Harmonic Components Analysis of Emitted Ultraviolet Signals of Aged Transmission Line Insulators under Different Surface Discharge Intensities
Abstract
1. Introduction
2. DC Components and Harmonics of Periodic Signals
3. Methodology
3.1. Experiment Setup
3.2. Ultra Violet Pulse (UVP) Sensor
3.3. Insulator Samples
3.3.1. Aged Insulator
3.3.2. Contamination Level
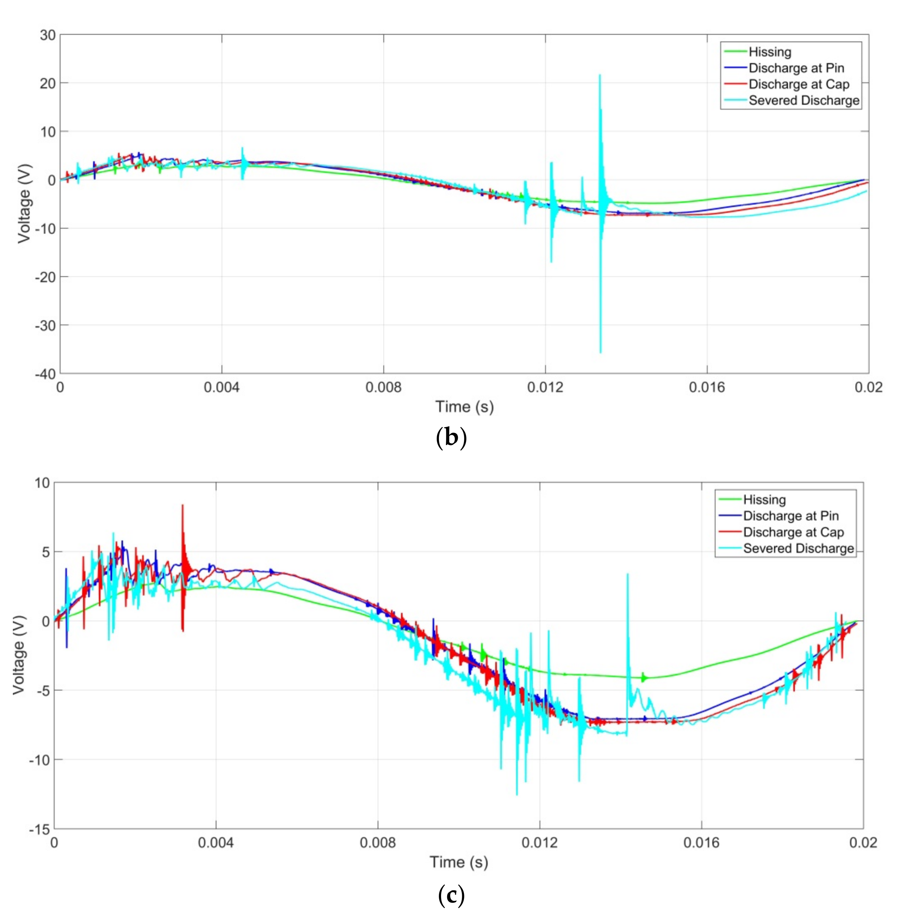
3.4. Determination of DC Component from UVP Signal
4. Results and Discussion
4.1. DC Component Analysis
4.1.1. DC Component Based on Insulator Ages and Contamination
4.1.2. Contaminated Insulator Samples
4.1.3. Aged Insulator Samples
4.1.4. Percentages Differences of the Insulator Samples’ Discharge Intensity Levels
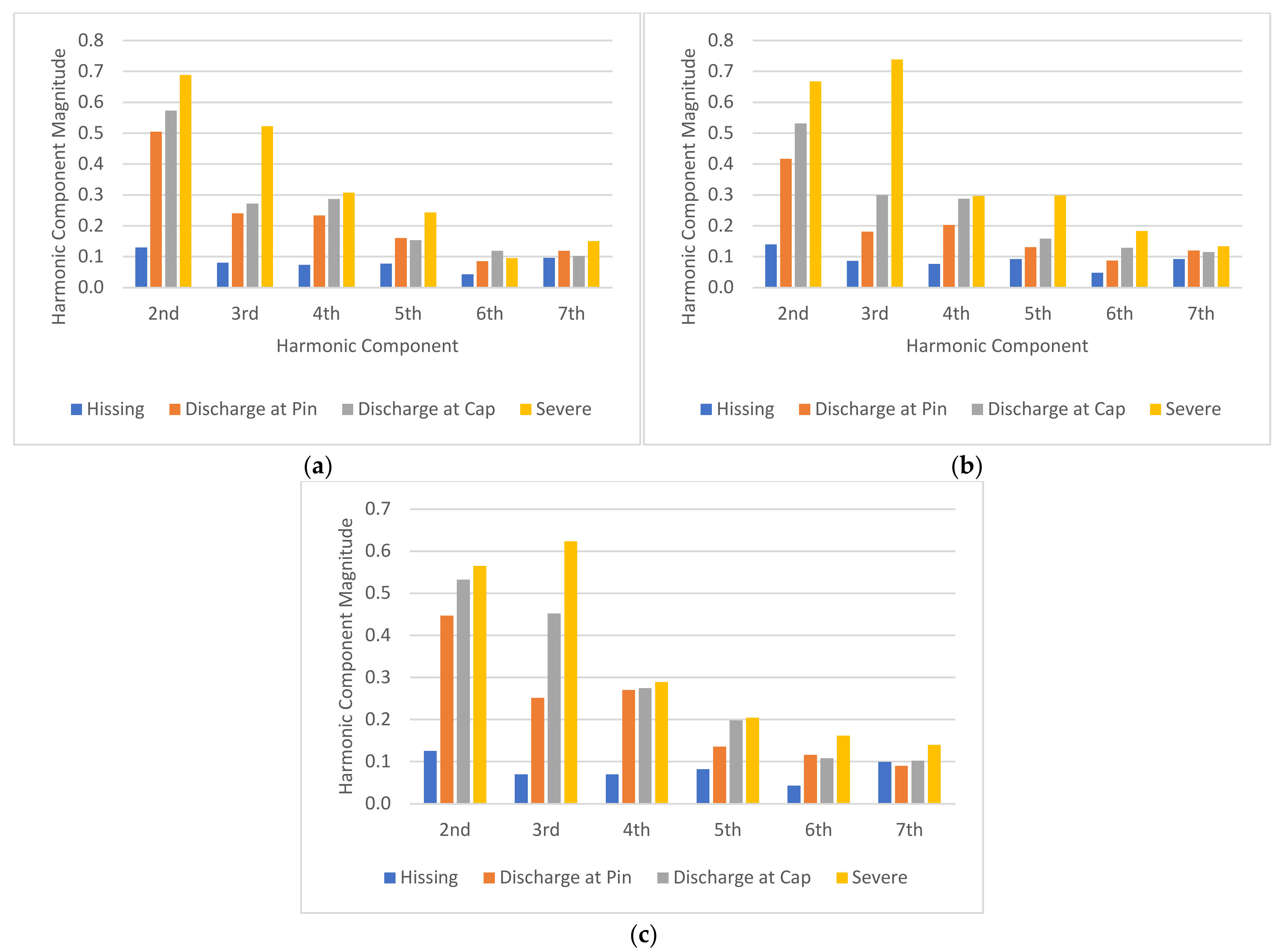
4.2. UV Signal Harmonic Component
4.2.1. Contaminated Insulator Samples
4.2.2. Aged Insulator Samples
4.2.3. Average Harmonic Component of Insulator Samples
5. Conclusions
Author Contributions
Funding
Data Availability Statement
Conflicts of Interest
References
- Ahmadi-Joneidi, I.; Majzoobi, A.; Shayegani-Akmal, A.; Mohseni, H.; Jadidian, J. Aging evaluation of silicone rubber insulators using leakage current and flashover voltage analysis. IEEE Trans. Dielectr. Electr. Insul. 2013, 20, 1. [Google Scholar] [CrossRef]
- Tian, Y.; Lewin, P.L.; Davies, A.E.; Swingler, S.G.; Sutton, S.J.; Hathaway, G.M. Comparison of on-line partial discharge detection methods for HV cable joints. IEEE Trans. Dielectr. Electr. Insul. 2002, 9, 604–615. [Google Scholar] [CrossRef]
- Zhang, J.; Yang, H.M.; Zhang, Z.N.; Zhao, K.; Chen, Y.F. An automatic diagnostic method of abnormal heat defect in transmission lines based on infrared video. In Proceedings of the 2016 IEEE PES 13th International Conference on Transmission & Distribution Construction, Operation & Live-Line Maintenance (ESMO), Columbus, OH, USA, 12–15 September 2016; pp. 6–9. [Google Scholar]
