Luminescent Silicon Nanowires as Novel Sensor for Environmental Air Quality Control
Abstract
1. Introduction
2. Materials and Methods
2.1. Materials
2.2. Synthesis of Si NWs
2.3. Structural, Optical and Electrical Characterization
3. Results and Discussions
3.1. Optical Detection
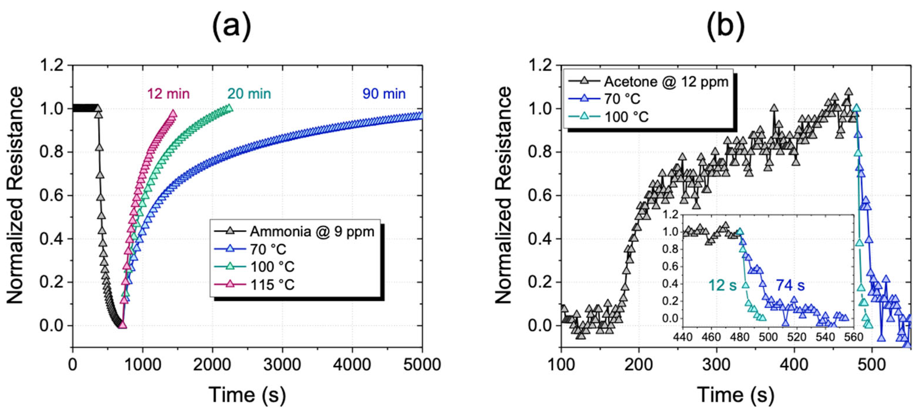
3.2. Electrical Detection
4. Conclusions
Author Contributions
Funding
Data Availability Statement
Conflicts of Interest
References
- Liu, X.; Cheng, S.; Liu, H.; Hu, S.; Zhang, D.; Ning, H. A Survey on Gas Sensing Technology. Sensors 2012, 12, 9635–9665. [Google Scholar] [CrossRef] [PubMed]
- Urso, M.; Leonardi, S.G.; Neri, G.; Petralia, S.; Conoci, S.; Priolo, F.; Mirabella, S. Room Temperature Detection and Modelling of Sub-Ppm NO2 by Low-Cost Nanoporous NiO Film. Sens. Actuators B Chem. 2020, 305, 127481. [Google Scholar] [CrossRef]
- Singh, E.; Meyyappan, M.; Nalwa, H.S. Flexible Graphene-Based Wearable Gas and Chemical Sensors. ACS Appl. Mater. Interfaces 2017, 9, 34544–34586. [Google Scholar] [CrossRef] [PubMed]
- Pandey, S.; Nanda, K.K. Au Nanocomposite Based Chemiresistive Ammonia Sensor for Health Monitoring. ACS Sens. 2016, 1, 55–62. [Google Scholar] [CrossRef]
- Frodl, R.; Tille, T. A High-Precision NDIR CO2 Gas Sensor for Automotive Applications. IEEE Sens. J. 2006, 6, 1697–1704. [Google Scholar] [CrossRef]
- Riegel, J.; Neumann, H.; Wiedenmann, H.M. Exhaust Gas Sensors for Automotive Emission Control. Solid State Ion. 2002, 152–153, 783–800. [Google Scholar] [CrossRef]
- Alvear, O.; Calafate, C.; Cano, J.-C.; Manzoni, P. Crowdsensing in Smart Cities: Overview, Platforms, and Environment Sensing Issues. Sensors 2018, 18, 460. [Google Scholar] [CrossRef]
- Kim, Y.S.; Hwang, I.S.; Kim, S.J.; Lee, C.Y.; Lee, J.H. CuO Nanowire Gas Sensors for Air Quality Control in Automotive Cabin. Sens. Actuators B Chem. 2008, 135, 298–303. [Google Scholar] [CrossRef]
- Faiz, A. Automotive Emissions in Developing Countries-Relative Implications for Global Warming, Acidification and Urban Air Quality. Transp. Res. Part A 1993, 27, 167–186. [Google Scholar] [CrossRef]
- Zheng, Y.; Liu, F.; Hsieh, H.P. U-Air: When Urban Air Quality Inference Meets Big Data. In Proceedings of the ACM SIGKDD International Conference on Knowledge Discovery and Data Mining, Chicago, IL, USA, 11–14 August 2013; Association for Computing Machinery: New York, NY, USA, 2013; Volume Part F128815, pp. 1436–1444. [Google Scholar]
- Yamazoe, N.; Shimanoe, K. Fundamentals of Semiconductor Gas Sensors. In Semiconductor Gas Sensors; Elsevier Ltd: Amsterdam, The Netherlands, 2013; pp. 3–34. ISBN 9780857092366. [Google Scholar]
