural Habitat Types using the EUNIS Habitat Classification (Adopted by the Standing Committee on 30 November 2018). 2018. Available online: https://rm.coe.int/16807469e7 (accessed on 1 February 2020).
- Natura 2000—Environment—European Commission. Available online: https://ec.europa.eu/environment/nature/natura2000/ (accessed on 2 February 2022).
- Dengler, J.; Oldeland, J.; Jansen, F.; Chytry, M.; Ewald, J.; Finckh, M.; Glockler, F.; Lopez-Gonzalez, G.; Peet, R.K.; Schaminee, J.H.J. Vegetation databases for the 21st century. Biodivers. Ecol. 2012, 4, 15–24. [Google Scholar] [CrossRef][Green Version]
- Chytrý, M.; Hennekens, S.M.; Jiménez-Alfaro, B.; Knollová, I.; Dengler, J.; Jansen, F.; Landucci, F.; Schaminée, J.H.; Acìc, S.; Agrillo, E.; et al. European Vegetation Archive (EVA): An Integrated Database of European Vegetation Plots. Appl. Veg. Sci. 2016, 19, 173–180. [Google Scholar] [CrossRef]
- Bruelheide, H.; Dengler, J.; Jiménez-Alfaro, B.; Purschke, O.; Hennekens, S.M.; Chytrý, M.; Pillar, V.D.; Jansen, F.; Kattge, J.; Sandel, B.; et al. sPlot–A New Tool for Global Vegetation Analyses. J. Veg. Sci. 2019, 30, 161–186. [Google Scholar] [CrossRef]
- Bhatnagar, S.; Gill, L.; Ghosh, B. Drone Image Segmentation Using Machine and Deep Learning for Mapping Raised Bog Vegetation Communities. Remote Sens. 2020, 12, 2602. [Google Scholar] [CrossRef]
- de Castro, A.I.; Shi, Y.; Maja, J.M.; Peña, J.M. UAVs for Vegetation Monitoring: Overview and Recent Scientific Contributions. Remote Sens. 2021, 13, 2139. [Google Scholar] [CrossRef]
- Sandino, J.; Gonzalez, F.; Mengersen, K.; Gaston, K.J. UAVs and Machine Learning Revolutionising Invasive Grass and Vegetation Surveys in Remote Arid Lands. Sensors 2018, 18, 605. [Google Scholar] [CrossRef] [PubMed]
- Hamylton, S.M.; Morris, R.H.; Carvalho, R.C.; Order, N.; Barlow, P.; Mills, K.; Wang, L. Evaluating Techniques for Mapping Island Vegetation from Unmanned Aerial Vehicle (UAV) Images: Pixel Classification, Visual Interpretation and Machine Learning Approaches. Int. J. Appl. Earth Obs. Geoinf. 2020, 89, 102085. [Google Scholar] [CrossRef]
- Liu, T.; Abd-Elrahman, A.; Morton, J.; Wilhelm, V.L. Comparing Fully Convolutional Networks, Random Forest, Support Vector Machine, and Patch-based Deep Convolutional Neural Networks for Object-based Wetland Mapping using Images from Small Unmanned Aircraft System. GIScience Remote Sens. 2018, 55, 243–264. [Google Scholar] [CrossRef]
- Yasir, M.; Rahman, A.U.; Gohar, M. Habitat Mapping using Deep Neural Networks. Multimed. Syst. 2020, 4, 1–12. [Google Scholar] [CrossRef]
- Lubis, M.Z.; Anurogo, W.; Hanafi, A.; Kausarian, H.; Taki, H.M.; Antoni, S. Distribution of Benthic Habitat using Landsat-7 Imagery in Shallow Waters of Sekupang, Batam Island, Indonesia. Biodiversitas 2018, 19, 1117–1122. [Google Scholar] [CrossRef]
- Gonc¸alves, J.; Henriques, R.; Alves, P.; Honrado, J. Evaluating an Unmanned Aerial Vehicle-based Approach for Assessing Habitat Extent and Condition in Finescale Early Successional Mountain Mosaics. Appl. Veg. Sci. 2016, 19, 132–146. [Google Scholar] [CrossRef]
