Damage Classification Using Supervised Self-Organizing Maps in Structural Health Monitoring
Abstract
1. Introduction
2. Structural Health Monitoring System
- Excitation of a network of piezoelectric transducers by means of a signal previously programmed in the arbitrary signal generator.
- Signal multiplexing capacity.
- Collection, conditioning and storage of data obtained from the piezoelectric sensor network.
- Data analysis for the classification of damage in the analyzed structure using self-organizing maps.
2.1. Sensors
2.2. Multiplexer
2.3. Data Acquisition System (DAQ)
2.4. Software and Communication
- Initialization: Search and identification of device (arbitrary wave generator).
- Adjust parameters: The characteristics of the signal such as frequency and amplitude are fixed.
- Signal construction: The signal is constructed using trigonometric functions, normal distribution functions, and direct digital synthesis (DDS).
- Signal generation: The signal is generated and produced through the output channel of the generator.
- Initialization: As in the first part, the search and identification of the device are carried out.
- Configuration: Data acquisition parameters, such as sampling frequency, horizontal scale, vertical scale, among others, are set.
- Acquisition: Data entering each of the channels of the data acquisition system are read.
- Storage: Data are stored in memory for processing.
3. Theoretical Background
3.1. Principal Component Analysis (PCA)
3.1.1. Autoscaling
3.1.2. Group Scaling
3.1.3. Relative Scale 1
3.1.4. Relative Scale 4
3.1.5. Range Scale 1
3.1.6. Range Scale 2
3.1.7. Standard Normal Variate Transform (SNVT)
3.2. Damage Detection Indices
3.2.1. Hotelling T Statistic
3.2.2. Q Statistic
3.3. Damage Classification
3.3.1. Self-Organizing Maps (SOM)
3.3.2. Counterpropagation Artificial Neural Network (CPANN)
3.3.3. Supervised Kohonen Network (SKN)
3.3.4. X–Y Fused Kohonen (XYF)
4. Proposed Methodology
4.1. Damage Classification Methodology
- Filtering, organization of the collected data, and construction of the data set. Since the DAQ control program only provided data in a .csv file, it is necessary to apply a filter that attenuates the noise (high-frequency noise and impulsive noise) and creates the matrices that will later be processed and analyzed. The filter bandwidth is defined to reject all the signals that are outside the spectrum of the tone burst signal shown in Figure 3.
- Normalization of the data set. Data scaling is carried out, eliminating the differences that could exist in the response generated by the different piezoelectric transducers. Although, in theory, they all have the same manufacturing characteristics, in practice, they turn out to be slightly different products of mass production.
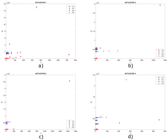
- Reduction of the data set and feature extraction. Redundancy in the data is eliminated and statistical indices containing information on the structural changes of the object of study are extracted. This process is carried out using multivariate analysis techniques such as PCA (principal component analysis), which is explained in Section 3. After applying this technique, scores matrix, T and Q arrays are obtained; these elements are the features necessary to construct the input vectors for the neural networks.
- Damage classification by using supervised and semi-supervised self-organizing maps. This task is carried out using two supervised neural networks, as in the case of supervised Kohonen (SKN) and X–Y fused Kohonen (XYF), and only one semi-supervised algorithm, as in the case of counterpropagation artificial neural network (CPANN). At this stage, input vectors are created using PCA, and target vectors are used to train the previously mentioned neural networks.
4.2. General Scheme for Damage Classification
- 1.
- Piezoelectric transducer excitation.
- 2.
- Data collection.
- 3.
- Filtering and data organization.
- 4.
- Damaged and undamaged plate reference model construction.
- 5.
- Self-organizing maps training.
- 6.
- Results display.
- Pre-processing: Autoscaling.
- Initialization algorithm: Random.
- Training algorithm: Sequential.
- Neighborhood function: Gaussian.
