Modified FMCW Scheme for Improved Ultrasonic Positioning and Ranging of Unmanned Ground Vehicles at Distances < 50 mm
Abstract
1. Introduction
2. Detail of the Simulated Hardware and Setup
3. Theoretical Background
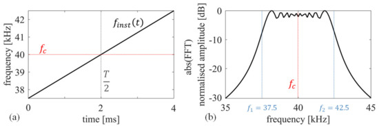
3.1. Linear Swept-Frequency Chirp Signal
3.2. Pulse-Compression/Correlation Basic Theory
3.3. FMCW Basic Theory
3.4. Limits of the FMCW Approach and the Proposed FMCW-Modified Scheme
4. Details of the Numerical Simulations and Figures of Merit
5. Results and Discussion
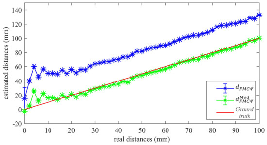
5.1. Numerical Results
5.2. Experimental Results
6. Conclusions and Future Work
Author Contributions
Funding
Data Availability Statement
Conflicts of Interest
References
- Paredes, J.A.; Álvarez, F.J.; Aguilera, T.; Villadangos, J.M. 3D indoor positioning of UAVs with spread spectrum ultrasound and time-of-flight cameras. Sensors 2018, 18, 89. [Google Scholar] [CrossRef] [PubMed]
- Liu, H.; Darabi, H.; Banerjee, P.; Liu, J. Survey of wireless indoor positioning techniques and systems. IEEE Trans. Syst. Man Cybern. Part C Appl. Rev. 2007, 37, 1067–1080. [Google Scholar] [CrossRef]
- Gong, J.; Chang, T.H.; Shen, C.; Chen, X. Flight time minimization of UAV for data collection over wireless sensor networks. IEEE J. Sel. Areas Commun. 2018, 36, 1942–1954. [Google Scholar] [CrossRef]
- Li, N.; Becerik-Gerber, B. Performance-based evaluation of RFID-based indoor location sensing solutions for the built environment. Adv. Eng. Inform. 2011, 25, 535–546. [Google Scholar] [CrossRef]
- Anghel, A.; Vasile, G.; Cacoveanu, R.; Ioana, C.; Ciochina, S. Short-Range wideband FMCW radar for millimetric displacement measurements. IEEE Trans. Geosci. Remote Sens. 2014, 52, 5633–5642. [Google Scholar] [CrossRef]
- Kittlaus, E.A.; Eliyahu, D.; Ganji, S.; Williams, S.; Matsko, A.B.; Cooper, K.B.; Forouhar, S. A low-noise photonic heterodyne synthesizer and its application to millimeter-wave radar. Nat. Commun. 2021, 12, 4397. [Google Scholar] [CrossRef]
- Yang, B.; Yang, E. A Survey on Radio Frequency based Precise Localisation Technology for UAV in GPS-denied Environment. J. Intell. Robot. Syst. Theory Appl. 2021, 103, 38. [Google Scholar] [CrossRef]
- Elloumi, W.; Guissous, K.; Chetouani, A.; Canals, R.; Leconge, R.; Emile, B.; Treuillet, S. Indoor navigation assistance with a Smartphone camera based on vanishing points. In Proceedings of the 2013 International Conference on Indoor Positioning and Indoor Navigation, IPIN 2013, Montbeliard, France, 28–31 October 2013. [Google Scholar]
- Aguilar, W.G.; Salcedo, V.S.; Sandoval, D.S.; Cobeña, B. Developing of a Video-Based Model for UAV Autonomous Navigation. In Proceedings of the Communications in Computer and Information Science, Tianjin, China, 11–14 October 2017; Springer Verlag: Berlin/Heidelberg, Germany, 2017; Volume 720, pp. 94–105. [Google Scholar]
- Aitenbichler, E.; Mühlhäuser, M. An IR local positioning system for smart items and devices. In Proceedings of the 23rd International Conference on Distributed Computing Systems Workshops, ICDCSW 2003, Providence, RI, USA, 19–22 May 2003; pp. 334–339. [Google Scholar]
- Oh, J.H.; Kim, D.; Lee, B.H. An Indoor Localization System for Mobile Robots Using an Active Infrared Positioning Sensor. J. Ind. Intell. Inf. 2014, 2, 35–38. [Google Scholar] [CrossRef]
