Soil Moisture Content Retrieval from Remote Sensing Data by Artificial Neural Network Based on Sample Optimization
Abstract
:1. Introduction
2. Study Area and Dataset
2.1. Study Area and Ground Truth Data
2.2. Remote Sensing Data
2.3. Auxiliary Data
2.4. Sample Pool
3. Methodology
3.1. Sample Quantity Optimization: Sparse Sample Exploitation
- 1.
- For dates when the sky above the study area is clear and no in situ observation is absent, all the samples are recorded in the sample pool.
- 2.
- For dates when the study area is partially blocked by clouds or in situ observations are absent, the “sparse samples” with available optical, microwave data, and ground truth observations are recorded similarly in the sample pool.
3.2. Sample Quality Optimization: Input Parameter Selection
- 1.
- Data acquisition time: the data acquisition time was strongly correlated to the surface soil hydraulic conductivities [49]. Meanwhile, the phenological traits of vegetation follow a circulation of alteration on an annual basis [50,51], which plays an essential role in vegetation effect elimination during the process of SMC retrieval in vegetation-covered areas.
- 2.
- 3.
- Elevation and slope: soil moisture was closely related to the local topographical heterogeneity. The landscape shapes physically controlled the hydrological processes and SMC time stability [57,58], with upland water moving to the groundwater and lowland water coming from the groundwater, and water content increasing from the top to the bottom of a slope in a non-linear pattern [59,60].
- 4.
- Land cover type: the land use was analyzed as a factor influencing soil hydraulic attributes and SMC distribution. For example, human activities such as grazing, plowing, and urban development impact the macropores and the continuity of the macropore network of soil, thus altering the mode of local soil water supply and SMC distribution [49,61].
3.3. ANN and SMC Retrieval
3.4. Statistical Metrics
4. Results and Discussion
4.1. Evaluation of Overall Accuracy
4.2. Evaluation of SSE Method
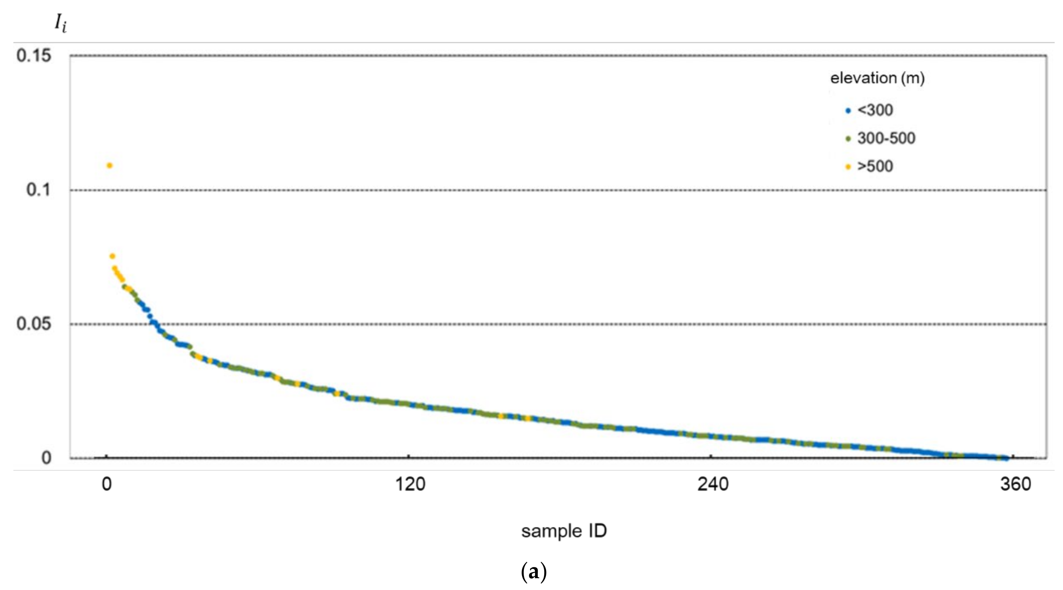
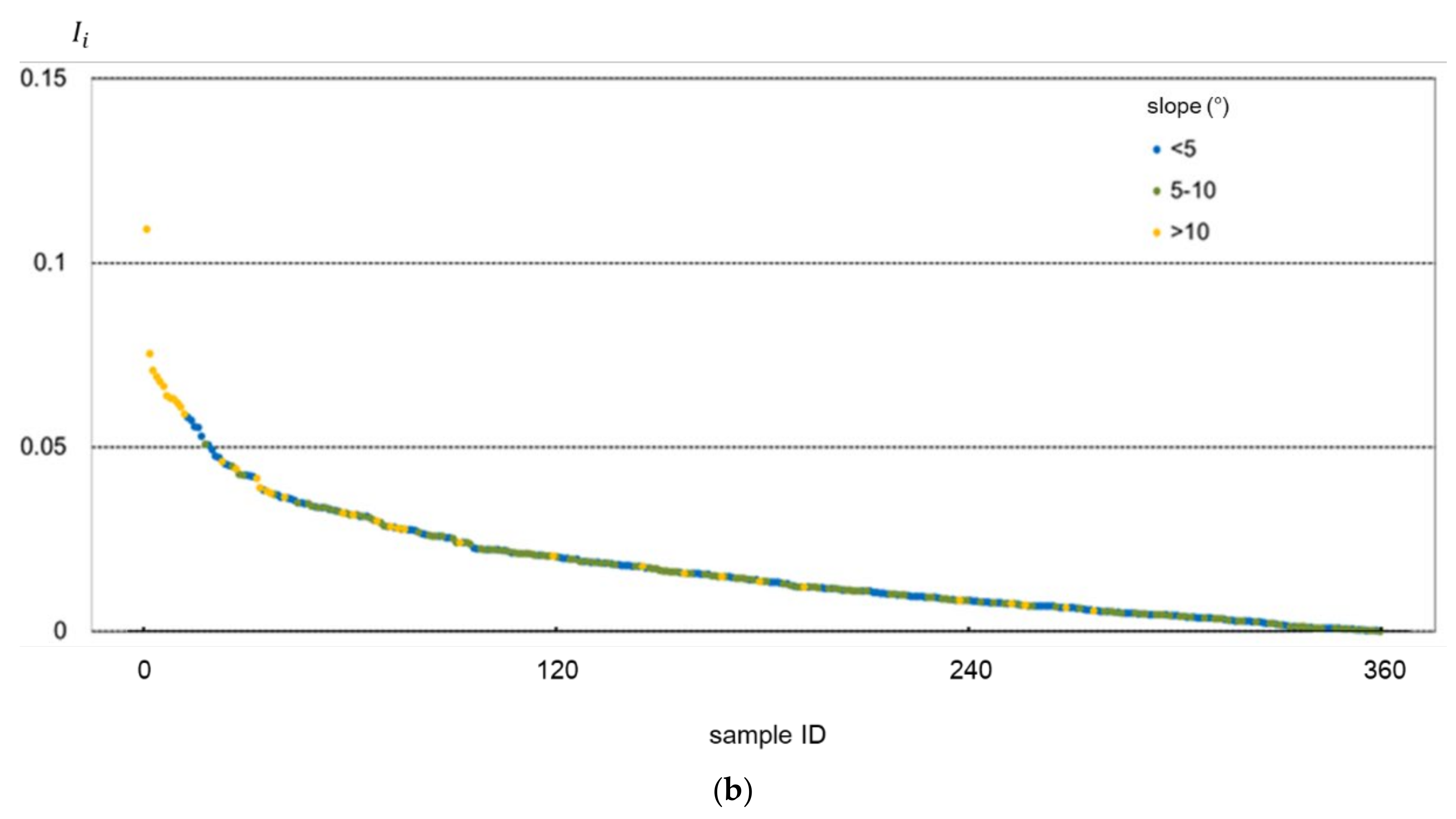
4.3. Sensitivity Analysis of Input Parameters
4.3.1. Data Acquisition Time
4.3.2. LST
4.3.3. Elevation and Slope
4.3.4. Land Cover Type
4.4. SMC Mapping
5. Conclusions
Author Contributions
Funding
Institutional Review Board Statement
Informed Consent Statement
Data Availability Statement
Acknowledgments
Conflicts of Interest
References
- Petropoulos, G.P.; Ireland, G.; Srivastava, P.K.; Ioannou-Katidis, P. An appraisal of the accuracy of operational soil moisture estimates from SMOS MIRAS using validated in situ observations acquired in a Mediterranean environment. Int. J. Remote Sens. 2014, 35, 5239–5250. [Google Scholar] [CrossRef]
- Hirschi, M.; Seneviratne, S.I.; Schär, C. Seasonal variations in terrestrial water storage for major midlatitude river basins. J. Hydrometeorol. 2006, 7, 39–60. [Google Scholar] [CrossRef]