5. Results and Discussion
5.1. Specimen 1: Aluminum Plate 200 × 200 mm
5.1.1. Case Study No. 1: Aluminum Plate with Two Damages
5.1.2. Case Study No. 2: Aluminum Plate with Three Damages
5.2. Second Specimen: Aluminum Plate 400 × 400 mm
5.3. Third Specimen: Composite Material (CFRP) Plate
6. Conclusions and Future Work
- To classify a damage it is necessary firstly to detect the damage. In this case the scores and indices allowed to know the differences in the data from the healthy structure with the unhealthy structure or with abnormal conditions. These features from each actuation phase are used as input to the classifier to classify different conditions of the structure including the healthy state.
- Data preprocessing: normalization techniques are supposed to be a necessary step in classification tasks. Seven techniques presented in Section 3 were explored, however, autoscaling produced the best results. This can be attributed mainly to the ability of this technique to adjust signals from different piezoelectrics with different scale and magnitude.
- Dimensionality reduction: principal component analysis allowed feature extraction by reducing the size of the dataset used in 99.92%. The selection of the number of principal components was based on the percentages of accumulated variance by selecting a number of components that retained at least 50% of the variance, which resulted in a total of 8 principal components.
- Damage classification: Three artificial neural networks based on self-organizing maps were evaluated: two with supervised learning (SKN and XYF) and one with semi-supervised learning (CPANN). The performance of each one was compared with other state-of-the-art algorithms in SHM, such as, k-nearest neighbors (kNN), Classification trees (CART), partial least square discriminant analysis (PLSDA), discriminant analysis (DA) and backpropagation neural networks (BPNN). According to the cross-validation results, the SKN and XYF networks are the best option, since their accuracy percentages were the higher, 72.5% and 73.75%, respectively. However, the validation of the CPANN network must continue, since it turned out to have a lower performance (accuracy of 61.25%) than several classification algorithms with which it was compared. Additionally, classification results show that at least two principal components are required to show satisfactory results for SKN and XYF in first experiment. Thus, these neural networks require features that accumulate less than 50% of the cumulative variance.
Author Contributions
Funding
Institutional Review Board Statement
Informed Consent Statement
Data Availability Statement
Acknowledgments
Conflicts of Interest
Abbreviations
| BPNN | Backpropagation Neural Networks |
| CART | Classification Trees |
| CFRP | Carbon Fiber Reinforced Polymer |
| CPANN | Counterpropagation Artificial Neural Network |
| DA | Discriminant Analysis |
| DAQ | Data Acquisition System |
| kNN | k-Nearest Neighbours |
| PCA | Principal Component Analysis |
| PLSDA | Partial Least Squares Discriminant Analysis |
| PZT | Piezoelectric |
| SKN | Supervised Kohonen Network |
| SOM | Self-Organizing Map |
| XYF | X–Y Fused Kohonen |
References
- Rytter, A. Vibrational Based Inspection of Civil Engineering Structures. Ph.D. Thesis, Aalborg University, Aalborg, Denmark, 1993. [Google Scholar]
- Farrar, C.; Worden, K. Sensing and Data Acquisition. In Structural Health Monitoring; John Wiley & Sons, Ltd.: Hoboken, NJ, USA, 2012; Chapter 4; pp. 53–85. [Google Scholar] [CrossRef]
- Tibaduiza, D. Design and Validation of a Structural Health Monitoring System for Aeronautical Structures. Ph.D. Thesis, Universitat Politècnica de Catalunya, Barcelona, Spain, 2013. [Google Scholar]
- Anaya, M.; Tibaduiza, D.A.; Torres-Arredondo, M.A.; Pozo, F.; Ruiz, M.; Mujica, L.E.; Rodellar, J.; Fritzen, C.P. Data-driven methodology to detect and classify structural changes under temperature variations. Smart Mater. Struct. 2014, 23, 045006. [Google Scholar] [CrossRef]
- Yuan, F. 1—Integrated vehicle health management in aerospace structures. In Structural Health Monitoring (SHM) in Aerospace Structures; Yuan, F.G., Ed.; Woodhead Publishing: Sawston, UK, 2016; pp. 3–31. [Google Scholar] [CrossRef]
- Malekloo, A.; Ozer, E.; AlHamaydeh, M.; Girolami, M. Machine learning and structural health monitoring overview with emerging technology and high-dimensional data source highlights. Struct. Health Monit. 2021. [Google Scholar] [CrossRef]
- Application of SHM Systems. 2021. Available online: https://www.acellent.com/applications-2 (accessed on 30 November 2021).