- Wicaksono, P.; Aryaguna, P.A.; Lazuardi, W. Benthic Habitat Mapping Model and Cross Validation using Machine-Learning Classification Algorithms. Remote Sens. 2019, 11, 1279. [Google Scholar] [CrossRef]
- Abrams, J.F.; Vashishtha, A.; Wong, S.T.; Nguyen, A.; Mohamed, A.; Wieser, S.; Kuijper, A.; Wilting, A.; Mukhopadhyay, A. Habitat-Net: Segmentation of Habitat Images using Deep Llearning. Ecol. Inform. 2019, 51, 121–128. [Google Scholar] [CrossRef]
- Gómez-Ríos, A.; Tabik, S.; Luengo, J.; Shihavuddin, A.; Krawczyk, B.; Herrera, F. Towards Highly Accurate Coral Texture Images Classification using Deep Convolutional Neural Networks and Data Augmentation. Expert Syst. Appl. 2019, 118, 315–328. [Google Scholar] [CrossRef]
- Perez-Carabaza, S.; Boydell, O.; O’Connell, J. Monitoring Threatened Irish Habitats Using Multi-Temporal Multi-Spectral Aerial Imagery and Convolutional Neural Networks. In Proceedings of the IEEE International Geoscience and Remote Sensing Symposium IGARSS, Brussels, Belgium, 11–16 July 2021; pp. 2556–2559. [Google Scholar]
- Diegues, A.; Pinto, J.; Ribeiro, P. Automatic Habitat Mapping using Convolutional Neural Networks. In Proceedings of the IEEE OES Autonomous Underwater Vehicle Symposium (AUV), Porto, Portugal, 1–6 November 2018. [Google Scholar]
- Le Quilleuc, A.; Collin, A.; Jasinski, M.F.; Devillers, R. Very High-Resolution Satellite-Derived Bathymetry and Habitat Mapping Using Pleiades-1 and ICESat-2. Remote Sens. 2022, 14, 133. [Google Scholar] [CrossRef]
- Foglini, F.; Grande, V.; Marchese, F.; Bracchi, V.A.; Prampolini, M.; Angeletti, L.; Castellan, G.; Chimienti, G.; Hansen, I.M.; Gudmundsen, M.; et al. Application of Hyperspectral Imaging to Underwater Habitat Mapping, Southern Adriatic Sea. Sensors 2019, 19, 2261. [Google Scholar] [CrossRef] [PubMed]
- Tarantino, C.; Forte, L.; Blonda, P.; Vicario, S.; Tomaselli, V.; Beierkuhnlein, C.; Adamo, M. Intra-Annual Sentinel-2 Time-Series Supporting Grassland Habitat Discrimination. Remote Sens. 2021, 13, 277. [Google Scholar] [CrossRef]
- Eugenio, F.; Marcello, J.; Martin, J.; Rodríguez-Esparragón, D. Benthic Habitat Mapping Using Multispectral High-Resolution Imagery: Evaluation of Shallow Water Atmospheric Correction Techniques. Sensors 2017, 17, 2639. [Google Scholar] [CrossRef] [PubMed]
- Shafique, M.; Sullivan, C.A.; Finn, J.A.; Green, S.; Meredith, D.; Moran, J. Assessing the Distribution and Extent of High Nature Value Farmland in the Republic of Ireland. Ecol. Indic. 2020, 108, 105700. [Google Scholar]
- O’Rourke, E.; Finn, J.A. Farming for Nature: The Role of Results-Based Payments, 1st ed.; Teagasc and National Parks and Wildlife Service (NPWS): Dublin, Ireland, 2020; ISBN 978-1-84170-663-4. [Google Scholar]
- Fossitt, J.A. A Guide to Habitats in Ireland, 1st ed.; Heritage Council: Kilkenny, Ireland, 2000; ISSN 1393-68 08. [Google Scholar]
- Sheridan, H.; Keogh, B.; Anderson, A.; Carnus, T.; McMahon, B.J.; Green, S.; Purvis, G. Farmland Habitat Diversity in Ireland. Land Use Policy 2017, 63, 206–213. [Google Scholar] [CrossRef]