- Kong, W.; Zhang, D.; Wang, X.; Xian, Z.; Zhang, J. Autonomous landing of an UAV with a ground-based actuated infrared stereo vision system. In Proceedings of the IEEE International Conference on Intelligent Robots and Systems, Tokyo, Japan, 3–7 November 2013; pp. 2963–2970. [Google Scholar]
- Chen, L.H.; Wu, E.H.K.; Jin, M.H.; Chen, G.H. Intelligent fusion of wi-fi and inertial sensor-based positioning systems for indoor pedestrian navigation. IEEE Sens. J. 2014, 14, 4034–4042. [Google Scholar] [CrossRef]
- Guo, X.; Elikplim, N.R.; Ansari, N.; Li, L.; Wang, L. Robust WiFi Localization by Fusing Derivative Fingerprints of RSS and Multiple Classifiers. IEEE Trans. Ind. Inform. 2020, 16, 3177–3186. [Google Scholar] [CrossRef]
- Zhou, M.; Yuan, H.; Xie, L.; Tan, W.; Tian, Z. Mobile and redundant access point reduction for indoor unmanned aerial vehicle positioning using WLAN crowdsourcing fingerprints. Phys. Commun. 2019, 36, 100770. [Google Scholar] [CrossRef]
- Oosterlinck, D.; Benoit, D.F.; Baecke, P.; Van de Weghe, N. Bluetooth tracking of humans in an indoor environment: An application to shopping mall visits. Appl. Geogr. 2017, 78, 55–65. [Google Scholar] [CrossRef]
- Soria, P.R.; Palomino, A.F.; Arrue, B.C.; Ollero, A. Bluetooth network for micro-uavs for communication network and embedded range only localization. In Proceedings of the 2017 International Conference on Unmanned Aircraft Systems, ICUAS 2017, Miami, FL, USA, 13–16 June 2017; pp. 747–752. [Google Scholar]
- Mainetti, L.; Patrono, L.; Sergi, I. A survey on indoor positioning systems. In Proceedings of the 2014 22nd International Conference on Software, Telecommunications and Computer Networks, SoftCOM 2014, Split, Croatia, 17–19 September 2014; pp. 111–120. [Google Scholar]
- Koyuncu, H.; Yang, S.H. A survey of indoor positioning and object locating systems. IJCSNS Int. J. Comput. Sci. Netw. Secur. 2010, 10, 121–128. [Google Scholar]
- Ijaz, F.; Yang, H.K.; Ahmad, A.W.; Lee, C. Indoor positioning: A review of indoor ultrasonic positioning systems. In Proceedings of the International Conference on Advanced Communication Technology, ICACT, PyeongChang, Korea, 27–30 January 2013; pp. 1146–1150. [Google Scholar]
- Forouher, D.; Besselmann, M.G.; Maehle, E. Sensor fusion of depth camera and ultrasound data for obstacle detection and robot navigation. In Proceedings of the 2016 14th International Conference on Control, Automation, Robotics and Vision (ICARCV), Phuket, Thailand, 13–15 November 2016; pp. 1–6. [Google Scholar]
- Kasprzyczak, L.; Pietrzak, R. Electromagnetic compatibility tests of Mining Mobile Inspection Robot. Arch. Min. Sci. 2014, 59, 427–439. [Google Scholar] [CrossRef][Green Version]
- Richards, M.A.; Scheer, J.A.; Holm, W.A. Principles of Modern Radar: Basic Principles; Richards, M.A., Melvin, W.L., Eds.; SciTech Pub.: Raleigh, NC, USA, 2010; ISBN 9781613531488. [Google Scholar]
- De Simone, M.C.; Rivera, Z.B.; Guida, D. Obstacle avoidance system for unmanned ground vehicles by using ultrasonic sensors. Machines 2018, 6, 18. [Google Scholar] [CrossRef]
- Lam, F.; Szilard, J. Pulse compression techniques in ultrasonic non-destructive testing. Ultrasonics 1976, 14, 111–114. [Google Scholar] [CrossRef]
- Gan, T.H.; Hutchins, D.A.; Billson, D.R.; Schindel, D.W. The use of broadband acoustic transducers and pulse-compression techniques for air-coupled ultrasonic imaging. Ultrasonics 2001, 39, 181–194. [Google Scholar] [CrossRef]