- Comisu, C.C.; Taranu, N.; Boaca, G.; Scutaru, M.C. Structural health monitoring system of bridges. Procedia Eng. 2017, 199, 2054–2059. [Google Scholar] [CrossRef]
- Sousa, H.; Félix, C.; Bento, J.; Figueiras, J. Design and implementation of a monitoring system applied to a long-span prestressed concrete bridge. Struct. Concr. 2011, 12, 82–93. [Google Scholar] [CrossRef]
- Wang, S.; Wu, W.; Shen, Y.; Liu, Y.; Jiang, S. Influence of the pzt sensor array configuration on lamb wave tomography imaging with the rapid algorithm for hole and crack detection. Sensors 2020, 20, 860. [Google Scholar] [CrossRef] [PubMed]
- Qing, X.; Li, W.; Wang, Y.; Sun, H. Piezoelectric Transducer-Based Structural Health Monitoring for Aircraft Applications. Sensors 2019, 19, 545. [Google Scholar] [CrossRef] [PubMed]
- Usama, M.; Qadir, J.; Raza, A.; Arif, H.; Yau, K.L.A.; Elkhatib, Y.; Hussain, A.; Al-Fuqaha, A. Unsupervised Machine Learning for Networking: Techniques, Applications and Research Challenges. IEEE Access 2019, 7, 65579–65615. [Google Scholar] [CrossRef]
- Johnson, J.; Yadav, A. Fault detection and classification technique for HVDC transmission lines using KNN. In Information and Communication Technology for Sustainable Development; Springer: Singapore, 2016. [Google Scholar]
- Vitola, J.; Tibaduiza, D.; Anaya, M.; Pozo, F. Structural Damage detection and classification based on Machine learning algorithms. In Proceedings of the 8th European Workshop on Structural Health Monitoring, Bilbao, Spain, 5–8 July 2016; Volume 4, pp. 2853–2862. [Google Scholar]
- Tibaduiza Burgos, D.A.; Gomez Vargas, R.C.; Pedraza, C.; Agis, D.; Pozo, F. Damage identification in structural health monitoring: A brief review from its implementation to the use of data-driven applications. Sensors 2020, 20, 733. [Google Scholar] [CrossRef]
- Chapuis, B.; Sjerve, E. Sensors, Algorithms and Applications for Structural Health Monitoring: IIW Seminar on SHM, 2015; Springer: Berlin, Germany, 2018; p. 105. [Google Scholar]
- Tibaduiza, D.; Anaya, M.; Forero, E.; Castro, R.; Pozo, F. A Sensor Fault Detection Methodology applied to Piezoelectric Active Systems in Structural Health Monitoring Applications. In IOP Conference Series: Materials Science and Engineering; IOP Publishing: Bristol, UK, 2016; Volume 138, p. 12016. [Google Scholar] [CrossRef]
- Avci, O.; Abdeljaber, O.; Kiranyaz, S.; Inman, D. Structural Health Monitoring with Self-Organizing Maps and Artificial Neural Networks. In Topics in Modal Analysis & Testing; Mains, M.L., Dilworth, B.J., Eds.; Springer International Publishing: Cham, Switherland, 2020; Volume 8, pp. 237–246. [Google Scholar]
- Tibaduiza, D.A.; Torres-Arredondo, M.A.; Mujica, L.; Rodellar, J.; Fritzen, C.P. A study of two unsupervised data driven statistical methodologies for detecting and classifying damages in structural health monitoring. Mech. Syst. Signal Process. 2013, 41, 467–484. [Google Scholar] [CrossRef]
- Sharma, V. Survey of Classification Algorithms and Various Model Selection Methods. J. Mach. Learn. Res. 2000, 1, 1–48. [Google Scholar]
- Alamdari, M.M.; Rakotoarivelo, T.; Khoa, N.L.D. A spectral-based clustering for structural health monitoring of the Sydney Harbour Bridge. Mech. Syst. Signal Process. 2017, 87, 384–400. [Google Scholar] [CrossRef]