- Robinson, D.A.; Campbell, C.S.; Hopmans, J.W.; Hornbuckle, B.K.; Jones, S.B.; Knight, R.; Ogden, F.; Selker, J.; Wendroth, O. Soil moisture measurement for ecological and hydrological watershed-scale observatories: A review. Vadose Zone J. 2008, 7, 358–389. [Google Scholar] [CrossRef] [Green Version]
- Seneviratne, S.I.; Corti, T.; Davin, E.L.; Hirschi, M.; Jaeger, E.B.; Lehner, I.; Orlowsky, B.; Teuling, A.J. Investigating soil moisture–climate interactions in a changing climate: A review. Earth-Sci. Rev. 2010, 99, 125–161. [Google Scholar] [CrossRef]
- Wang, J. The dielectric properties of soil-water mixtures at microwave frequencies. Radio Sci. 1980, 15, 977–985. [Google Scholar] [CrossRef] [Green Version]
- Jackson, T.J.; Bindlish, R.; Cosh, M.H.; Zhao, T.; Starks, P.J.; Bosch, D.D.; Seyfried, M.; Moran, M.S.; Goodrich, D.C.; Kerr, Y.H.; et al. Validation of soil moisture and ocean salinity (SMOS) soil moisture over watershed networks in the US. IEEE Trans. Geosci. Remote Sens. 2012, 50, 1530–1543. [Google Scholar] [CrossRef] [Green Version]
- Sahebi, M.R.; Angles, J. An inversion method based on multi-angular approaches for estimating bare soil surface parameters from RADARSAT-1. Hydrol. Earth Syst. Sci. 2010, 14, 2355–2366. [Google Scholar] [CrossRef] [Green Version]
- Zhang, X.; Chen, B.; Fan, H.; Huang, J.; Zhao, H. The potential use of multi-band SAR data for soil moisture retrieval over bare agricultural areas: Hebei, China. Remote Sens. 2016, 8, 7. [Google Scholar] [CrossRef] [Green Version]
- Gao, Q.; Zribi, M.; Escorihuela, M.J.; Baghdadi, N. Synergetic use of Sentinel-1 and Sentinel-2 data for soil moisture mapping at 100 m resolution. Sensors 2017, 17, 1966. [Google Scholar] [CrossRef] [Green Version]
- Fung, A.K.; Li, Z.; Chen, K.S. Backscattering from a randomly rough dielectric surface. IEEE Trans. Geosci. Rremote Sens. 1992, 30, 356–369. [Google Scholar] [CrossRef]
- Wu, T.D.; Chen, K.S.; Shi, J.; Fung, A.K. A transition model for the reflection coefficient in surface scattering. IEEE Trans. Geosci. Remote Sens. 2001, 39, 2040–2050. [Google Scholar] [CrossRef]
- Oh, Y.; Sarabandi, K.; Ulaby, F.T. An empirical model and an inversion technique for radar scattering from bare soil surfaces. IEEE Trans. Geosci. Remote Sens. 1992, 30, 370–381. [Google Scholar] [CrossRef]
- Dubois, P.C.; Van Zyl, J.; Engman, T. Measuring soil moisture with imaging radars. IEEE Trans. Geosci. Remote Sens. 1995, 33, 915–926. [Google Scholar] [CrossRef] [Green Version]
- Ulaby, F.T.; Sarabandi, K.; McDonald, K.Y.; Whitt, M.; Dobson, M.C. Michigan microwave canopy scattering model. Int. J. Remote Sens. 1990, 11, 1223–1253. [Google Scholar] [CrossRef]
- Attema, E.P.W.; Ulaby, F.T. Vegetation modeled as a water cloud. Radio Sci. 1978, 13, 357–364. [Google Scholar] [CrossRef]
