Nano-Optomechanical Resonators Based on Suspended Graphene for Thermal Stress Sensing
Abstract
1. Introduction
2. Principle and Characterization
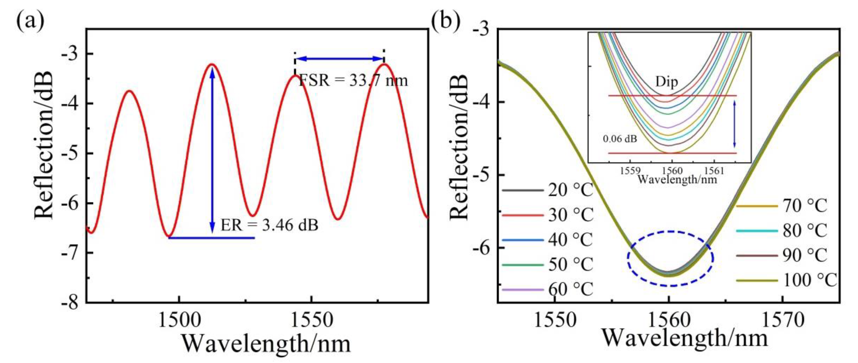
3. Result and Discussion
4. Conclusions
Author Contributions
Funding
Institutional Review Board Statement
Informed Consent Statement
Data Availability Statement
Conflicts of Interest
References
- Guha, B.; Allain, P.E.; Lemaitre, A.; Leo, G.; Favero, I. Force Sensing with an Optomechanical Self-Oscillator. Phys. Rev. Appl. 2020, 14, 024079. [Google Scholar] [CrossRef]
- Ricci, F.; Cuairan, M.T.; Conangla, G.P.; Schell, A.W.; Quidant, R. Accurate Mass Measurement of a Levitated Nanomechanical Resonator for Precision Force-Sensing. Nano Lett. 2019, 19, 6711–6715. [Google Scholar] [CrossRef] [PubMed]
- Yang, J.Y.; Chen, H.J. Room temperature nonlinear mass sensing based on a hybrid spin-nanoresonator system. Chin. Phys. B 2020, 29, 107801. [Google Scholar] [CrossRef]
- Gruber, G.; Urgell, C.; Tavernarakis, A.; Stavrinadis, A.; Tepsic, S.; Magen, C.; Sangiao, S.; de Teresa, J.M.; Verlot, P.; Bachtold, A. Mass Sensing for the Advanced Fabrication of Nanomechanical Resonators. Nano Lett. 2019, 19, 6987–6992. [Google Scholar] [CrossRef] [PubMed]
- Blaikie, A.; Miller, D.; Aleman, B.J. A fast and sensitive room-temperature graphene nanomechanical bolometer. Nat. Commun. 2019, 10, 4726. [Google Scholar] [CrossRef] [PubMed]
- Dolleman, R.J.; Houri, S.; Davidovikj, D.; Cartamil-Bueno, S.J.; Blanter, Y.M.; van der Zant, H.S.J.; Steeneken, P.G. Optomechanics for thermal characterization of suspended graphene. Phys. Rev. B 2017, 96, 165421. [Google Scholar] [CrossRef]
- Ma, J.; Jin, W.; Ho, H.L.; Dai, J.Y. High-sensitivity fiber-tip pressure sensor with graphene diaphragm. Opt. Lett. 2012, 37, 2493–2495. [Google Scholar] [CrossRef]
- Lee, M.; Davidovikj, D.; Sajadi, B.; Siskins, M.; Alijani, F.; van der Zant, H.S.J.; Steeneken, P.G. Sealing Graphene Nanodrums. Nano Lett. 2019, 19, 5313–5318. [Google Scholar] [CrossRef]
- Barton, R.A.; Ilic, B.; van der Zande, A.M.; Whitney, W.S.; McEuen, P.L.; Parpia, J.M.; Craighead, H.G. High, Size-Dependent Quality Factor in an Array of Graphene Mechanical Resonators. Nano Lett. 2011, 11, 1232–1236. [Google Scholar] [CrossRef]
- Davidovikj, D.; Slim, J.J.; Cartamil-Bueno, S.J.; van der Zant, H.S.J.; Steeneken, P.G.; Venstra, W.J. Visualizing the Motion of Graphene Nanodrums. Nano Lett. 2016, 16, 2768–2773. [Google Scholar] [CrossRef]
- Singh, R.; Sarkar, A.; Guria, C.; Nicholl, R.J.T.; Chakraborty, S.; Bolotin, K.I.; Ghosh, S. Giant Tunable Mechanical Nonlinearity in Graphene-Silicon Nitride Hybrid Resonator. Nano Lett. 2020, 20, 4659–4666. [Google Scholar] [CrossRef]
- Chen, C.Y.; Rosenblatt, S.; Bolotin, K.I.; Kalb, W.; Kim, P.; Kymissis, I.; Stormer, H.L.; Heinz, T.F.; Hone, J. Performance of monolayer graphene nanomechanical resonators with electrical readout. Nat. Nanotechnol. 2009, 4, 861–867. [Google Scholar] [CrossRef]