- Torres-Arredondo, M.A.; Tibaduiza, D.A.; McGugan, M.; Toftegaard, H.; Borum, K.K.; Mujica, L.E.; Rodellar, J.; Fritzen, C.P. Multivariate data-driven modelling and pattern recognition for damage detection and identification for acoustic emission and acousto-ultrasonics. Smart Mater. Struct. 2013, 22, 105023. [Google Scholar] [CrossRef]
- Avci, O.; Abdeljaber, O.; Kiranyaz, S.; Hussein, M.; Gabbouj, M.; Inman, D.J. A review of vibration-based damage detection in civil structures: From traditional methods to Machine Learning and Deep Learning applications. Mech. Syst. Signal Process. 2021, 147, 107077. [Google Scholar] [CrossRef]
- Zhang, J.; Hou, Z. Application of Artificial Immune System in Structural Health Monitoring. J. Struct. 2014, 2014, 709127. [Google Scholar] [CrossRef]
- Xiao, W. Structural Health Monitoring and Fault Diagnosis based on Artificial Immune System. Ph.D. Thesis, Worcester Polytechnic Institute, Worcester, MA, USA, 2012. [Google Scholar]
- Anaya, M.; Tibaduiza, D.A.; Pozo, F. Detection and classification of structural changes using artificial immune systems and fuzzy clustering. Int. J. Bio-Inspired Comput. 2017, 9, 35–52. [Google Scholar] [CrossRef]
- Shi, A. Structural Damage Assessment Using Artificial Neural Networks and Artificial Immune Systems. Master’s Thesis, California Polytechnic State University, San Luis Obispo, CA, USA, 2015. [Google Scholar]
- Pozo, F.; Tibaduiza, D.A.; Anaya, M.; Vitola, J. A machine learning methodology for structural damage classification in structural health monitoring. In Proceedings of the 8th Conference on Smart Structures and Materials, SMART 2017 and 6th International Conference on Smart Materials and Nanotechnology in Engineering, SMN 2017, Madrid, Spain, 5–8 June 2017; pp. 698–708. [Google Scholar]
- Tibaduiza, D.; Torres-Arredondo, M.Á.; Vitola, J.; Anaya, M.; Pozo, F. A Damage Classification Approach for Structural Health Monitoring Using Machine Learning. Complexity 2018, 2018. [Google Scholar] [CrossRef]
- Vitola, J.; Pozo, F.; Tibaduiza, D.A.; Anaya, M. A sensor data fusion system based on k-nearest neighbor pattern classification for structural health monitoring applications. Sensors 2017, 17, 417. [Google Scholar] [CrossRef]
- Nick, W.; Asamene, K.; Bullock, G.; Esterline, A.; Sundaresan, M. A Study of Machine Learning Techniques for Detecting and Classifying Structural Damage. Int. J. Mach. Learn. Comput. 2015, 5, 313–318. [Google Scholar] [CrossRef]
- Ng., C. Application of Bayesian-designed artificial neural networks in Phase II structural health monitoring benchmark studies. Aust. J. Struct. 2014, 15, 27–37. [Google Scholar] [CrossRef]
- Lee, J.; Kim, S. Structural Damage Detection in the Frequency Domain using Neural Networks. J. Intell. Mater. Syst. Struct. 2007, 18, 785–792. [Google Scholar]
- Betti, M.; Facchini, L.; Biagini, P. Damage detection on a three-storey steel frame using artificial neural networks and genetic algorithms. Meccanica 2015, 50, 875–886. [Google Scholar] [CrossRef]
- Lee, E.W.M.; Lam, H.F. Intelligent-based Structural Damage Detection Model. Mech. Adv. Mater. Struct. 2011, 18, 590–596. [Google Scholar] [CrossRef]