- Qiao, Z.; Cheng, L.; Zhang, S.; Yang, L.; Guo, C. Detection of composite insulators inner defects based on flash thermography. In Proceedings of the 2017 1st International Conference on Electrical Materials and Power Equipment (ICEMPE), Xi’an, China, 14–17 May 2017; pp. 359–363. [Google Scholar]
- Taqi, A.; Beryozkina, S. Overhead transmission line thermographic inspection using a drone. In Proceedings of the 2019 IEEE 10th GCC Conference & Exhibition (GCC), Kuwait, Kuwait, 19–23 April 2019. [Google Scholar]
- Riba, J.-R.; Gomez-Pau, A.; Moreno-Eguilaz, M. Sensor Comparison for Corona Discharge Detection Under Low Pressure Conditions. IEEE Sens. J. 2020, 20, 11698–11706. [Google Scholar] [CrossRef]
- Voronin, V.; Tokareva, S.; Semenishchev, E.; Agaian, S. Thermal image enhancement algorithm using local and global logarithmic transform histogram matching with spatial equalization. In Proceedings of the 2018 IEEE Southwest Symposium on Image Analysis and Interpretation (SSIAI), Las Vegas, NV, USA, 8–10 April 2018; pp. 5–8. [Google Scholar]
- Li, X.; Jin, L.; Cai, J.; Shi, H. Surface discharge detection of external insulation of outdoor vacuum circuit breaker based on ultraviolet imaging. In Proceedings of the 2016 27th International Symposium on Discharges and Electrical Insulation in Vacuum (ISDEIV), Suzhou, China, 18–23 September 2016; pp. 1–4. [Google Scholar]
- Lu, F.; Wang, S.; Li, H. Insulator pollution grade evaluation based on ultraviolet imaging and fuzzy logic inference. In Proceedings of the 2010 Asia-Pacific Power and Energy Engineering Conference, Chengdu, China, 28–31 March 2010; pp. 5–8. [Google Scholar]
- Duan, W.S.; Jia Yan, S.; Tong, M.S.; Ke Lu, J.; Shan, H.T. Ultraviolet imaging detection for the discharge of polluted insulators based on iterative threshold segmentation. In Proceedings of the 2019 Photonics & Electromagnetics Research Symposium–Fall (PIERS–Fall), Xiamen, China, 17–20 December 2019; pp. 1423–1427. [Google Scholar]