- Yu, B.F.; Hu, Z.B.; Liu, M.; Yang, H.L.; Kong, Q.X.; Liu, Y.H. Review of Research on Air-Conditioning Systems and Indoor Air Quality Control for Human Health. Int. J. Refrig. 2009, 32, 3–20. [Google Scholar] [CrossRef]
- Aneja, V.P.; Schlesinger, W.H.; Erisman, J.W. Effects of Agriculture upon the Air Quality and Climate: Research, Policy, and Regulations. Environ. Sci. Technol. 2009, 43, 4234–4240. [Google Scholar] [CrossRef] [PubMed]
- Cavalcante, R.M.; Campelo, C.S.; Barbosa, M.J.; Silveira, E.R.; Carvalho, T.V.; Nascimento, R.F. Determination of Carbonyl Compounds in Air and Cancer Risk Assessment in an Academic Institute in Fortaleza, Brazil. Atmos. Environ. 2006, 40, 5701–5711. [Google Scholar] [CrossRef]
- Mellouki, A.; Wallington, T.J.; Chen, J. Atmospheric Chemistry of Oxygenated Volatile Organic Compounds: Impacts on Air Quality and Climate. Chem. Rev. 2015, 115, 3984–4014. [Google Scholar] [CrossRef] [PubMed]
- Hu, C.; Zhu, Q.; Jiang, Z.; Chen, L.; Wu, R. Catalytic Combustion of Dilute Acetone over Cu-Doped Ceria Catalysts. Chem. Eng. J. 2009, 152, 583–590. [Google Scholar] [CrossRef]
- Ziem, G.E.; Castleman, B.I. Threshold Limit Values: Historical Perspectives and Current Practice. J. Occup. Med. 1989, 31, 910–918. [Google Scholar] [CrossRef] [PubMed]
- Ahmed, F.E. Toxicological Effects of Ethanol on Human Health. Crit. Rev. Toxicol. 1995, 25, 347–367. [Google Scholar] [CrossRef]
- Li, C.; Zhang, C.; Fobelets, K.; Zheng, J.; Xue, C.; Zuo, Y.; Cheng, B.; Wang, Q. Impact of Ammonia on the Electrical Properties of P-Type Si Nanowire Arrays. J. Appl. Phys. 2013, 114, 173702. [Google Scholar] [CrossRef]
- Timmer, B.; Olthuis, W.; Berg, A. van den Ammonia Sensors and Their Applications—A Review. Sens. Actuators B Chem. 2005, 107, 666–677. [Google Scholar] [CrossRef]
- Lo Faro, M.J.; Leonardi, A.A.; Morganti, D.; Fazio, B.; Vasi, C.; Musumeci, P.; Priolo, F.; Irrera, A. Low Cost Fabrication of Si NWs/CuI Heterostructures. Nanomaterials 2018, 8, 569. [Google Scholar] [CrossRef]
- Giurlani, W.; Dell’aquila, V.; Vizza, M.; Calisi, N.; Lavacchi, A.; Irrera, A.; Lo Faro, M.J.; Leonardi, A.A.; Morganti, D.; Innocenti, M. Electrodeposition of Nanoparticles and Continuous Film of CdSe on N-Si (100). Nanomaterials 2019, 9, 1504. [Google Scholar] [CrossRef]
- Flory, F. Optical Properties of Nanostructured Materials: A Review. J. Nanophotonics 2011, 5, 052502. [Google Scholar] [CrossRef]
- Paska, Y.; Stelzner, T.; Assad, O.; Tisch, U.; Christiansen, S.; Haick, H. Molecular Gating of Silicon Nanowire Field-Effect Transistors with Nonpolar Analytes. ACS Nano 2012, 6, 335–345. [Google Scholar] [CrossRef] [PubMed]