- Mo, T.; Choudhury, B.J.; Schmugge, T.J.; Wang, J.R.; Jackson, T.J. A model for microwave emission from vegetation-covered fields. J. Geophys. Rese. Oceans 1982, 87, 11229–11237. [Google Scholar] [CrossRef]
- Shi, J.; Chen, K.S.; Li, Q.; Jackson, T.J.; O’Neill, P.E.; Tsang, L. A parameterized surface reflectivity model and estimation of bare-surface soil moisture with L-band radiometer. IEEE Trans. Geosci. Remote Sens. 2002, 40, 2674–2686. [Google Scholar] [CrossRef]
- Dabrowska-Zielinska, K.; Gruszczynska, M.; Kowalik, W.; Stankiewicz, K. Application of multisensor data for evaluation of soil moisture. Adv. Space Res. 2002, 29, 45–50. [Google Scholar] [CrossRef]
- Notarnicola, C.; Angiulli, M.; Posa, F. Use of radar and optical remotely sensed data for soil moisture retrieval over vegetated areas. IEEE Trans. Geosci. Remote Sens. 2006, 44, 925–935. [Google Scholar] [CrossRef]
- Kong, J.; Yang, J.; Zhen, P.; Li, J.; Yang, L. A coupling model for soil moisture retrieval in sparse vegetation covered areas based on microwave and optical remote sensing data. IEEE Trans. Geosci. Remote Sens. 2018, 56, 7162–7173. [Google Scholar] [CrossRef]
- He, B.; Xing, M.; Bai, X. A synergistic methodology for soil moisture estimation in an alpine prairie using radar and optical satellite data. Remote Sens. 2014, 6, 10966–10985. [Google Scholar] [CrossRef] [Green Version]
- Zhang, L.; Meng, Q.; Yao, S.; Wang, Q.; Zeng, J.; Zhao, S.; Ma, J. Soil moisture retrieval from the Chinese GF-3 satellite and optical data over agricultural fields. Sensors 2018, 18, 2675. [Google Scholar] [CrossRef] [PubMed] [Green Version]
- Han, L.; Wang, C.; Yu, T.; Gu, X.; Liu, Q. High-precision soil moisture mapping based on multi-model coupling and background knowledge, over vegetated areas using chinese Gf-3 and GF-1 satellite data. Remote Sens. 2020, 12, 2123. [Google Scholar] [CrossRef]
- Khabazan, S.; Motagh, M.; Hosseini, M. Evaluation of radar backscattering models IEM, OH, and dubois using L and C-Bands SAR Data over different vegetation canopy covers and soil depths. In Proceedings of the International Archives of the Photogrammetry, Remote Sensing and Spatial Information Sciences, Volume XL-1/W3 2013, SMPPR 2013, Tehran, Iran, 5–8 October 2013; pp. 225–230. [Google Scholar]
- Zeng, J.; Li, Z.; Chen, Q.; Bi, H. Method for soil moisture and surface temperature estimation in the Tibetan Plateau using spaceborne radiometer observations. IEEE Geosci. Remote Sens. Lett. 2015, 12, 97–101. [Google Scholar] [CrossRef]
- Yao, P.; Shi, J.; Zhao, T.; Lu, H.; Al-Yaari, A. Rebuilding long time series global soil moisture products using the neural network adopting the microwave vegetation index. Remote Sens. 2017, 9, 35. [Google Scholar] [CrossRef] [Green Version]
- Baghdadi, N.N.; El Hajj, M.; Zribi, M.; Fayad, I. Coupling SAR C-band and optical data for soil moisture and leaf area index retrieval over irrigated grasslands. IEEE J. Sel. Top. Appl. Earth Obs. Remote Sens. 2016, 9, 1229–1243. [Google Scholar] [CrossRef] [Green Version]