- Villamizar, R.; Camacho, J.; Carrillo, Y.; Pirela, L. Automatic Sintonization of SOM Neural Network Using Evolutionary Algorithms: An Application in the SHM Problem. In Advance Trends in Soft Computing; Jamshidi, M., Kreinovich, V., Kacprzyk, J., Eds.; Springer International Publishing: Cham, Switherland, 2014; pp. 347–356. [Google Scholar]
- Qiu, J.; Wu, Q.; Ding, G.; Xu, Y.; Feng, S. A survey of machine learning for big data processing. Eurasip J. Adv. Signal Process. 2016, 2016, 1–16. [Google Scholar] [CrossRef]
- Kohonen, T. The Self-Organizing Map. Proc. IEEE 1990, 78, 1464–1480. [Google Scholar] [CrossRef]
- Kohonen, T.; Hynninen, J.; Kangas, J.; Laaksonen, J. SOM PAK: The Self-Organizing Map Program Package; University of Technology—Laboratory of Computer and Information Science: Helsinki, Finland, 1996. [Google Scholar]
- Freeman, J.; Skapura, D. Neural Networks—Algorithms, Applications, and Programming Techniques; Computation and Neural Systems Series. Addison Wesley Longman Publishing Co. Inc.: Boston, MA, USA, 1991. [Google Scholar]
- Graupe, D. Counter Propagation. In Principles of Artificial Neural Networks; World Scientific: Singapore, 2013; Chapter 8; pp. 185–201. [Google Scholar] [CrossRef]
- Melssen, W.; Wehrens, R.; Buydens, L. Supervised Kohonen networks for classification problems. Chemom. Intell. Lab. Syst. 2006, 83, 99–113. [Google Scholar] [CrossRef]
- Buethe, I.; Kraemer, P.; Fritzen, C.P. Applications of self-organizing maps in structural health monitoring. Key Eng. Mater. 2012, 518, 37–46. [Google Scholar] [CrossRef]
- Junior, P.O.; Conte, S.; D’Addona, D.M.; Aguiar, P.; Bapstista, F. An improved impedance-based damage classification using self-organizing maps. Procedia CIRP 2020, 88, 330–334. [Google Scholar] [CrossRef]
- Zeinali, Y.; Story, B. Structural Impairment Detection Using Deep Counter Propagation Neural Networks. Procedia Eng. 2016, 145, 868–875. [Google Scholar] [CrossRef]
- Jiang, S.F.; Fu, C.; Zhang, C.M.; Wu, Z. A Revised Counter-Propagation Network Model Integrating Rough Set for Structural Damage Detection. Int. J. Distrib. Sens. Netw. 2013, 2013, 850712. [Google Scholar] [CrossRef]
- Tibaduiza, D.A.; Mujica, L.E.; Rodellar, J. Damage classification in structural health monitoring using principal component analysis and self-organizing maps. Struct. Control Health Monit. 2013, 20, 1303–1316. [Google Scholar] [CrossRef]
- Vitola, J.; Pozo, F.; Tibaduiza, D.A.; Anaya, M. Distributed piezoelectric sensor system for damage identification in structures subjected to temperature changes. Sensors 2017, 17, 1252. [Google Scholar] [CrossRef] [PubMed]
- Baptista, F.G.; Filho, J.V. Transducer loading effect on the performance of PZT-based SHM systems. IEEE Trans. Ultrason. Ferroelectr. Freq. Control 2010, 57, 933–941. [Google Scholar] [CrossRef] [PubMed]
- Andhale, Y.S.; Masurkar, F.A.; Yelve, N.P. Localization of damages in plain and riveted aluminium specimens using lamb waves. Int. J. Acoust. Vib. 2019, 24, 150–165. [Google Scholar] [CrossRef]
- Bermes, C. Generation and Detection of Nonlinear Lamb Waves for the Characterization of Material Nonlinearities. Ph.D. Thesis, Georgia Institute of Technology, Atlanta, GA, USA, 2006. [Google Scholar]
- National Instruments (2021) What Is LabView? Available online: https://www.ni.com/es-co/shop/labview.html (accessed on 26 September 2021).