- Konvalina, G.; Haick, H. Sensors for Breath Testing: From Nanomaterials to Comprehensive Disease Detection. Acc. Chem. Res. 2014, 47, 66–76. [Google Scholar] [CrossRef] [PubMed]
- Amalina, M.N.; Rasheid, N.A.; Rusop, M. The Properties of Sprayed Nanostructured P-Type CuI Films for Dye-Sensitized Solar Cells Application. J. Nanomater. 2012, 2012, 3. [Google Scholar] [CrossRef]
- Lombardo, S.; Coffa, S.; Bongiorno, C.; Spinella, C.; Castagna, E.; Sciuto, A.; Gerardi, C.; Ferrari, F.; Fazio, B.; Privitera, S. Correlation of Dot Size Distribution with Luminescence and Electrical Transport of Si Quantum Dots Embedded in SiO2. Mater. Sci. Eng. B 2000, 69–70, 295–298. [Google Scholar] [CrossRef]
- Artoni, P.; Pecora, E.F.; Irrera, A.; Priolo, F. Kinetics of Si and Ge Nanowires Growth through Electron Beam Evaporation. Nanoscale Res. Lett. 2011, 6, 162. [Google Scholar] [CrossRef] [PubMed]
- Nocito, G.; Calabrese, G.; Forte, S.; Petralia, S.; Puglisi, C.; Campolo, M.; Esposito, E.; Conoci, S. Carbon Dots as Promising Tools for Cancer Diagnosis and Therapy. Cancers 2021, 13, 1991. [Google Scholar] [CrossRef]
- Lo Faro, M.J.; Leonardi, A.A.; Morganti, D.; Conoci, S.; Fazio, B.; Irrera, A. Hybrid Platforms of Silicon Nanowires and Carbon Nanotubes in an Ionic Liquid Bucky Gel. Molecules 2022, 27, 4412. [Google Scholar] [CrossRef]
- Leonardi, A.A.; Lo Faro, M.J.; Di Franco, C.; Palazzo, G.; D’Andrea, C.; Morganti, D.; Manoli, K.; Musumeci, P.; Fazio, B.; Lanza, M.; et al. Silicon Nanowire Luminescent Sensor for Cardiovascular Risk in Saliva. J. Mater. Sci. Mater. Electron. 2020, 31, 10–17. [Google Scholar] [CrossRef]
- Huang, X.J.; Choi, Y.K. Chemical Sensors Based on Nanostructured Materials. Sens. Actuators B Chem. 2007, 122, 659–671. [Google Scholar] [CrossRef]
- Ramgir, N.S.; Yang, Y.; Zacharias, M. Nanowire-Based Sensors. Small 2010, 6, 1705–1722. [Google Scholar] [CrossRef]
- D’Andrea, C.; Lo Faro, M.J.; Bertino, G.; Ossi, P.M.; Neri, F.; Trusso, S.; Musumeci, P.; Galli, M.; Cioffi, N.; Irrera, A.; et al. Decoration of Silicon Nanowires with Silver Nanoparticles for Ultrasensitive Surface Enhanced Raman Scattering. Nanotechnology 2016, 27, 375603. [Google Scholar] [CrossRef] [PubMed]
- Paska, Y.; Stelzner, T.; Christiansen, S.; Haick, H. Enhanced Sensing of Nonpolar Volatile Organic Compounds by Silicon Nanowire Field Effect Transistors. ACS Nano 2011, 5, 5620–5626. [Google Scholar] [CrossRef] [PubMed]
- Duan, X.; Li, Y.; Rajan, N.K.; Routenberg, D.A.; Modis, Y.; Reed, M.A. Quantification of the Affinities and Kinetics of Protein Interactions Using Silicon Nanowire Biosensors. Nat. Nanotechnol. 2012, 7, 401–407. [Google Scholar] [CrossRef] [PubMed]