- El Hajj, M.; Baghdadi, N.; Zribi, M.; Bazzi, H. Synergic use of Sentinel-1 and Sentinel-2 images for operational soil moisture mapping at high spatial resolution over agricultural areas. Remote Sens. 2017, 9, 1292. [Google Scholar] [CrossRef] [Green Version]
- El Hajj, M.; Baghdadi, N.; Zribi, M.; Belaud, G.; Cheviron, B.; Courault, D.; Charron, F. Soil moisture retrieval over irrigated grassland using X-band SAR data. Remote Sens. Environ. 2016, 176, 202–218. [Google Scholar] [CrossRef] [Green Version]
- Del Frate, F.; Ferrazzoli, P.; Schiavon, G. Retrieving soil moisture and agricultural variables by microwave radiometry using neural networks. Remote Sens. Environ. 2003, 84, 174–183. [Google Scholar] [CrossRef]
- Kolassa, J.; Gentine, P.; Prigent, C.; Aires, F. Soil moisture retrieval from AMSR-E and ASCAT microwave observation synergy. Part 1: Satellite data analysis. Remote Sens. Environ. 2016, 173, 1–14. [Google Scholar] [CrossRef]
- Santi, E.; Paloscia, S.; Pettinato, S.; Notarnicola, C.; Pasolli, L.; Pistocchi, A. Comparison between SAR Soil Moisture Estimates and Hydrological Model Simulations over the Scrivia Test Site. Remote Sens. 2013, 5, 4961–4976. [Google Scholar] [CrossRef] [Green Version]
- Alexakis, D.D.; Mexis, F.D.; Vozinaki, A.E.; Daliakopoulos, I.N.; Tsanis, I.K. Soil moisture content estimation based on Sentinel-1 and auxiliary earth observation products. A hydrological approach. Sensors 2017, 17, 1455. [Google Scholar] [CrossRef] [PubMed] [Green Version]
- Rodríguez-Fernández, N.J.; Aires, F.; Richaume, P.; Kerr, Y.H.; Prigent, C.; Kolassa, J.; Cabot, F.; Jimenez, C.; Mahmoodi, A.; Drusch, M. Soil Moisture Retrieval Using Neural Networks: Application to SMOS. IEEE Trans. Geosci. Remote Sens. 2015, 53, 5991–6007. [Google Scholar] [CrossRef]
- Cui, Y.; Long, D.; Hong, Y.; Zeng, C.; Zhou, J.; Han, Z.; Liu, R.; Wan, W. Validation and reconstruction of FY-3B/MWRI soil moisture using an artificial neural network based on reconstructed MODIS optical products over the Tibetan Plateau. J. Hydrol. 2016, 543, 242–254. [Google Scholar] [CrossRef]
- Xing, C.; Chen, N.; Zhang, X.; Gong, J. A machine learning based reconstruction method for satellite remote sensing of soil moisture images with in situ observations. Remote Sens. 2017, 9, 484. [Google Scholar] [CrossRef] [Green Version]
- Liu, Y.; Dorigo, W.; Parinussa, R.; de Jeu, R.; Wagner, W.; McCabe, M.; Evans, J.; van Dijk, A. Trend-preserving blending of passive and active microwave soil moisture retrievals. Remote Sens. Environ. 2012, 123, 280–297. [Google Scholar] [CrossRef]
- British Broadcasting Corporation. Average Conditions, Vienna, Austria. 2006. Available online: https://web.archive.org/web/20101202042009/http://www.bbc.co.uk/weather/world/city_guides/results.shtml?tt=TT000033 (accessed on 20 January 2022).