- Stove, A.G. Linear FMCW radar techniques. IEE Proc. Part F Radar Signal Process. 1992, 139, 343–350. [Google Scholar] [CrossRef]
- Kunita, M. Range measurement in ultrasound FMCW system. Electron. Commun. Jpn. Part III: Fundam. Electron. Sci. 2007, 90, 9–19. [Google Scholar] [CrossRef]
- Kunita, M.; Sudo, M.; Inoue, S.; Akahane, M. A new method for blood velocity measurements using ultrasound FMCW signals. IEEE Trans. Ultrason. Ferroelectr. Freq. Control. 2010, 57, 1064–1076. [Google Scholar] [CrossRef]
- Svilainis, L.; Lukoseviciute, K.; Dumbrava, V.; Chaziachmetovas, A. Subsample interpolation bias error in time of flight estimation by direct correlation in digital domain. Meas. J. Int. Meas. Confed. 2013, 46, 3950–3958. [Google Scholar] [CrossRef]
- Barshan, B. Fast processing techniques for accurate ultrasonic range measurements. Meas. Sci. Technol. 2000, 11, 45–50. [Google Scholar] [CrossRef]
- Huang, S.S.; Huang, C.F.; Huang, K.N.; Young, M.S. A high accuracy ultrasonic distance measurement system using binary frequency shift-keyed signal and phase detection. Rev. Sci. Instrum. 2002, 73, 3671. [Google Scholar] [CrossRef]
- Hazas, M.; Hopper, A. Broadband ultrasonic location systems for improved indoor positioning. IEEE Trans. Mob. Comput. 2006, 5, 536–547. [Google Scholar] [CrossRef]
- Saad, M.M.; Bleakley, C.J.; Dobson, S. Robust high-accuracy ultrasonic range measurement system. In Proceedings of the IEEE Transactions on Instrumentation and Measurement, Hangzhou, China, 9–12 May 2011; Volume 60, pp. 3334–3341. [Google Scholar]
- Jackson, J.C.; Summan, R.; Dobie, G.I.; Whiteley, S.M.; Pierce, S.G.; Hayward, G. Time-of-flight measurement techniques for airborne ultrasonic ranging. IEEE Trans. Ultrason. Ferroelectr. Freq. Control. 2013, 60, 343–355. [Google Scholar] [CrossRef]
- Ronkin, M.V.; Kalmykov, A.A. Investigation of the time delay difference estimator for FMCW signals. In Proceedings of the CEUR Workshop Proceedings, Bloomington, IN, USA, 20–21 January 2017; Volume 2005, pp. 90–99. [Google Scholar]
- Berkol, G.; Baltus, P.G.M.; Harpe, P.J.A.; Cantatore, E. A 2.67 μj per Measurement FMCW Ultrasound Rangefinder System for the Exploration of Enclosed Environments. IEEE Solid-State Circuits Lett. 2020, 3, 326–329. [Google Scholar] [CrossRef]
- De Angelis, A.; Moschitta, A.; Carbone, P.; Calderini, M.; Neri, S.; Borgna, R.; Peppucci, M. Design and characterization of a portable ultrasonic indoor 3-D positioning system. IEEE Trans. Instrum. Meas. 2015, 64, 2616–2625. [Google Scholar] [CrossRef]
- Carotenuto, R. A range estimation system using coded ultrasound. Sens. Actuators A Phys. 2016, 238, 104–111. [Google Scholar] [CrossRef]
- Natarajan, S.; Singh, R.S.; Lee, M.; Cox, B.P.; Culjat, M.O.; Grundfest, W.S.; Lee, H. Accurate step-FMCW ultrasound ranging and comparison with pulse-echo signaling methods. In Proceedings of the Medical Imaging 2010: Ultrasonic Imaging, Tomography, and Therapy, San Diego, CA, USA, 14–15 February 2010; Volume 7629, p. 76290D. [Google Scholar]
- Laureti, S.; Khalid Rizwan, M.; Malekmohammadi, H.; Burrascano, P.; Natali, M.; Torre, L.; Rallini, M.; Puri, I.; Hutchins, D.; Ricci, M. Delamination detection in polymeric ablative materials using pulse-compression thermography and air-coupled ultrasound. Sensors 2019, 19, 2198. [Google Scholar] [CrossRef]