- Elnathan, R.; Kwiat, M.; Pevzner, A.; Engel, Y.; Burstein, L.; Khatchtourints, A.; Lichtenstein, A.; Kantaev, R.; Patolsky, F. Biorecognition Layer Engineering: Overcoming Screening Limitations of Nanowire-Based FET Devices. Nano Lett. 2012, 12, 5245–5254. [Google Scholar] [CrossRef]
- Mcalpine, M.C.; Ahmad, H.; Wang, D.; Heath, J.R. Highly Ordered Nanowire Arrays on Plastic Substrates for Ultrasensitive Flexible Chemical Sensors. Nat. Mater. 2007, 6, 379–384. [Google Scholar] [CrossRef]
- Yang, P.; Brittman, S.; Liu, C. Chapter 6. Nanowires for Photovoltaics and Artificial Photosynthesis. In Semiconductor Nanowires: From Next-Generation Electronics to Sustainable Energy; Royal Society of Chemistry: Cambridge, UK, 2014; pp. 277–311. [Google Scholar]
- Rundo, F.; Spampinato, C.; Conoci, S. Ad-Hoc Shallow Neural Network to Learn Hyper Filtered Photo Plethysmo Graphic (PPG) Signal for Efficient Car-Driver Drowsiness Monitoring. Electronics 2019, 8, 890. [Google Scholar] [CrossRef]
- Leonardi, A.A.; Sciuto, E.L.; Lo Faro, M.J.; Morganti, D.; Midiri, A.; Spinella, C.; Conoci, S.; Irrera, A.; Fazio, B. Molecular Fingerprinting of the Omicron Variant Genome of SARS-CoV-2 by SERS Spectroscopy. Nanomaterials 2022, 12, 2134. [Google Scholar] [CrossRef]
- Liu, G.; Lin, Y. Nanomaterial Labels in Electrochemical Immunosensors and Immunoassays. Talanta 2007, 74, 308–317. [Google Scholar] [CrossRef]
- Zhang, J.; Liu, X.; Neri, G.; Pinna, N. Nanostructured Materials for Room-Temperature Gas Sensors. Adv. Mater. 2016, 28, 795–831. [Google Scholar] [CrossRef]
- Leonardi, A.A.; Nastasi, F.; Morganti, D.; Lo Faro, M.J.; Picca, R.A.; Cioffi, N.; Franzò, G.; Serroni, S.; Priolo, F.; Puntoriero, F.; et al. New Hybrid Light Harvesting Antenna Based on Silicon Nanowires and Metal Dendrimers. Adv. Opt. Mater. 2020, 8, 2001070. [Google Scholar] [CrossRef]
- Yamazoe, N.; Shimanoe, K. Theory of Power Laws for Semiconductor Gas Sensors. Sens. Actuators B Chem. 2008, 128, 566–573. [Google Scholar] [CrossRef]
- Batzill, M.; Diebold, U. The Surface and Materials Science of Tin Oxide. Prog. Surf. Sci. 2005, 79, 47–154. [Google Scholar] [CrossRef]
- Ashrafabadi, S.; Eshghi, H. Single-Crystalline Si Nanowires Fabrication by One-Step Metal Assisted Chemical Etching: The Effect of Etching Time and Resistivity of Si Wafer. Superlattices Microstruct. 2018, 120, 517–524. [Google Scholar] [CrossRef]
- Sahoo, M.K.; Kale, P. Integration of Silicon Nanowires in Solar Cell Structure for Efficiency Enhancement: A Review. J. Mater. 2019, 5, 34–48. [Google Scholar] [CrossRef]