- Händel, F.; Liu, G.; Fank, J.; Friedl, F.; Liedl, R.; Dietrich, P. Assessment of small-diameter shallow wells for managed aquifer recharge at a site in southern Styria, Austria. Hydrogeol. J. 2016, 24, 2079–2091. [Google Scholar] [CrossRef]
- Al-Yaari, A.; Wigneron, J.P.; Dorigo, W.; Colliander, A.; Pellarin, T.; Hahn, S.; Mialon, A.; Richaume, P.; Fernandez-Moran, R.; Fan, L.; et al. Assessment and inter-comparison of recently developed/reprocessed microwave satellite soil moisture products using ISMN ground-based measurements. Remote Sens. Environ. 2019, 224, 289–303. [Google Scholar] [CrossRef]
- Dorigo, W.A.; Xaver, A.; Vreugdenhil, M.; Gruber, A.; Hegyiova, A.; Sanchis-Dufau, A.D.; Zamojski, D.; Cordes, C.; Wagner, W.; Drusch, M. Global automated quality control of in situ soil moisture data from the International Soil Moisture Network. Vadose Zone J. 2013, 12, vzj2012.0097. [Google Scholar] [CrossRef]
- Gruber, A.; Wagner, W.; Hegyiova, A.; Greifeneder, F.; Schlaffer, S. Potential of Sentinel-1 for high-resolution soil moisture monitoring. In Proceedings of the IEEE International Geoscience and Remote Sensing Symposium-IGARSS, Melbourne, VIC, Australia, 21–26 July 2013; IEEE: Piscataway, NJ, USA, 2013; pp. 4030–4033. [Google Scholar]
- Paloscia, S.; Pettinato, S.; Santi, E.; Notarnicola, C.; Pasolli, C.; Reppucci, A. Soil moisture mapping using Sentinel-1 images: Algorithm and preliminary validation. Remote Sens. Environ. 2013, 134, 234–248. [Google Scholar] [CrossRef]
- Hornacek, M.; Wagner, W.; Sabel, D.; Truong, H.L.; Snoeij, P.; Hahmann, T.; Diedrich, E.; Doubkova, M. Potential for high resolution systematic global surface soil moisture retrieval via change detection using Sentinel-1. IEEE J. Sel. Top. Appl. Earth Obs. Remote Sens. 2012, 5, 1303–1311. [Google Scholar] [CrossRef]
- Attarzadeh, R.; Amini, J.; Notarnicola, C.; Greifeneder, F. Synergetic Use of Sentinel-1 and Sentinel-2 data for soil moisture mapping at plot scale. Remote Sens. 2018, 10, 1285. [Google Scholar] [CrossRef] [Green Version]
- El Hajj, M.; Baghdadi, N.; Zribi, M.; Angelliaume, S. Analysis of Sentinel-1 radiometric stability and quality for land surface applications. Remote Sens. 2016, 8, 406. [Google Scholar] [CrossRef] [Green Version]
- Millard, K.; Richardson, M. Quantifying the relative contributions of vegetation and soil moisture conditions to polarimetric C-Band SAR response in a temperate peatland. Remote Sens. Environ. 2018, 206, 123–138. [Google Scholar] [CrossRef]
- Taconet, O.; Vidal-Madjar, D.; Emblanch, C.; Normand, M. Taking into account vegetation effects to estimate soil moisture from C-band radar measurements. Remote Sens. Environ. 1996, 56, 52–56. [Google Scholar] [CrossRef]
- Zhou, X.; Lin, H.S.; White, E.A. Surface soil hydraulic properties in four soil series under different land uses and their temporal changes. Catena 2008, 73, 180–188. [Google Scholar] [CrossRef]
- Chen, J.; Jönsson, P.; Tamura, M.; Gu, Z.; Matsushita, B.; Eklundh, L. A simple method for reconstructing a high-quality NDVI time-series data set based on the Savitzky–Golay filter. Remote Sens. Environ. 2004, 91, 332–344. [Google Scholar] [CrossRef]
- Arvor, D.; Jonathan, M.; Meirelles, M.S.; Dubreuil, V.; Durieux, L. Classification of MODIS EVI time series for crop mapping in the state of Mato Grosso, Brazil. Int. J. Remote Sens. 2011, 32, 7847–7871. [Google Scholar] [CrossRef]
- Srivastava, P.K.; Han, D.; Ramirez, M.R.; Islam, T. Machine learning techniques for downscaling SMOS satellite soil moisture using MODIS land surface temperature for hydrological application. Water Resour. Manag. 2013, 27, 3127–3144. [Google Scholar] [CrossRef]
- Sandholt, I.; Rasmussen, K.; Andersen, J. A simple interpretation of the surface temperature/vegetation index space for assessment of surface moisture status. Remote Sens. Environ. 2002, 79, 213–224. [Google Scholar] [CrossRef]