- Wang, S.; Lv, F.; Liu, Y. Estimation of discharge magnitude of composite insulator surface corona discharge based on ultraviolet imaging method. IEEE Trans. Dielectr. Electr. Insul. 2014, 21, 1697–1704. [Google Scholar] [CrossRef]
- Iezham Suhaimi, S.M.; Bashir, N.; Muhamad, N.A.; Abdul Rahim, N.N.; Ahmad, N.A.; Abdul Rahman, M.N. Surface discharge analysis of high voltage glass insulators using ultraviolet pulse voltage. Energies 2019, 12, 204. [Google Scholar] [CrossRef]
- Wang, S.; Lu, F.; Li, H. Non-contact discharge detection system for high voltage equipment based on solar-blind ultraviolet photomultiplier. In Proceedings of the 2010 International Conference on Measuring Technology and Mechatronics Automation, Changsha, China, 13–14 March 2010; pp. 773–776. [Google Scholar]
- Koh, K.; Hohkawa, K.; Nishimura, K.; Shigekawa, N. Basic study on GaN ultraviolet sensor based on charge transport effect. IEEJ Trans. Electron. Inf. Syst. 2008, 128, 872–877. [Google Scholar] [CrossRef][Green Version]
- Chuan-Zheng, L. Signals and the Frequency Domain. Available online: https://web.stanford.edu/class/archive/engr/engr40m.1178/slides/signals.pdf (accessed on 23 September 2021).
- Hamamatsu. Picture of R2868 Flame Sensor UVTRON. 2016. Available online: https://www.hamamatsu.com/eu/en/product/type/R2868/index.html (accessed on 23 November 2021).
- Artificial Pollution Tests on High-Voltage Insulators to Be Used on A.C. Systems. Available online: https://standards.iteh.ai/catalog/standards/clc/93806b71-ab36-40f0-923a-133c8c76a452/en-60507-2014 (accessed on 29 September 2021).
- Guide for the Selection of Insulators in Respect of Polluted Conditions. Available online: https://www.sis.se/en/produkter/electrical-engineering/insulation/insulators/iectr060815/ (accessed on 29 September 2021).



