- Lajvardi, M.; Eshghi, H.; Izadifard, M.; Ghazi, M.E.; Goodarzi, A. Effects of Silver and Gold Catalytic Activities on the Structural and Optical Properties of Silicon Nanowires. Phys. E Low-Dimens. Syst. Nanostruct. 2016, 75, 136–143. [Google Scholar] [CrossRef]
- Weisse, J.M.; Marconnet, A.M.; Kim, D.R.; Rao, P.M.; Panzer, M.A.; Goodson, K.E.; Zheng, X. Thermal Conductivity in Porous Silicon Nanowire Arrays. Nanoscale Res. Lett. 2012, 7, 554. [Google Scholar] [CrossRef]
- Jalaly, S.; Vahdani, M.; Shahabadi, M.; Mohamad Sadeghi, G.M. Design, Fabrication, and Measurement of a Polymer-Based Anti-Reflection Coating for Improved Performance of a Solar Panel under a Specific Incident Angle. Sol. Energy Mater. Sol. Cells 2019, 189, 175–180. [Google Scholar] [CrossRef]
- Cui, Y.; Wei, Q.; Park, H.; Lieber, C.M. Nanowire Nanosensors for Highly Sensitive and Selective Detection of Biological and Chemical Species. Science 2001, 293, 1289–1292. [Google Scholar] [CrossRef]
- Gao, A.; Lu, N.; Dai, P.; Fan, C.; Wang, Y.; Li, T. Direct Ultrasensitive Electrical Detection of Prostate Cancer Biomarkers with CMOS-Compatible n- and p-Type Silicon Nanowire Sensor Arrays. Nanoscale 2014, 6, 13036–13042. [Google Scholar] [CrossRef]
- Javey, A.; Nam, S.; Friedman, R.S.; Yan, H.; Lieber, C.M. Layer-by-Layer Assembly of Nanowires for Three-Dimensional, Multifunctional Electronics. Nano Lett. 2007, 7, 773–777. [Google Scholar] [CrossRef] [PubMed]
- Irrera, A.; Leonardi, A.A.; Di Franco, C.; Lo Faro, M.J.; Palazzo, G.; D’Andrea, C.; Manoli, K.; Franzò, G.; Musumeci, P.; Fazio, B.; et al. New Generation of Ultrasensitive Label-Free Optical Si Nanowire-Based Biosensors. ACS Photonics 2018, 5, 471–479. [Google Scholar] [CrossRef]
- Leonardi, A.A.; Battaglia, R.; Morganti, D.; Lo Faro, M.J.; Fazio, B.; De Pascali, C.; Francioso, L.; Palazzo, G.; Mallardi, A.; Purrello, M.; et al. A Novel Silicon Platform for Selective Isolation, Quantification, and Molecular Analysis of Small Extracellular Vesicles. Int. J. Nanomed. 2021, 16, 5153–5165. [Google Scholar] [CrossRef] [PubMed]
- Karbassian, F.; Rajabali, S.; Chimeh, A.; Mohajerzadeh, S.; Asl-Soleimani, E. Luminescent Porous Silicon Prepared by Reactive Ion Etching. J. Phys. D Appl. Phys. 2014, 47, 385103. [Google Scholar] [CrossRef]
- Urmann, K.; Walter, J.-G.; Scheper, T.; Segal, E. Label-Free Optical Biosensors Based on Aptamer-Functionalized Porous Silicon Scaffolds. Anal. Chem. 2015, 87, 1999–2006. [Google Scholar] [CrossRef] [PubMed]
- Wang, J.; Guo, J.; Chen, J. Silicon Nanocrystals with PH-Sensitive Tunable Light Emission from Violet to Blue-Green. Sensors 2017, 17, 2396. [Google Scholar] [CrossRef]