- Burrascano, P.; Laureti, S.; Senni, L.; Ricci, M. Pulse Compression in Nondestructive Testing Applications: Reduction of Near Sidelobes Exploiting Reactance Transformation. IEEE Trans. Circuits Syst. I Regul. Pap. 2019, 66, 1886–1896. [Google Scholar] [CrossRef]
- Solodov, I.; Bai, J.; Bekgulyan, S.; Busse, G. A local defect resonance to enhance acoustic wave-defect interaction in ultrasonic nondestructive evaluation. Appl. Phys. Lett. 2011, 99, 211911. [Google Scholar] [CrossRef]
- Gedanken, A. Using sonochemistry for the fabrication of nanomaterials. Ultrason. Sonochem. 2004, 11, 47–55. [Google Scholar] [CrossRef]
- Dai, J.C.; Bailey, M.R.; Sorensen, M.D.; Harper, J.D. Innovations in Ultrasound Technology in the Management of Kidney Stones. Urol. Clin. North Am. 2019, 46, 273–285. [Google Scholar] [CrossRef]
- Nie, L.; Hutchins, D.A.; Astolfi, L.; Cooper, T.P.; Clare, A.T.; Adams, C.; Watson, R.L.; Thomas, P.J.; Cowell, D.M.J.; McLaughlan, J.R.; et al. A Metallic Additively-Manufactured Metamaterial for Enhanced Monitoring of Acoustic Cavitation-Based Therapeutic Ultrasound. Adv. Eng. Mater. 2021, 24, 2100972. [Google Scholar] [CrossRef]
- Kesner, S.B.; Howe, R.D. Robotic catheter cardiac ablation combining ultrasound guidance and force control. Int. J. Robot. Res. 2014, 33, 631–644. [Google Scholar] [CrossRef]
- Boctor, E.M.; Choti, M.A.; Burdette, E.C.; Webster, R.J. Three-dimensional ultrasound-guided robotic needle placement: An experimental evaluation. Int. J. Med. Robot. Comput. Assist. Surg. 2008, 4, 180–191. [Google Scholar] [CrossRef]
- Khan, S.; Huh, J.; Ye, J.C. Adaptive and Compressive Beamforming Using Deep Learning for Medical Ultrasound. IEEE Trans. Ultrason. Ferroelectr. Freq. Control. 2020, 67, 1558–1572. [Google Scholar] [CrossRef]
- Mercuri, M.; Liu, Y.H.; Lorato, I.; Torfs, T.; Wieringa, F.; Bourdoux, A.; Van Hoof, C. A Direct Phase-Tracking Doppler Radar Using Wavelet Independent Component Analysis for Non-Contact Respiratory and Heart Rate Monitoring. IEEE Trans. Biomed. Circuits Syst. 2018, 12, 632–643. [Google Scholar] [CrossRef]
- Lykou, G.; Moustakas, D.; Gritzalis, D. Defending airports from UAS: A survey on cyber-attacks and counter-drone sensing technologies. Sensors 2020, 20, 3537. [Google Scholar] [CrossRef]
- Battaglini, L.; Laureti, S.; Ricci, M.; Burrascano, P.; Davis, L.A.J.; Hutchins, D.A. The use of Pulse Compression and Frequency Modulated Continuous Wave to improve Ultrasonic Non Destructive Evaluation of highly-scattering materials. In Proceedings of the IEEE International Ultrasonics Symposium, IUS, Chicago, IL, USA, 3–6 September 2014. [Google Scholar]
- Hutchins, D.; Burrascano, P.; Davis, L.; Laureti, S.; Ricci, M. Coded waveforms for optimised air-coupled ultrasonic nondestructive evaluation. Ultrasonics 2014, 54, 1745–1759. [Google Scholar] [CrossRef]
- Misaridis, T.; Jensen, J.A. Use of modulated excitation signals in medical ultrasound. Part II: Design and performance for medical imaging applications. IEEE Trans. Ultrason. Ferroelectr. Freq. Control. 2005, 52, 192–206. [Google Scholar] [CrossRef] [PubMed]
- Hutchins, D.A.; Watson, R.L.; Davis, L.A.J.; Akanji, L.; Billson, D.R.; Burrascano, P.; Laureti, S.; Ricci, M. Ultrasonic propagation in highly attenuating insulation materials. Sensors 2020, 20, 2285. [Google Scholar] [CrossRef] [PubMed]