- Zheng, B.C.; Yan, S.C.; Chen, J.H.; Cui, G.X.; Xu, F.; Lu, Y.Q. Miniature optical fiber current sensor based on a graphene membrane. Laser Photonics Rev. 2015, 9, 517–522. [Google Scholar] [CrossRef]
- Bunch, J.S.; van der Zande, A.M.; Verbridge, S.S.; Frank, I.W.; Tanenbaum, D.M.; Parpia, J.M.; Craighead, H.G.; McEuen, P.L. Electromechanical resonators from graphene sheets. Science 2007, 315, 490–493. [Google Scholar] [CrossRef]
- Li, Y.; Li, J.-l.; Zhu, Q.-s.; Liang, J.-f.; Guo, J.-q.; Wang, X.-d. Research progress in graphene based thermal conductivity materials. Cailiao Gongcheng-J. Mater. Eng. 2021, 49, 1–13. [Google Scholar] [CrossRef]
- Yoon, D.; Son, Y.W.; Cheong, H. Negative Thermal Expansion Coefficient of Graphene Measured by Raman Spectroscopy. Nano Lett. 2011, 11, 3227–3231. [Google Scholar] [CrossRef]
- She, Y.M.; Li, C.; Lan, T.; Peng, X.B.; Liu, Q.W.; Fan, S.C. The Effect of Viscous Air Damping on an Optically Actuated Multilayer MoS2 Nanomechanical Resonator Using Fabry-Perot Interference. Nanomaterials 2016, 6, 162. [Google Scholar] [CrossRef]
- Shi, F.T.; Fan, S.C.; Li, C.; Li, Z.A. Opto-thermally Excited Fabry-Perot Resonance Frequency Behaviors of Clamped Circular Graphene Membrane. Nanomaterials 2019, 9, 563. [Google Scholar] [CrossRef]
- Oden, M.; Almer, J.; Hakansson, G. The effects of bias voltage and annealing on the microstructure and residual stress of arc-evaporated Cr-N coatings. Surf. Coat. Technol. 1999, 120, 272–276. [Google Scholar] [CrossRef]
- Li, H.; Zhang, P.; Li, G.; Lu, J.; Wu, Q.; Gu, Y. Stress measurement for nonstoichiometric ceria films based on Raman spectroscopy. J. Alloy. Compd. 2016, 682, 132–137. [Google Scholar] [CrossRef]
- Li, A.; Fei, Z.; Wang, C.; Song, X. Effects of thickness on the residual stress in Cu films. J. Hefei Polytech. Univ. Nat. Ed. 2004, 27, 1543–1546. [Google Scholar]
- Tada, H.; Kumpel, A.E.; Lathrop, R.E.; Slanina, J.B.; Nieva, P.; Zavracky, P.; Miaoulis, I.N.; Wong, P.Y. Thermal expansion coefficient of polycrystalline silicon and silicon dioxide thin films at high temperatures. J. Appl. Phys. 2000, 87, 4189–4193. [Google Scholar] [CrossRef]
- Chang, Z.; Yang, R.; Wei, Y. The linear-dependence of adhesion strength and adhesion range on temperature in soft membranes. J. Mech. Phys. Solids 2019, 132, 103697. [Google Scholar] [CrossRef]
- Lu, Z.; Dunn, M.L. Van der Waals adhesion of graphene membranes. J. Appl. Phys. 2010, 107, 044301. [Google Scholar] [CrossRef]
- Liu, S.; Chen, Y.; Lai, H.; Zou, M.; Xiao, H.; Chen, P.; Du, B.; Xiao, X.; He, J.; Wang, Y. Room-Temperature Fiber Tip Nanoscale Optomechanical Bolometer. ACS Photonics 2022, 9, 1586–1593. [Google Scholar] [CrossRef]