| Discharge Intensity Level | Characteristics |
|---|---|
| Hissing | Hissing without any visible discharge |
| Discharge at pin of the insulators | Hissing sound plus spot discharges at the pin of the insulators |
| Discharge at cap and pin of the insulators | Louder hissing noise, discharges at both the pin and cap of the insulator samples |
| Severed discharge | Very loud hissing noise, intense sparking discharge on the pin and cap of the insulator (just prior to flashover) |
| Parameter | Description/Value | Unit | |
|---|---|---|---|
| General | Spectral Response | 185 to 260 | nm |
| Window Material | UV glass | - | |
| Weight | Approximate 1.5 | ||
| Maximum Rating | Supply Voltage | 400 | V |
| Peak Current | 30 | mA | |
| Average Discharge Current | 1 | mA | |
| Operating Temperature | −20 to +60 | °C | |
| Characteristics (at 25 °C) | Discharge Starting Voltage (with UV radiation) (DC) | 280 | V |
| Recommended Operation Voltage (DC) | 325 ± 25 | V | |
| Background | 10 | min−1 | |
| Sensitivity | 5000 | min−1 | |
| Insulator Sample | Descriptions |
|---|---|
![]() | a) Insulators Age: Less than 10 Years b) Condition: Good |
![]() | a) Insulators Age: 10 to 20 Years b) Condition: Mild corrosion at cap |
![]() | a) Insulators Age: More than 20 Years b) Condition: Discoloration of glass dielectric, severely corroded cap and pin |
| Salt (g/L) | ESDD (mg/cm2) [15] | Contamination Level [18] |
|---|---|---|
| 0 | N/A | None |
| 5 | 0.06 | Light |
| 30 | 0.21 | Medium |
| 120 | 0.47 | Heavy |
| Discharge Intensity Level | Exponential Equation |
|---|---|
| Hissing | y = 0.0743e0.0006x |
| Discharge at Pin | y = 0.1196e0.0004x |
| Discharge at Pin and Cap | y = 0.1321e0.001x |
| Severe Discharge | y = 0.1875e−0.001x |
| Discharge Intensity Level | Exponential Equation |
|---|---|
| Hissing | y = 0.064e0.0116x |
| Discharge at Pin | y = 0.1233e−0.001x |
| Discharge at Pin and Cap | y = 0.121e0.0084x |
| Severe Discharge | y = 0.1248e0.0241x |
Publisher’s Note: MDPI stays neutral with regard to jurisdictional claims in published maps and institutional affiliations. |
© 2022 by the authors. Licensee MDPI, Basel, Switzerland. This article is an open access article distributed under the terms and conditions of the Creative Commons Attribution (CC BY) license (https://creativecommons.org/licenses/by/4.0/).
Share and Cite
Suhaimi, S.M.I.; Muhamad, N.A.; Bashir, N.; Mohd Jamil, M.K.; Abdul Rahman, M.N. Harmonic Components Analysis of Emitted Ultraviolet Signals of Aged Transmission Line Insulators under Different Surface Discharge Intensities. Sensors 2022, 22, 722. https://doi.org/10.3390/s22030722
Suhaimi SMI, Muhamad NA, Bashir N, Mohd Jamil MK, Abdul Rahman MN. Harmonic Components Analysis of Emitted Ultraviolet Signals of Aged Transmission Line Insulators under Different Surface Discharge Intensities. Sensors. 2022; 22(3):722. https://doi.org/10.3390/s22030722
Chicago/Turabian StyleSuhaimi, Saiful Mohammad Iezham, Nor Asiah Muhamad, Nouruddeen Bashir, Mohamad Kamarol Mohd Jamil, and Mohd Nazri Abdul Rahman. 2022. "Harmonic Components Analysis of Emitted Ultraviolet Signals of Aged Transmission Line Insulators under Different Surface Discharge Intensities" Sensors 22, no. 3: 722. https://doi.org/10.3390/s22030722
APA StyleSuhaimi, S. M. I., Muhamad, N. A., Bashir, N., Mohd Jamil, M. K., & Abdul Rahman, M. N. (2022). Harmonic Components Analysis of Emitted Ultraviolet Signals of Aged Transmission Line Insulators under Different Surface Discharge Intensities. Sensors, 22(3), 722. https://doi.org/10.3390/s22030722