- Turin, G.L. An Introduction to Matched Filters. IRE Trans. Inf. Theory 1960, 6, 311–329. [Google Scholar] [CrossRef]
- Tarbox, E.; Akhlaghi, N.; Dhawan, A.; Gammell, P.; Chitnis, P.; Sikdar, S. Low-power ultrasound imaging systems using time delay spectrometry. In Proceedings of the IEEE International Ultrasonics Symposium, IUS, Washington, DC, USA, 6–9 September 2017. [Google Scholar]
- Battaglini, L.; Burrascano, P.; Ricci, M.; Senni, L. Ultrasonic Frequency Modulated Continuous Wave for Range Estimation. In Ultrasonic Nondestructive Evaluation Systems; Springer: Berlin/Heidelberg, Germany, 2015; pp. 297–320. [Google Scholar]
- Battaglini, L.; Burrascano, P.; De Angelis, A.; Moschitta, A.; Ricci, M. A low-cost ultrasonic rangefinder based on frequency modulated continuous wave. In Proceedings of the 20th IMEKO TC4 Symposium on Measurements of Electrical Quantities: Research on Electrical and Electronic Measurement for the Economic Upturn, Together with 18th TC4 International Workshop on ADC and DCA Modeling and Testing, IWADC 2014, Benevento, Italy, 15–17 September 2014; pp. 1122–1126. [Google Scholar]











| Category | Weight (kg) | Operating Altitude (m) | Nominal Endurance (h) | Payload (kg) |
|---|---|---|---|---|
| Micro | <2 | <140 | <1 | <1 |
| Mini | 2–25 | <1000 | 2–8 | <10 |
| Small | 25–150 | <1700 | 4–12 | <50 |
| Medium | 150–600 | <3300 | 8–20 | <200 |
| Large/Tactical | >600 | >3300 | >20 | >200 |
| SNR (dB) | ||||||
|---|---|---|---|---|---|---|
| −40 | −20 | 0 | 20 | 40 | ||
| Total standard deviation (mm) | - | 9.47 | 9.63 | 9.62 | 9.62 | |
| - | 13.89 | 10.73 | 10.60 | 10.57 | ||
| - | 12.50 | 10.59 | 10.54 | 10.55 | ||
| SNR (dB) | ||||||
|---|---|---|---|---|---|---|
| −40 | −20 | 0 | 20 | 40 | ||
| Total standard deviation (mm) | - | 9.40 | 9.62 | 9.61 | 9.61 | |
| - | 12.90 | 9.74 | 9.63 | 9.61 | ||
| - | 11.54 | 9.61 | 9.55 | 9.56 | ||
Publisher’s Note: MDPI stays neutral with regard to jurisdictional claims in published maps and institutional affiliations. |
© 2022 by the authors. Licensee MDPI, Basel, Switzerland. This article is an open access article distributed under the terms and conditions of the Creative Commons Attribution (CC BY) license (https://creativecommons.org/licenses/by/4.0/).
Share and Cite
Laureti, S.; Mercuri, M.; Hutchins, D.A.; Crupi, F.; Ricci, M. Modified FMCW Scheme for Improved Ultrasonic Positioning and Ranging of Unmanned Ground Vehicles at Distances < 50 mm. Sensors 2022, 22, 9899. https://doi.org/10.3390/s22249899
Laureti S, Mercuri M, Hutchins DA, Crupi F, Ricci M. Modified FMCW Scheme for Improved Ultrasonic Positioning and Ranging of Unmanned Ground Vehicles at Distances < 50 mm. Sensors. 2022; 22(24):9899. https://doi.org/10.3390/s22249899
Chicago/Turabian StyleLaureti, Stefano, Marco Mercuri, David A. Hutchins, Felice Crupi, and Marco Ricci. 2022. "Modified FMCW Scheme for Improved Ultrasonic Positioning and Ranging of Unmanned Ground Vehicles at Distances < 50 mm" Sensors 22, no. 24: 9899. https://doi.org/10.3390/s22249899
APA StyleLaureti, S., Mercuri, M., Hutchins, D. A., Crupi, F., & Ricci, M. (2022). Modified FMCW Scheme for Improved Ultrasonic Positioning and Ranging of Unmanned Ground Vehicles at Distances < 50 mm. Sensors, 22(24), 9899. https://doi.org/10.3390/s22249899