- Luo, J.; Liu, S.; Chen, P.; Lu, S.; Zhang, Q.; Chen, Y.; Du, B.; Tang, J.; He, J.; Liao, C.; et al. Fiber optic hydrogen sensor based on a Fabry-Perot interferometer with a fiber Bragg grating and a nanofilm. Lab Chip 2021, 21, 1752–1758. [Google Scholar] [CrossRef]
- Zhang, X.; Luo, X.; Hou, Z.; Xiao, D.; Wu, X. Sputtering process research of multilayer metal thin film in MEMS devices. Transducer Microsyst. Technol. 2018, 37, 11–14. [Google Scholar]
- Ma, J. Miniature Fiber-Tip Fabry-Perot Interferometric Sensors for Pressure and Acoustic Detection; The Hong Kong Polytechnic University: Hong Kong, China, 2014. [Google Scholar]
- Li, C.; Liu, Q.W.; Peng, X.B.; Fan, S.C. Analyzing the temperature sensitivity of Fabry-Perot sensor using multilayer graphene diaphragm. Opt. Express 2015, 23, 27494–27502. [Google Scholar] [CrossRef]
- Kumar, V.; Kumar, A.; Lee, D.-J.; Park, S.-S. Estimation of Number of Graphene Layers Using Different Methods: A Focused Review. Materials 2021, 14, 4590. [Google Scholar] [CrossRef]
- Ma, J.; Jin, W.; Xuan, H.; Wang, C.; Ho, H.L. Fiber-optic ferrule-top nanomechanical resonator with multilayer graphene film. Opt. Lett. 2014, 39, 4769–4772. [Google Scholar] [CrossRef]
- Li, L.; Feng, Z.Y.; Qiao, X.G.; Yang, H.Z.; Wang, R.H.; Su, D.; Wang, Y.P.; Bao, W.J.; Li, J.C.; Shao, Z.H.; et al. Ultrahigh Sensitive Temperature Sensor Based on Fabry-Perot Interference Assisted by a Graphene Diaphragm. IEEE Sens. J. 2015, 15, 505–509. [Google Scholar] [CrossRef]





Publisher’s Note: MDPI stays neutral with regard to jurisdictional claims in published maps and institutional affiliations. |
© 2022 by the authors. Licensee MDPI, Basel, Switzerland. This article is an open access article distributed under the terms and conditions of the Creative Commons Attribution (CC BY) license (https://creativecommons.org/licenses/by/4.0/).
Share and Cite
Liu, S.; Xiao, H.; Chen, Y.; Chen, P.; Yan, W.; Lin, Q.; Liu, B.; Xu, X.; Wang, Y.; Weng, X.; et al. Nano-Optomechanical Resonators Based on Suspended Graphene for Thermal Stress Sensing. Sensors 2022, 22, 9068. https://doi.org/10.3390/s22239068
Liu S, Xiao H, Chen Y, Chen P, Yan W, Lin Q, Liu B, Xu X, Wang Y, Weng X, et al. Nano-Optomechanical Resonators Based on Suspended Graphene for Thermal Stress Sensing. Sensors. 2022; 22(23):9068. https://doi.org/10.3390/s22239068
Chicago/Turabian StyleLiu, Shen, Hang Xiao, Yanping Chen, Peijing Chen, Wenqi Yan, Qiao Lin, Bonan Liu, Xizhen Xu, Yiping Wang, Xiaoyu Weng, and et al. 2022. "Nano-Optomechanical Resonators Based on Suspended Graphene for Thermal Stress Sensing" Sensors 22, no. 23: 9068. https://doi.org/10.3390/s22239068
APA StyleLiu, S., Xiao, H., Chen, Y., Chen, P., Yan, W., Lin, Q., Liu, B., Xu, X., Wang, Y., Weng, X., Liu, L., & Qu, J. (2022). Nano-Optomechanical Resonators Based on Suspended Graphene for Thermal Stress Sensing. Sensors, 22(23), 9068. https://doi.org/10.3390/s22239068