- Rostami, J.; Chen, J.; Tse, P.W. A Signal Processing Approach with a Smooth Empirical Mode Decomposition to Reveal Hidden Trace of Corrosion in Highly Contaminated Guided Wave Signals for Concrete-Covered Pipes. Sensors 2017, 17, 302. [Google Scholar] [CrossRef] [PubMed]
- Oshana, R. 4—Overview of Digital Signal Processing Algorithms. In DSP Software Development Techniques for Embedded and Real-Time Systems; Oshana, R., Ed.; Embedded Technology, Newnes: Burlington, NJ, USA, 2006; pp. 59–121. [Google Scholar] [CrossRef]
- Banerjee, M.B.; Chatterjee, T.N.; Roy, R.B.; Tudu, B.; Bandyopadhyay, R.; Bhattacharyya, N. Multivariate preprocessing techniques towards optimising response of fused sensor from electronic nose and electronic tongue. In Proceedings of the 2016 International Conference on Computing, Communication and Automation (ICCCA), Greater Noida, India, 29–30 April 2016; IEEE: Piscataway, NJ, USA, 2017; pp. 949–954. [Google Scholar] [CrossRef]
- Palit, M.; Tudu, B.; Bhattacharyya, N.; Dutta, A.; Dutta, P.K.; Jana, A.; Bandyopadhyay, R.; Chatterjee, A. Comparison of multivariate preprocessing techniques as applied to electronic tongue based pattern classification for black tea. Anal. Chim. Acta 2010, 675, 8–15. [Google Scholar] [CrossRef] [PubMed]
- Jolliffe, I. Principal Component Analysis; Springer Series in Statistics; Springer: New York, NJ, USA, 2013. [Google Scholar]
- Mujica, L.E.; Rodellar, J.; Fernández, A.; Güemes, A. Q-statistic and t2-statistic pca-based measures for damage assessment in structures. Struct. Health Monit. 2011, 10, 539–553. [Google Scholar] [CrossRef]
- Taşdemir, K. Spectral Clustering as an Automated SOM Segmentation Tool. In Advances in Self-Organizing Maps; Laaksonen, J., Honkela, T., Eds.; Springer Berlin Heidelberg: Berlin/Heidelberg Germany, 2011; pp. 71–78. [Google Scholar]
- Barletta, V.; Caivano, D.; Nannavecchia, A.; Scalera, M. A Kohonen SOM Architecture for Intrusion Detection on In-Vehicle Communication Networks. Appl. Sci. 2020, 10, 5062. [Google Scholar] [CrossRef]
- Ullah, A.; Haydarov, K.; Ul Haq, I.; Muhammad, K.; Rho, S.; Lee, M.; Baik, S.W. Deep Learning Assisted Buildings Energy Consumption Profiling Using Smart Meter Data. Sensors 2020, 20, 873. [Google Scholar] [CrossRef]
- Milano Chemometrics and QSAR Research Group (2021) Kohonen and CPANN Toolbox (for Matlab). Available online: https://michem.unimib.it/download/matlab-toolboxes/kohonen-and-cpann-toolbox-for-matlab/ (accessed on 26 September 2021).