- Smith, G.F.; O’Donoghue, P.; O’Hora, K.; Delaney, E. Best Practice Guidance for Habitat Survey and Mapping, 1st ed.; Heritage Council: Kilkenny, Ireland, 2011. [Google Scholar]
- Press, W.H.; Teukolsky, S.A.; Vetterling, W.T.; Flannery, B.P. Numerical Recipes in C: The Art of Scientific Computing, 2nd ed.; Cambridge University Press: New York, NY, USA, 1992; pp. 123–128. ISBN 0-521-43108-5. [Google Scholar]
- Simonyan, K.; Zisserman, A. Very deep convolutional networks for large-scale image recognition. In Proceedings of the 3rd International Conference on Learning Representations (ICLR), San Diego, CA, USA, 7–9 May 2015; pp. 1–14. [Google Scholar]
- Szegedy, C.; Ioffe, S.; Vanhoucke, V.; Alemi, A. Inception-v4, inception-ResNet and the impact of residual connections on learning. In Proceedings of the 31st AAAI Conference on Artificial Intelligence, San Francisco, CA, USA, 12 August 2016; pp. 1–12. [Google Scholar]
- Chollet, F. Xception: Deep Learning with Depthwise Separable Convolutions. In Proceedings of the IEEE Conference on Computer Vision and Pattern Recognition, Honolulu, HI, USA, 21–26 July 2017; pp. 1251–1258. [Google Scholar]
- Sandler, M.; Howard, A.; Zhu, M.; Zhmoginov, A.; Chen, L.-C. Mobilenetv2: Inverted Residuals and Linear Bottlenecks. In Proceedings of the IEEE Conference on Computer Vision and Pattern Recognition, Salt Lake City, UT, USA, 18–22 June 2018; pp. 4510–4520. [Google Scholar]
- He, K.; Zhang, X.; Ren, S.; Sun, J. Deep Residual Learning for Image Recognition. In Proceedings of the IEEE Conference on Computer Vision and Pattern Recognition, Las Vegas, NV, USA, 27–30 June 2016; pp. 770–778. [Google Scholar]
- Huang, G.; Liu, Z.; Van Der Maaten, L.; Weinberger, K.Q. Densely Connected Convolutional Networks. In Proceedings of the IEEE Conference on Computer Vision and Pattern Recognition, Honolulu, HI, USA, 21–26 July 2017; pp. 4700–4708. [Google Scholar]
- Iandola, F.N.; Han, S.; Moskewicz, M.W.; Ashraf, K.; Dally, W.J.; Keutzer, K. SqueezeNet: AlexNet-level Accuracy with 50x Fewer Parameters and <0.5MB Model Size. In Proceedings of the 5th International Conference on Learning Representations (ICLR), Toulon, France, 24–26 April 2017; pp. 1–13. [Google Scholar]
- Zhang, X.; Zhou, X.; Lin, M.; Sun, J. ShuffleNet: An Extremely Efficient Convolutional Neural Network for Mobile Devices. In Proceedings of the IEEE/CVF Conference on Computer Vision and Pattern Recognition, Salt Lake City, UT, USA, 18–22 June 2018; pp. 6848–6856. [Google Scholar]
- Deng, J.; Dong, W.; Socher, R.; Li, L.-J.; Li, K.; Fei-Fei, L. Imagenet: A Large-Scale Hierarchical Image Database. In Proceedings of the IEEE Conference on Computer Vision and Pattern Recognition, Miami, FL, USA, 20–25 June 2009; pp. 248–255. [Google Scholar]
- Yadav, S.S.; Jadhav, S.M. Deep Convolutional Neural Network based Medical Image Classification for Disease Diagnosis. J. Big Data 2019, 6, 113. [Google Scholar] [CrossRef]
- Bahri, Y.; Kadmon, J.; Pennington, J. Statistical Mechanics of Deep Learning. Annu. Rev. Condens. Matter Phys. 2020, 11, 501–528. [Google Scholar] [CrossRef]