- Goetz, S.J. Multi-sensor analysis of NDVI, surface temperature and biophysical variables at a mixed grassland site. Int. J. Remote Sens. 1997, 18, 71–94. [Google Scholar] [CrossRef]
- Holzman, M.E.; Rivas, R.; Bayala, M. Subsurface soil moisture estimation by VI–LST method. IEEE Geosci. Remote Sens. Lett. 2014, 11, 1951–1955. [Google Scholar] [CrossRef]
- Nemani, R.; Pierce, L.; Running, S.; Goward, S. Developing satellite-derived estimates of surface moisture status. J. Appl. Meteor. 1993, 32, 548–557. [Google Scholar] [CrossRef] [Green Version]
- Joshi, C.; Mohanty, B.P.; Jacobs, J.M.; Ines, A.V. Spatiotemporal analyses of soil moisture from point to footprint scale in two different hydroclimatic regions. Water Resour. Res. 2011, 47, W01508. [Google Scholar] [CrossRef]
- Mohanty, B.P.; Skaggs, T.H. Spatio-temporal evolution and time-stable characteristics of soil moisture within remote sensing footprints with varying soil, slope, and vegetation. Adv. Water Resour. 2001, 24, 1051–1067. [Google Scholar] [CrossRef]
- Lin, H.; Bouma, J.; Wilding, L.; Richardson, J.; Kutilek, M.; Nielsen, D. Advances in hydropedology. Adv. Agron. 2005, 85, 1–89. [Google Scholar] [CrossRef]
- Hawley, M.E.; Jackson, T.J.; McCuen, R.H. Surface soil moisture variation on small agricultural watersheds. J. Hydrol. 1983, 62, 179–200. [Google Scholar] [CrossRef]
- Buczko, U.; Bens, O.; Huttl, R. Tillage effects on hydraulic properties and macroporosity in silty and sandy soils. Soil Sci. Soc. Am. J. 2006, 70, 1998–2007. [Google Scholar] [CrossRef]
- Santi, E.; Pettinato, S.; Paloscia, S.; Pampaloni, P.; Macelloni, G.; Brogioni, M. An algorithm for generating soil moisture and snow depth maps from microwave spaceborne radiometers: HydroAlgo. Hydrol. Earth Syst. Sci. 2012, 16, 3659–3676. [Google Scholar] [CrossRef] [Green Version]
- Tapoglou, E.; Karatzas, G.P.; Trichakis, I.C.; Varouchakis, E.A. A spatio-temporal hybrid neural network-Kriging model for groundwater level simulation. J. Hydrol. 2014, 519, 3193–3203. [Google Scholar] [CrossRef]
- Said, S.; Kothyari, U.C.; Arora, M.K. ANN-based soil moisture retrieval over bare and vegetated areas using ERS-2 SAR data. J. Hydrol. Eng. 2008, 13, 461–475. [Google Scholar] [CrossRef]
- Santi, E.; Paloscia, S.; Pettinato, S.; Fontanelli, G. Application of artificial neural networks for the soil moisture retrieval from active and passive microwave spaceborne sensors. Int. J. Appl. Earth Obs. Geoinf. 2016, 48, 61–73. [Google Scholar] [CrossRef]
- Chai, S.S.; Walker, J.P.; Makarynskyy, O.; Kuhn, M.; Veenendaal, B.; West, G. Use of soil moisture variability in artificial neural network retrieval of soil moisture. Remote Sens. 2010, 2, 166–190. [Google Scholar] [CrossRef] [Green Version]
- Gavin, H. The Levenberg-Marquardt Method for Nonlinear Least Squares Curve-Fitting Problems. Department of Civil and Environmental Engineering, Duke University. 9 October 2013; pp. 1–17. Available online: https://www.academia.edu/9985415/The_Levenberg_Marquardt_method_for_nonlinear_least_squares_curve_fitting_problems (accessed on 20 January 2022).
- Holtgrave, A.K.; Förster, M.; Greifeneder, F.; Notarnicola, C.; Kleinschmit, B. Estimation of soil moisture in vegetation-covered floodplains with sentinel-1 SAR data using support vector regression. PFG–J. Photogram. Remote Sens. Geoinf. Sci. 2018, 86, 85–101. [Google Scholar] [CrossRef]
- Baghdadi, N.; Holah, N.; Zribi, M. Soil moisture estimation using multi-incidence and multi-polarization ASAR data. Int. J. Remote Sens. 2006, 27, 1907–1920. [Google Scholar] [CrossRef]
- Schmugge, T. Remote Sensing of Surface Soil Moisture. J. Appl. Meteor. 1978, 17, 1549–1557. [Google Scholar] [CrossRef] [Green Version]
- Charpentier, M.; Groffman, P. Soil moisture variability within remote sensing pixels. J. Geophys. Res. 1992, 97, 18987–18995. [Google Scholar] [CrossRef]