- Ballabio, D.; Consonni, V.; Todeschini, R. The Kohonen and CP-ANN toolbox: A collection of MATLAB modules for self organizing maps and counterpropagation artificial neural networks. Chemom. Intell. Lab. Syst. 2009, 98, 115–122. [Google Scholar] [CrossRef]
- Ballabio, D.; Vasighi, M. A MATLAB toolbox for Self Organizing Maps and supervised neural network learning strategies. Chemom. Intell. Lab. Syst. 2012, 118, 24–32. [Google Scholar] [CrossRef]
- Ballabio, D.; Consonni, V. Classification tools in chemistry. Part 1: Linear models. PLS-DA. Anal. Methods 2013, 5, 3790–3798. [Google Scholar] [CrossRef]


































| Damage Number | Position in X [mm] | Position in Y [mm] | Object |
|---|---|---|---|
| 1 | 80 | 70 | Neodymium magnet |
| 2 | 130 | 150 | Neodymium magnet |
| 3 | 20 | 95 | Coin |
| Neural Netwok | Training | Cross-Validation | ||
|---|---|---|---|---|
| Accuracy % | Error % | Accuracy % | Error % | |
| CPANN | 92.5 | 7.5 | 61.25 | 38.75 |
| SKN | 100 | 0 | 72.5 | 27.5 |
| XYF | 100 | 0 | 73.75 | 26.25 |
| kNN | 60 | 40 | 65 | 35 |
| CART | 82 | 17 | 65 | 35 |
| PLSDA | 83 | 17 | 66 | 34 |
| DA | 99 | 1 | 56 | 44 |
| BPNN | 100 | 0 | 45 | 55 |
| Damage Number | Position in X [mm] | Position in Y [mm] | Object |
|---|---|---|---|
| 1 | 100 | 250 | Magnet |
| 2 | 250 | 250 | Magnet |
| 3 | 100 | 100 | Magnet |
| Damage Number | Damage Description |
|---|---|
| 1 | Delamination with dimensions mm |
| 2 | Previous damage extended to mm |
| 3 | Crack of 25 mm |
| 4 | Previous crack extended to 30 mm |
| 5 | Previous crack extended to 45 mm |
| 6 | Previous crack extended to 70 mm |
Publisher’s Note: MDPI stays neutral with regard to jurisdictional claims in published maps and institutional affiliations. |
© 2022 by the authors. Licensee MDPI, Basel, Switzerland. This article is an open access article distributed under the terms and conditions of the Creative Commons Attribution (CC BY) license (https://creativecommons.org/licenses/by/4.0/).
Share and Cite
Angulo-Saucedo, G.A.; Leon-Medina, J.X.; Pineda-Muñoz, W.A.; Torres-Arredondo, M.A.; Tibaduiza, D.A. Damage Classification Using Supervised Self-Organizing Maps in Structural Health Monitoring. Sensors 2022, 22, 1484. https://doi.org/10.3390/s22041484
Angulo-Saucedo GA, Leon-Medina JX, Pineda-Muñoz WA, Torres-Arredondo MA, Tibaduiza DA. Damage Classification Using Supervised Self-Organizing Maps in Structural Health Monitoring. Sensors. 2022; 22(4):1484. https://doi.org/10.3390/s22041484
Chicago/Turabian StyleAngulo-Saucedo, Gilbert A., Jersson X. Leon-Medina, Wilman Alonso Pineda-Muñoz, Miguel Angel Torres-Arredondo, and Diego A. Tibaduiza. 2022. "Damage Classification Using Supervised Self-Organizing Maps in Structural Health Monitoring" Sensors 22, no. 4: 1484. https://doi.org/10.3390/s22041484
APA StyleAngulo-Saucedo, G. A., Leon-Medina, J. X., Pineda-Muñoz, W. A., Torres-Arredondo, M. A., & Tibaduiza, D. A. (2022). Damage Classification Using Supervised Self-Organizing Maps in Structural Health Monitoring. Sensors, 22(4), 1484. https://doi.org/10.3390/s22041484