- Srivastava, N.; Hinton, G.E.; Krizhevsky, A.; Sutskever, I.; Salakhutdinov, R. Dropout: A Simple Way to Prevent Neural Networks from Overfitting. J. Mach. Learn. Res. 2014, 15, 1929–1958. [Google Scholar]
- Abraham, B.; Nair, M.S. Computer-aided Detection of COVID-19 from X-ray Images using Multi-CNN and Bayesnet Classifier. Biocybern. Biomed. Eng. 2020, 40, 1436–1445. [Google Scholar] [CrossRef] [PubMed]
- Ying, X. An overview of overfitting and its solutions. J. Phys. Conf. Ser. 2019, 1168, 022022. [Google Scholar] [CrossRef]
- Kandel, I.; Castelli, M.; Popovič, A. Comparative Study of First Order Optimizers for Image Classification Using Convolutional Neural Networks on Histopathology Images. J. Imaging 2020, 6, 92. [Google Scholar] [CrossRef] [PubMed]
- Blume, S.; Benedens, T.; Schramm, D. Hyperparameter Optimization Techniques for Designing Software Sensors Based on Artificial Neural Networks. Sensors 2021, 21, 8435. [Google Scholar] [CrossRef] [PubMed]
- Kim, K.-S.; Choi, Y.-S. HyAdamC: A New Adam-Based Hybrid Optimization Algorithm for Convolution Neural Networks. Sensors 2021, 21, 4054. [Google Scholar] [CrossRef]
- Ganaie, M.A.; Hu, M.; Tanveer, M.; Suganthan, P.N. Ensemble Deep Learning: A Review. arXiv 2021, arXiv:2104.02395. [Google Scholar]

















| Class | Sub-Class | Species |
|---|---|---|
| G: Grassland and Marsh | GA1 | Improved agricultural grassland |
| GSi1 | Dry calcareous and neutral grassland | |
| GS4/GSi4 | Wet grassland | |
| GS2/GSi2 | Dry meadows and grassy verges | |
| W: Woodland and Scrub | WN2 | Oak-ash-hazel woodland |
| WN6 | Wet willow-alder-ash woodland | |
| WN7 | Bog woodland | |
| WD1 | (Mixed) Broadleaved woodland | |
| WD4 | Conifer plantation | |
| B: Cultivated and built land | BC1 | Arable Crops |
| BC2 | Horticulture Land | |
| BC3 | Tilled Land | |
| F: Freshwater | FS1 | Reeds and large sedge swamps |
| FL8 | Other artificial lakes | |
| P: Peatlands | PB4 | Cutover Bog |
| H: Heath and dense bracken | HD1 | Dense Bracken |
| Model | Optimizer | Validation Accuracy for Different Learning Rates | |||
|---|---|---|---|---|---|
| 10−2 | 10−3 | 10−4 | 10−5 | ||
| Base model with VGG16 | ADAM | 65.12 | 68.51 | 70.05 | 66.32 |
| RmsProp | 62.51 | 64.62 | 63.29 | 61.52 | |
| SGD | 44.07 | 40.54 | 45.33 | 42.06 | |
| NADAM | 64.89 | 66.11 | 65.24 | 62.61 | |
| Base model with ResNet34 | ADAM | 69.06 | 73.89 | 72.32 | 71.54 |
| RmsProp | 70.16 | 72.51 | 73.01 | 71.11 | |
| SGD | 56.55 | 58.34 | 58.22 | 57.51 | |
| NADAM | 61.21 | 73.51 | 61.37 | 60.29 | |
| Base model with MobileNetV2 | ADAM | 65.55 | 66.02 | 64.66 | 62.54 |
| RmsProp | 69.18 | 75.12 | 73.51 | 72.66 | |
| SGD | 49.32 | 53.51 | 54.34 | 52.21 | |
| NADAM | 57.51 | 65.07 | 67.98 | 65.55 | |
| Stacked Ensemble | ADAM | 75.54 | 77.02 | 78.70 | 77.37 |
| RmsProp | 76.57 | 78.23 | 79.08 | 75.05 | |
| SGD | 63.39 | 64.21 | 64.11 | 65.63 | |
| NADAM | 69.54 | 69.29 | 65.95 | 63.49 | |
| Class | Model | |||
|---|---|---|---|---|
| VGG16 | ResNet34 | MobileNetV2 | Ensemble | |
| BC1 | 1 | 1 | 1 | 1 |
| BC2 | 0.371 | 0.85 | 0.968 | 0.925 |
| BC3 | 1 | 1 | 0.993 | 1 |
| FL8 | 0.946 | 0.981 | 0.887 | 0.993 |
| FS1 | 0.715 | 0.81 | 0.798 | 0.818 |
