Building the Electromagnetic Situation Awareness in MANET Cognitive Radio Networks for Urban Areas †
Abstract
:1. Introduction
2. Cooperative Spectrum Monitoring Using Data Fusion and Machine Learning
2.1. Cooperative Spectrum Monitoring
- Hard decision cooperative strategies: the fusion rule combines the decisions (“hard” in each node participating in collaboration) from all the nodes. The most popular hard fusion rules are AND, OR, and majority rules. Other techniques can be based on weighted-combining strategies. The OR rule makes radio signal is present when the local detection probability in at least one node exceeds the Otherwise, the second specific case of the m-out-of-K rule is the use of the logical AND operator. For this rule, no radio signal is present when the local detection probability in at least one node does not exceed the . The AND method minimizes the value of false alarm probability at the cost of detection probability, and the OR method maximizes detection probability at the cost of false alarm. Thus, they represent two extreme values of probability when assessing detection quality. Therefore, it seems reasonable to propose a rule that will have the advantages of OR and AND rules while excluding their disadvantages.
- Soft decision cooperative strategies imply a higher computational complexity of the fusion technique and increase the amount of information that must be exchanged among the radio nodes. Therefore, its adoption must be carefully evaluated considering the trade-off between the performance improvements and complexity increase.
- The CH must specify what kind of collaborative approach shall be used to exploit cooperative strategies.
- Fusion result is then compared to —system threshold of detection probability for channel occupation estimation. The final decision might be made according to different decision strategies.
2.2. Data Fusion Based on Dempster–Shafer Theory
2.3. Radio Channels Utility Evaluation Algorithm Based on Machine Learning
2.4. Integrated Solution for Spectrum Monitoring
3. Evaluation and Results
3.1. Scenario 1
- Antenna height = 2,5 (m);
- Antenna gain = 0 (dBi);
- CR sensitivity ≈ −105 (dBm);
- NcN power = 5 (W);
- Noise type = AWGN.
- α = 0.5;
- ε = 0.3;
- A fixed seed value of the pseudorandom number generators (depending on the seed value, there may be some differences in the results);
- Algorithm period = 100 ms (time between successive algorithm iterations—updates of the Q value for the selected channel based on the monitoring results).
3.1.1. Metrics for Evaluation
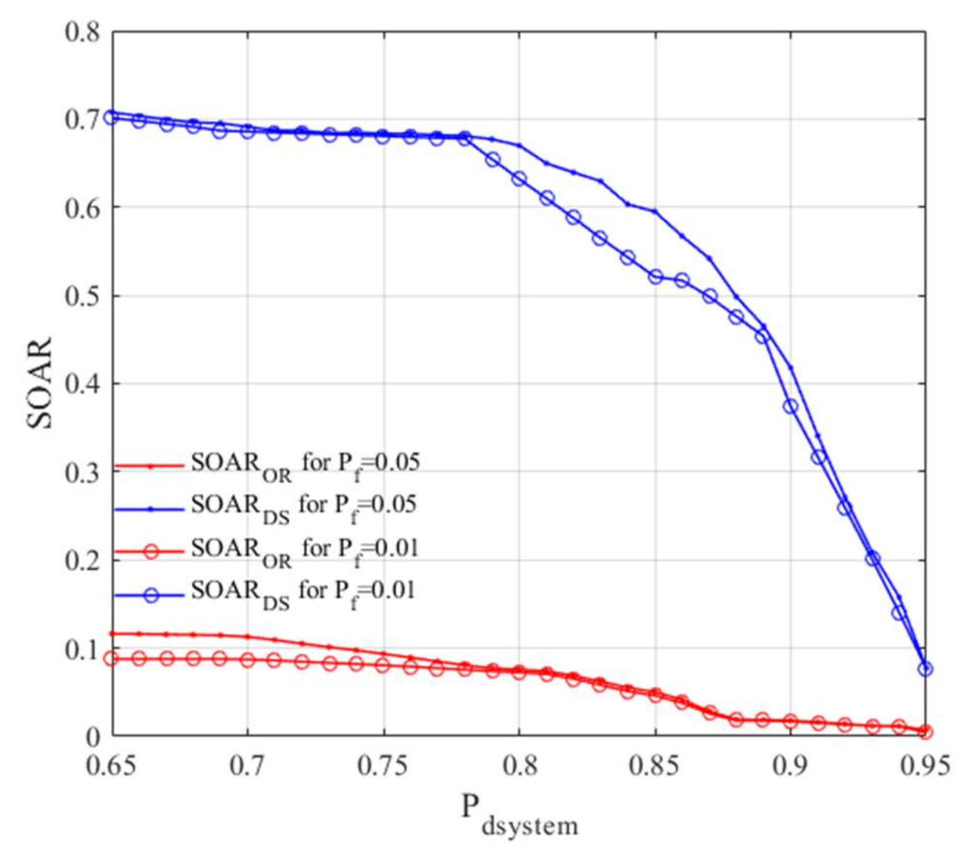
3.1.2. Results
3.2. Scenario 2
3.2.1. Metric for Evaluation
- The available transmission speed is replaced by the total number of transferred bits;
- is calculated as the number of used channels times the bandwidth for each channel;
- is calculated as the difference in time between the first and the last transferred bit in each network.