- Grossman, R.; Harms, D.; Seybold, C.; Herrick, J. Coupling use-dependent and use-invariant data for soil quality evaluation in the United States. J. Soil Water Conserv. 2001, 56, 63–68. [Google Scholar] [CrossRef]
- Wagner, W.; Reimer, C.; Bauer-Marschallinger, B.; Enenkel, M.; Hahn, S.; Melzer, T.; Naeimi, V.; Paulik, C.; Dorigo, W. Long-term soil moisture time series analyses based on active microwave backscatter measurements. In Proceedings of the International Archives of Photogrammetry, Remote Sensing and Spatial Information Sciences, Volume XL-7/W3, 2015 36th International Symposium on Remote Sensing of Environment, Berlin, Germany, 11–15 May 2015; pp. 545–550. [Google Scholar]












| # | Lat. and Long. | Network | Landcover | # | Lat. and Long. | Network | Landcover |
|---|---|---|---|---|---|---|---|
| 1 | 46.91691° N 15.78112° E | WEGENERNET | farmland | 12 | 48.15202° N 15.15303° E | GROW | farmland |
| 2 | 46.97232° N 15.81499° E | WEGENERNET | farmland | 13 | 48.15257° N 15.15104° E | GROW | farmland |
| 3 | 46.99726° N 15.85507° E | WEGENERNET | farmland | 14 | 48.15356° N 15.14857° E | GROW | farmland |
| 4 | 46.98299° N 15.87115° E | WEGENERNET | farmland | 15 | 48.15403° N 15.15299° E | GROW | farmland |
| 5 | 46.93296° N 15.90710° E | WEGENERNET | farmland | 16 | 48.15474° N 15.14844° E | GROW | farmland |
| 6 | 46.93291° N 15.92462° E | WEGENERNET | grassland | 17 | 48.15562° N 15.14804° E | GROW | farmland |
| 7 | 46.97970° N 15.94122° E | WEGENERNET | grassland | 18 | 48.15645° N 15.14799° E | GROW | farmland |
| 8 | 46.92135° N 16.03337° E | WEGENERNET | farmland | 19 | 48.15709° N 15.13658° E | GROW | farmland |
| 9 | 46.93427° N 16.04056° E | WEGENERNET | farmland | 20 | 48.15725° N 15.15149° E | GROW | farmland |
| 10 | 48.15117° N 15.15417° E | GROW | farmland | 21 | 48.15804° N 15.14731° E | GROW | farmland |
| 11 | 48.15179° N 15.15424° E | GROW | farmland | 22 | 48.18776° N 15.98071° E | GROW | grassland |
| # | Dates of Radar Images | Dates of Optical Images | # | Dates of Radar Images | Dates of Optical Images | # | Dates of Radar Images | Dates of Optical Images |
|---|---|---|---|---|---|---|---|---|
| 1 | 18 January 2016 | 18 January 2016 | 24 | 24 June 2017 | 22 June 2017 | 47 | 3 February 2019 | 4 February 2019 |
| 2 | 26 January 2016 | 27 January 2016 | 25 | 31 July 2017 | 31 July 2017 | 48 | 27 February 2019 | 27 February 2019 |
| 3 | 30 March 2016 | 31 March 2016 | 26 | 11 August 2017 | 9 August 2017 | 49 | 23 March 2019 | 24 March 2019 |
| 4 | 18 April 2016 | 16 April 2016 | 27 | 4 November 2017 | 4 November 2017 | 50 | 30 March 2019 | 31 March 2019 |
| 5 | 23 April 2016 | 23 April 2016 | 28 | 20 November 2017 | 20 November 2017 | 51 | 16 April 2019 | 16 April 2019 |
| 6 | 4 July 2016 | 5 July 2016 | 29 | 5 December 2017 | 6 December 2017 | 52 | 27 April 2019 | 25 April 2019 |
| 7 | 12 July 2016 | 12 July 2016 | 30 | 24 February 2018 | 24 February 2018 | 53 | 2 May 2019 | 2 May 2019 |
| 8 | 23 July 2016 | 21 July 2016 | 31 | 21 April 2018 | 22 April 2018 | 54 | 18 May 2019 | 18 May 2019 |
| 9 | 29 August 2016 | 29 August 2016 | 32 | 28 April 2018 | 29 April 2018 | 55 | 3 June 2019 | 3 June 2019 |
| 10 | 22 September 2016 | 23 September 2016 | 33 | 31 May 2018 | 31 May 2018 | 56 | 14 June 2019 | 12 June 2019 |
| 11 | 29 September 2016 | 30 September 2016 | 34 | 2 July 2018 | 2 July 2018 | 57 | 19 June 2019 | 19 June 2019 |
| 12 | 16 October 2016 | 16 October 2016 | 35 | 18 July 2018 | 18 July 2018 | 58 | 27 June 2019 | 28 June 2019 |
| 13 | 1 November 2016 | 1 November 2016 | 36 | 26 July 2018 | 27 July 2018 | 59 | 4 July 2019 | 5 July 2019 |
| 14 | 9 November 2016 | 10 November 2016 | 37 | 2 August 2018 | 3 August 2018 | 60 | 14 August 2019 | 15 August 2019 |