| GA1 | 0.819 | 0.688 | 0.871 | 0.881 |
| GS2 | 0.433 | 0.208 | 0.521 | 0.543 |
| GS4 | 0.511 | 0.576 | 0.779 | 0.727 |
| GSi1 | 0.856 | 0.948 | 0.979 | 0.948 |
| GSi2 | 0.923 | 0.875 | 0.945 | 0.912 |
| GSi4 | 0.637 | 0.623 | 0.575 | 0.699 |
| HD1 | 0.531 | 0.962 | 0.968 | 0.993 |
| PB4 | 0.934 | 0.931 | 0.646 | 0.962 |
| WD1 | 0.724 | 0.755 | 0.647 | 0.778 |
| WD4 | 1 | 0.933 | 0.965 | 0.993 |
| WN2 | 0.756 | 0.841 | 0.641 | 0.710 |
| WN6 | 0.987 | 0.956 | 0.954 | 0.993 |
| WN7 | 1 | 0.998 | 1 | 1 |
| Model | Performance Metrics | |||
|---|---|---|---|---|
| Precision | Recall | F–Measure | Accuracy | |
| VGG16 | 0.8019 | 0.7647 | 0.7584 | 0.7861 |
| Resnet34 | 0.8489 | 0.8451 | 0.8273 | 0.8300 |
| MobilenetV2 | 0.8443 | 0.8611 | 0.82 | 0.8414 |
| Stacked Ensemble | 0.8944 | 0.9016 | 0.8842 | 0.8844 |
| Model | Number of Parameters | Execution Time in Minutes/Epoch | Accuracy | ||
|---|---|---|---|---|---|
| Total | Non-Trainable | Trainable | |||
| VGG16 | 18,662,906 | 14,714,688 | 3,948,216 | 3.41 | 0.7861 |
| Resnet34 | 27,684,411 | 21,302,473 | 6,381,938 | 5.57 | 0.8300 |
| MobilenetV2 | 18,086,322 | 12,257,984 | 5,828,338 | 1.04 | 0.8414 |
| Ensemble | 40,759,762 | 39,977,279 | 782,483 | 5.50 | 0.8844 |
| Study | Habitat Type | Dataset | Classes | Classifier | Model | Accuracy |
|---|---|---|---|---|---|---|
| A.Diegues et al., 2018 [45] | marine | Self-collected | 2 | CNN | VGG16 | 85.10 |
| T.Liu et al., 2018 [37] | wetland | Self-Collected | 7 | CNN | - | 76.90 |
| A. Gómez-Ríos et al., 2019 [43] | marine | EILAT & RSMAS | 8, 14 | CNN | ResNet50 & ResNet151 | 98.90 1 |
| M. Yasir et al., 2020 [38] | marine | MLC | 9 | MLP | DenseNet169 | 87.40 |
| This study * | farmland | Self-collected | 18 | CNN | Stacked Ensemble | 88.44 |
Publisher’s Note: MDPI stays neutral with regard to jurisdictional claims in published maps and institutional affiliations. |
© 2022 by the authors. Licensee MDPI, Basel, Switzerland. This article is an open access article distributed under the terms and conditions of the Creative Commons Attribution (CC BY) license (https://creativecommons.org/licenses/by/4.0/).
Share and Cite
Abraham, L.; Davy, S.; Zawish, M.; Mhapsekar, R.; Finn, J.A.; Moran, P. Preliminary Classification of Selected Farmland Habitats in Ireland Using Deep Neural Networks. Sensors 2022, 22, 2190. https://doi.org/10.3390/s22062190
Abraham L, Davy S, Zawish M, Mhapsekar R, Finn JA, Moran P. Preliminary Classification of Selected Farmland Habitats in Ireland Using Deep Neural Networks. Sensors. 2022; 22(6):2190. https://doi.org/10.3390/s22062190
Chicago/Turabian StyleAbraham, Lizy, Steven Davy, Muhammad Zawish, Rahul Mhapsekar, John A. Finn, and Patrick Moran. 2022. "Preliminary Classification of Selected Farmland Habitats in Ireland Using Deep Neural Networks" Sensors 22, no. 6: 2190. https://doi.org/10.3390/s22062190
APA StyleAbraham, L., Davy, S., Zawish, M., Mhapsekar, R., Finn, J. A., & Moran, P. (2022). Preliminary Classification of Selected Farmland Habitats in Ireland Using Deep Neural Networks. Sensors, 22(6), 2190. https://doi.org/10.3390/s22062190