3.2.2. Results
- Goal 1: keep the network alive in the very jammed/interfered radio environment (pros.—the network has the most current situation awareness; cons.—consuming a significant number of network resources for spectrum monitoring).
- Goal 2: minimize data consumption for the situation awareness building (pros.—consuming a small number of network resources for spectrum monitoring; cons.—the network does not have the most current situation awareness).
- Goal 3: a compromise between having a current situation awareness and data consumption for the spectrum monitoring.
4. Conclusions
Author Contributions
Funding
Institutional Review Board Statement
Informed Consent Statement
Conflicts of Interest
References
- Arslan, H. Cognitive Radio, Software Defined Radio, and Adaptive Wireless Systems; Springer: Dordrecht, The Netherlands, 2007. [Google Scholar]
- Marin, J.; Turunen, M.; Bernhardt, M.; Riihonen, T. Self-interference Cancelation Performance in Full-Duplex Jamming and Spectrum Monitoring. In Proceedings of the 2021 International Conference on Military Communication and Information Systems (ICMCIS), The Hague, The Netherlands, 4–5 May 2021; pp. 1–8. [Google Scholar] [CrossRef]
- Liu, P.; Qi, W.; Yuan, E.; Wei, L.; Zhao, Y. Full-Duplex Cooperative Sensing for Spectrum-Heterogeneous Cognitive Radio Networks. Sensors 2017, 17, 1773. [Google Scholar] [CrossRef] [PubMed] [Green Version]
- Mehdawi, M.; Riley, N.; Fanan, A.; Bentaher, O. Proposed System Model for Wideband Cooperative Spectrum Sensing with Multi-Bit Hard Decision using Two-Stage Adaptive Sensing. In Proceedings of the 2019 27th Telecommunications Forum (TELFOR), Belgrade, Serbia, 26–27 November 2019; pp. 1–4. [Google Scholar] [CrossRef]
- Kartlak, H.; Odabasioglu, N.; Akan, A. Optimum relay selection for cooperative spectrum sensing and transmission in cognitive networks. In Proceedings of the 2014 22nd European Signal Processing Conference (EUSIPCO), Lisbon, Portugal, 1–5 September 2014; pp. 161–165. [Google Scholar]
- Mahapatra, S.D.; Sharan, S.N. Effect of Sensing Duration Optimization in Cooperative Spectrum Sensing Game. In Proceedings of the 2018 7th International Conference on Reliability, Infocom Technologies and Optimization (Trends and Future Directions) (ICRITO), Noida, India, 29–31 August 2018; pp. 889–892. [Google Scholar] [CrossRef]
- Szmit, G.; Dołowski, J.; Łopatka, J. Distributed channel selection for hierarchical cognitive radio networks. In Proceedings of the MILCOM 2015—2015 IEEE Military Communications Conference, Tampa, FL, USA, 26–28 October 2015; pp. 426–431. [Google Scholar] [CrossRef]
- Wu, K.; Jiang, H.; Tellambura, C. Cooperative Sensing with Heterogeneous Spectrum Availability in Cognitive Radio. In IEEE Transactions on Cognitive Communications and Networking; IEEE: New York, NY, USA, 2021. [Google Scholar] [CrossRef]
- Baek, M.K.; Kim, J.Y. Effective signal detection using cooperative spectrum sensing in cognitive radio systems. In Proceedings of the 2009 11th International Conference on Advanced Communication Technology, Gangwon, Korea, 15–18 February 2009; pp. 1746–1750. [Google Scholar]
- Nasser, A.; Al Haj Hassan, H.; Abou Chaaya, J.; Mansour, A.; Yao, K.-C. Spectrum Sensing for Cognitive Radio: Recent Advances and Future Challenge. Sensors 2021, 21, 2408. [Google Scholar] [CrossRef] [PubMed]
- Valadão, M.D.M.; Amoedo, D.; Costa, A.; Carvalho, C.; Sabino, W. Deep Cooperative Spectrum Sensing Based on Residual Neural Network Using Feature Extraction and Random Forest Classifier. Sensors 2021, 21, 7146. [Google Scholar] [CrossRef]
- Yücek, T.; Arslan, H. A survey of spectrum sensing algorithms for cognitive radio applications. IEEE Commun. Surv. Tutor. 2009, 11, 116–130. [Google Scholar] [CrossRef]