- Erogbogbo, F.; Yong, K.-T.; Roy, I.; Hu, R.; Law, W.-C.; Zhao, W.; Ding, H.; Wu, F.; Kumar, R.; Swihart, M.T.; et al. In Vivo Targeted Cancer Imaging, Sentinel Lymph Node Mapping and Multi-Channel Imaging with Biocompatible Silicon Nanocrystals. ACS Nano 2011, 5, 413–423. [Google Scholar] [CrossRef]
- Chiappini, C.; Liu, X.; Fakhoury, J.R.; Ferrari, M. Biodegradable Porous Silicon Barcode Nanowires with Defined Geometry. Adv. Funct. Mater. 2010, 20, 2231–2239. [Google Scholar] [CrossRef]
- Credo, G.M.; Mason, M.D.; Buratto, S.K. External Quantum Efficiency of Single Porous Silicon Nanoparticles. Appl. Phys. Lett. 1999, 74, 1978–1980. [Google Scholar] [CrossRef]
- Liao, J.; Li, Z.; Wang, G.; Chen, C.; Lv, S.; Li, M. ZnO Nanorod/Porous Silicon Nanowire Hybrid Structures as Highly-Sensitive NO2 Gas Sensors at Room Temperature. Phys. Chem. Chem. Phys. 2016, 18, 4835–4841. [Google Scholar] [CrossRef]
- Ahn, J.-H.; Yun, J.; Moon, D.-I.; Choi, Y.-K.; Park, I. Self-Heated Silicon Nanowires for High Performance Hydrogen Gas Detection. Nanotechnology 2015, 26, 095501. [Google Scholar] [CrossRef] [PubMed]
- Akbari-Saatlu, M.; Procek, M.; Mattsson, C.; Thungström, G.; Nilsson, H.-E.; Xiong, W.; Xu, B.; Li, Y.; Radamson, H.H. Silicon Nanowires for Gas Sensing: A Review. Nanomaterials 2020, 10, 2215. [Google Scholar] [CrossRef] [PubMed]
- Mirzaei, A.; Leonardi, S.G.; Neri, G. Detection of Hazardous Volatile Organic Compounds (VOCs) by Metal Oxide Nanostructures-Based Gas Sensors: A Review. Ceram. Int. 2016, 42, 15119–15141. [Google Scholar] [CrossRef]
- Dey, A. Semiconductor Metal Oxide Gas Sensors: A Review. Mater. Sci. Eng. B 2018, 229, 206–217. [Google Scholar] [CrossRef]
- Dubrovskii, V.G.; Sibirev, N.V. Growth Thermodynamics of Nanowires and Its Application to Polytypism of Zinc Blende III-V Nanowires. Phys. Rev. B 2008, 77, 035414. [Google Scholar] [CrossRef]
- Schmidt, V.; Wittemann, J.V.; Senz, S.; Gösele, U. Silicon Nanowires: A Review on Aspects of Their Growth and Their Electrical Properties. Adv. Mater. 2009, 21, 2681–2702. [Google Scholar] [CrossRef]
- Barth, S.; Boland, J.J.; Holmes, J.D. Defect Transfer from Nanoparticles to Nanowires. Nano Lett. 2011, 11, 1550–1555. [Google Scholar] [CrossRef]
- Hochbaum, A.I.; Fan, R.; He, R.; Yang, P. Controlled Growth of Si Nanowire Arrays for Device Integration. Nano Lett. 2005, 5, 457–460. [Google Scholar] [CrossRef]
- Irrera, A.; Lo Faro, M.J.; D’Andrea, C.; Leonardi, A.A.; Artoni, P.; Fazio, B.; Anna Picca, R.; Cioffi, N.; Trusso, S.; Franzò, G.; et al. Light-Emitting Silicon Nanowires Obtained by Metal-Assisted Chemical Etching. Semicond. Sci. Technol. 2017, 32, 043004. [Google Scholar] [CrossRef]