| 15 | 3 December 2016 | 3 December 2016 | 38 | 19 August 2018 | 19 August 2018 | 61 | 2 September 2019 | 31 August 2019 |
| 16 | 14 December 2016 | 12 December 2016 | 39 | 30 August 2018 | 28 August 2018 | 62 | 8 October 2019 | 9 October 2019 |
| 17 | 20 January 2017 | 20 January 2017 | 40 | 19 September 2018 | 20 September 2018 | 63 | 20 October 2019 | 18 October 2019 |
| 18 | 5 February 2017 | 5 February 2017 | 41 | 28 September 2018 | 29 September 2018 | 64 | 1 November 2019 | 25 October 2019 |
| 19 | 9 March 2017 | 9 March 2017 | 42 | 6 October 2018 | 6 October 2018 | 65 | 5 January 2020 | 6 January 2020 |
| 20 | 2 April 2017 | 3 April 2017 | 43 | 22 October 2018 | 22 October 2018 | 66 | 9 March 2020 | 10 March 2020 |
| 21 | 9 April 2017 | 10 April 2017 | 44 | 30 October 2018 | 31 October 2018 | 67 | 2 April 2020 | 2 April 2020 |
| 22 | 27 May 2017 | 28 May 2017 | 45 | 11 November 2018 | 7 November 2018 | 68 | 10 April 2020 | 11 April 2020 |
| 23 | 13 June 2017 | 13 June 2017 | 46 | 15 November 2018 | 16 November 2018 | 69 | 26 April 2020 | 27 April 2020 |
| Date | d1 | d2 | d3 | d4 | d5 | d6 |
|---|---|---|---|---|---|---|
| traditional method | ABCD | - | - | - | - | - |
| SSE method | ABCD | C | AB | ACD | D | - |
| Scenario | Input Parameters |
|---|---|
| 0 | θ, σVH, σVV, NDVI, month, LST, elevation, slope, land cover |
| 1 | θ, σVH, σVV, NDVI |
| 2 | θ, σVH, σVV, NDVI, month |
| 3 | θ, σVH, σVV, NDVI, LST |
| 4 | θ, σVH, σVV, NDVI, elevation |
| 5 | θ, σVH, σVV, NDVI, slope |
| 6 | θ, σVH, σVV, NDVI, land cover |
| Dataset | Training | Validation | Testing |
|---|---|---|---|
| RMSE (m3m−3) | 0.048 | 0.054 | 0.052 |
| Without SSE | With SSE | |
|---|---|---|
| RMSE (m3m−3) | 0.090 | 0.068 |
| r | 0.635 | 0.736 |
| Scenarios | Input Parameters | Statistical Metrics | |||||||||
|---|---|---|---|---|---|---|---|---|---|---|---|
| Month | σVH | σVV | NDVI | LST | Elevation | Slope | Land Cover | θ | RMSE (m3m−3) | r | |
| 1 | √ | √ | √ | √ | 0.089 | 0.588 | |||||
| 2 | √ | √ | √ | √ | √ | 0.078 | 0.637 | ||||
| 3 | √ | √ | √ | √ | √ | 0.084 | 0.616 | ||||
| 4 | √ | √ | √ | √ | √ | 0.070 | 0.689 | ||||
| 5 | √ | √ | √ | √ | √ | 0.083 | 0.639 | ||||
| 6 | √ | √ | √ | √ | √ | 0.091 | 0.599 | ||||
| Of All Samples | Of Cropland Samples | Percentage of Cropland Samples | |
|---|---|---|---|
| 372 | 287 | 77.2% | |
| 6.64% | 5.66% | 85.2% |
Publisher’s Note: MDPI stays neutral with regard to jurisdictional claims in published maps and institutional affiliations. |
© 2022 by the authors. Licensee MDPI, Basel, Switzerland. This article is an open access article distributed under the terms and conditions of the Creative Commons Attribution (CC BY) license (https://creativecommons.org/licenses/by/4.0/).
Share and Cite
Liu, Q.; Gu, X.; Chen, X.; Mumtaz, F.; Liu, Y.; Wang, C.; Yu, T.; Zhang, Y.; Wang, D.; Zhan, Y. Soil Moisture Content Retrieval from Remote Sensing Data by Artificial Neural Network Based on Sample Optimization. Sensors 2022, 22, 1611. https://doi.org/10.3390/s22041611
Liu Q, Gu X, Chen X, Mumtaz F, Liu Y, Wang C, Yu T, Zhang Y, Wang D, Zhan Y. Soil Moisture Content Retrieval from Remote Sensing Data by Artificial Neural Network Based on Sample Optimization. Sensors. 2022; 22(4):1611. https://doi.org/10.3390/s22041611
Chicago/Turabian StyleLiu, Qixin, Xingfa Gu, Xinran Chen, Faisal Mumtaz, Yan Liu, Chunmei Wang, Tao Yu, Yin Zhang, Dakang Wang, and Yulin Zhan. 2022. "Soil Moisture Content Retrieval from Remote Sensing Data by Artificial Neural Network Based on Sample Optimization" Sensors 22, no. 4: 1611. https://doi.org/10.3390/s22041611
APA StyleLiu, Q., Gu, X., Chen, X., Mumtaz, F., Liu, Y., Wang, C., Yu, T., Zhang, Y., Wang, D., & Zhan, Y. (2022). Soil Moisture Content Retrieval from Remote Sensing Data by Artificial Neural Network Based on Sample Optimization. Sensors, 22(4), 1611. https://doi.org/10.3390/s22041611