- Qu, H.; Xu, X.; Zhao Yan, F.; Wang, W. A Robust Hyperbolic Tangent-Based Energy Detector with Gaussian and Non-Gaussian Noise Environments in Cognitive Radio System. IEEE Syst. J. 2020, 14, 3161–3172. [Google Scholar] [CrossRef]
- Mariani, A.; Giorgetti, A.; Chiani, A. Effects of noise power estimation on energy detection for cognitive radio applications. IEEE Trans. Commun. 2011, 59, 3410–3420. [Google Scholar] [CrossRef]
- Mariani, A.; Giorgetti, A.; Chiani, A. SNR wall for energy detection with noise power estimation. In Proceedings of the IEEE International Conference on Communications, Kyoto, Japan, 5–9 June 2011; pp. 1–6. [Google Scholar]
- Akyildiz, I.F.; Lo, B.F.; Balakrishnan, R. Cooperative spectrum sensing in cognitive radio networks: A survey. Phys. Commun. 2011, 4, 40–62. [Google Scholar] [CrossRef]
- Ma, Y.; Liu, J.; Gao, Y. Cooperative spectrum sensing based on the compressed sensing. In Proceedings of the 2015 IEEE 14th International Conference on Cognitive Informatics & Cognitive Computing (ICCI*CC), Beijing, China, 6–8 July 2015; pp. 110–114. [Google Scholar] [CrossRef]
- Skokowski, P.; Łopatka, J.; Malon, K. Evidence Theory Based Data Fusion for Centralized Cooperative Spectrum Sensing in Mobile Ad-hoc Networks. In Proceedings of the 2020 Baltic URSI Symposium (URSI), Warsaw, Poland, 5–8 October 2020; pp. 24–27. [Google Scholar] [CrossRef]
- Malon, K.; Łopatka, J.; Skokowski, P. Q-learning Based Radio Channels Utility Evaluation Algorithm for the Local Dynamic Spectrum Management in Mobile Ad-hoc Networks. In Proceedings of the 2020 Baltic URSI Symposium (URSI), Warsaw, Poland, 5–8 October 2020; pp. 28–32. [Google Scholar] [CrossRef]
- Du, R.; Liu, F.; Zhao, Q. Adaptive cooperative spectrum sensing based on multiple measurement vectors. In Proceedings of the 2017 29th Chinese Control and Decision Conference (CCDC), Chongqing, China, 28–30 May 2017; pp. 5703–5706. [Google Scholar] [CrossRef]
- Malon, K.; Skokowski, P.; Lopatka, J. Optimization of wireless sensor network deployment for electromagnetic situation monitoring. Int. J. Microw. Wirel. Technol. 2018, 10, 746–753. [Google Scholar] [CrossRef]
- Malon, K.; Skokowski, P.; Lopatka, J. Optimization of the MANET topology in urban area using redundant relay points. In Proceedings of the International Conference on Military Communications and Information Systems (ICMCIS), Warsaw, Poland, 22–23 May 2018; pp. 1–4. [Google Scholar]
- Digham, F.; Alouini, M.S.; Simon, M.K. On the Energy Detection of Unknown Signals over Fading Channels. IEEE Trans. Commun. 2007, 55, 21–24. [Google Scholar] [CrossRef]
- Sonnenschein, A.; Fishman, P.M. Radiometric detection of spread-spectrum signals in noise of uncertain power. IEEE Trans. Aerosp. Electron. Svst. 1992, 28, 654–660. [Google Scholar] [CrossRef]
- Neyman, J.; Pearson, E.S. On the Problem of the Most Efficient Tests of Statistical Hypotheses. Philos. Trans. R. Soc. 1933, 231, 289–337. [Google Scholar]
- Bedworth, M.D. The Fusion of Decisions for Distributed Recognition: Hard Decision Fusion and Soft Decision Fusion. In Multisensor Fusion; NATO Science Series II: Mathematics, Physics and Chemistry NAII; Springer: Dordrecht, The Netherlands, 2002; Volume 70, pp. 99–124. [Google Scholar]
- Hall, D.L. The Implementation of Data Fusion Systems. In Multisensor Fusion; NATO Science Series II: Mathematics, Physics and Chemistry NAII; Springer: Dordrecht, The Netherlands, 2002; Volume 70, pp. 419–433. [Google Scholar]
- Shafer, G.A. Mathematical Theory of Evidence; Princeton University Press: Princeton, NJ, USA, 1976. [Google Scholar]
- Smarandache, F.; Dezert, J. Advances and Applications of DSmT for Information Fusion; American Research Press: Rehoboth, DE, USA, 2004. [Google Scholar]
- Skokowski, P. Electromagnetic Situation Awareness Building in Ad-Hoc Networks with Cognitive Nodes; Military University of Technology: Warsaw, Poland, 2021; ISBN 978-83-7938-323-8. [Google Scholar]
- Biglieri, E.; Goldsmith, A.J.; Greenstein, L.J.; Mandayam, N.B.; Poor, H.V. Principles of Cognitive Radio; Cambridge University Press: Cambridge, UK, 2013. [Google Scholar]
- Doyle, L. Essentials of Cognitive Radio; Cambridge University Press: Cambridge, UK, 2009. [Google Scholar]
- Bkassiny, M.; Li, Y.; Jayaweera, S.K. A survey on machine-learning techniques in cognitive radios. IEEE Commun. Surv. Tutor. 2013, 15, 1136–1159. [Google Scholar] [CrossRef]
- Sutton, R.S.; Barto, A.G. Reinforcement Learning: An Introduction, 2nd ed.; The MIT Press: Cambridge, UK, 2018. [Google Scholar]
- Yau, K.L.A.; Komisarczuk, P.; Teal, P.D. Applications of reinforcement learning to cognitive radio networks. In Proceedings of the IEEE International Conference on Communications Workshops, Cape Town, South Africa, 23–27 May 2010; pp. 1–6. [Google Scholar]
- Claus, C.; Boutilier, C. The dynamics of reinforcement learning in cooperative multiagent systems. In Proceedings of the Fifteenth National/Tenth Conference on Artificial Intelligence/Innovative Applications of Artificial Intelligence, Madison, WI, USA, 1 July 1998; pp. 746–752. [Google Scholar]
- Morozs, N.; Clarke, T.; Grace, D. Distributed heuristically accelerated Q-learning for robust cognitive spectrum management in LTE cellular systems. IEEE Trans. Mob. Comput. 2016, 15, 817–825. [Google Scholar] [CrossRef]
- Malon, K. Dynamic Spectrum Access in Ad-Hoc Radio Networks with Cognitive Nodes; Military University of Technology: Warsaw, Poland, 2021; ISBN 978-83-7938-327-6. [Google Scholar]
- Rose, L.; Massin, R.; Vijayandran, L.; Debbah, M.; Le Martret, C.J. CORASMA Program on Cognitive Radio for Tactical Networks: High Fidelity Simulator and First Results on Dynamic Frequency Allocation. In Proceedings of the MILCOM 2013—2013 IEEE Military Communications Conference, San Diego, CA, USA, 18–20 November 2013; pp. 360–368. [Google Scholar] [CrossRef]
- Malon, K.; Skokowski, P.; Marszalek, P.; Kelner, J.M.; Lopatka, J. Cognitive Manager for Hierarchical Cluster Networks Based on Multi-Stage Machine Method. In Proceedings of the IEEE Military Communications Conference MILCOM, Baltimore, MD, USA, 6–8 October 2014; pp. 428–433. [Google Scholar]
- Frequency Management Group Range Commanders Council. Document 707-14 Spectrum Management Metrics Standards; RCC US Army: White Sands Missile Range, NM, USA, 2014. [Google Scholar]
















| Strategy Name | Sensing Period [Frames] | Percentage of the Consumed Resources for Spectrum Monitoring (%) |
|---|---|---|
| Goal 1 | 5 | 20 |
| Goal 2 | 100 | 1 |
| Goal 3 | 20 | 5 |
Publisher’s Note: MDPI stays neutral with regard to jurisdictional claims in published maps and institutional affiliations. |
© 2022 by the authors. Licensee MDPI, Basel, Switzerland. This article is an open access article distributed under the terms and conditions of the Creative Commons Attribution (CC BY) license (https://creativecommons.org/licenses/by/4.0/).
Share and Cite
Skokowski, P.; Malon, K.; Łopatka, J. Building the Electromagnetic Situation Awareness in MANET Cognitive Radio Networks for Urban Areas. Sensors 2022, 22, 716. https://doi.org/10.3390/s22030716
Skokowski P, Malon K, Łopatka J. Building the Electromagnetic Situation Awareness in MANET Cognitive Radio Networks for Urban Areas. Sensors. 2022; 22(3):716. https://doi.org/10.3390/s22030716
Chicago/Turabian StyleSkokowski, Paweł, Krzysztof Malon, and Jerzy Łopatka. 2022. "Building the Electromagnetic Situation Awareness in MANET Cognitive Radio Networks for Urban Areas" Sensors 22, no. 3: 716. https://doi.org/10.3390/s22030716
APA StyleSkokowski, P., Malon, K., & Łopatka, J. (2022). Building the Electromagnetic Situation Awareness in MANET Cognitive Radio Networks for Urban Areas. Sensors, 22(3), 716. https://doi.org/10.3390/s22030716