- Lo Faro, M.J.; D’Andrea, C.; Messina, E.; Fazio, B.; Musumeci, P.; Reitano, R.; Franzò, G.; Gucciardi, P.G.; Vasi, C.; Priolo, F.; et al. Silicon Nanowire and Carbon Nanotube Hybrid for Room Temperature Multiwavelength Light Source. Sci. Rep. 2015, 5, 16753. [Google Scholar] [CrossRef]
- Morganti, D.; Leonardi, A.A.; Lo Faro, M.J.; Leonardi, G.; Salvato, G.; Fazio, B.; Musumeci, P.; Livreri, P.; Conoci, S.; Neri, G.; et al. Ultrathin Silicon Nanowires for Optical and Electrical Nitrogen Dioxide Detection. Nanomaterials 2021, 11, 1767. [Google Scholar] [CrossRef] [PubMed]
- Qin, Y.; Wang, X.; Zang, J. Room-Temperature Ethanol Sensor Based on ZIF-67 Modified Silicon Nanowires with Expanded Detection Range and Enhanced Moisture Resistance. Chem. Phys. Lett. 2021, 765, 138302. [Google Scholar] [CrossRef]
- Dwivedi, P.; Dhanekar, S.; Das, S. Near Room Temperature Sensing by In₂O₃ Decorated Silicon Nanowires for Sensitive Detection of Ethanol. IEEE Sens. J. 2021, 21, 7275–7282. [Google Scholar] [CrossRef]
- Kim, H.-J.; Jeong, H.-M.; Kim, T.-H.; Chung, J.-H.; Kang, Y.C.; Lee, J.-H. Enhanced Ethanol Sensing Characteristics of In2O3-Decorated NiO Hollow Nanostructures via Modulation of Hole Accumulation Layers. ACS Appl. Mater. Interfaces 2014, 6, 18197–18204. [Google Scholar] [CrossRef] [PubMed]
- Wang, Y.; Lin, Y.; Jiang, D.; Li, F.; Li, C.; Zhu, L.; Wen, S.; Ruan, S. Special Nanostructure Control of Ethanol Sensing Characteristics Based on Au@In2O3 Sensor with Good Selectivity and Rapid Response. RSC Adv. 2015, 5, 9884–9890. [Google Scholar] [CrossRef]
- Wang, J.; Xie, Z.; Si, Y.; Liu, X.; Zhou, X.; Yang, J.; Hu, P.; Han, N.; Yang, J.; Chen, Y. Ag-Modified In2O3 Nanoparticles for Highly Sensitive and Selective Ethanol Alarming. Sensors 2017, 17, 2220. [Google Scholar] [CrossRef]
- Kim, S.-J.; Hwang, I.-S.; Woong Na, C.; Kim, I.-D.; Chan Kang, Y.; Lee, J.-H. Ultrasensitive and Selective C2H5OH Sensors Using Rh-Loaded In 2 O 3 Hollow Spheres. J. Mater. Chem. 2011, 21, 18560–18567. [Google Scholar] [CrossRef]
- Yu, M.-R.; Suyambrakasam, G.; Wu, R.-J.; Chavali, M. Performance Evaluation of ZnO–CuO Hetero Junction Solid State Room Temperature Ethanol Sensor. Mater. Res. Bull. 2012, 47, 1713–1718. [Google Scholar] [CrossRef]
- Jie, J.; Zhang, W.; Peng, K.; Yuan, G.; Lee, C.S.; Lee, S.T. Surface-Dominated Transport Properties of Silicon Nanowires. Adv. Funct. Mater. 2008, 18, 3251–3257. [Google Scholar] [CrossRef]
- Van Gerwen, P.; Laureyn, W.; Laureys, W.; Huyberechts, G.; Op De Beeck, M.; Baert, K.; Suls, J.; Sansen, W.; Jacobs, P.; Hermans, L.; et al. Nanoscaled Interdigitated Electrode Arrays for Biochemical Sensors. Sens. Actuators B Chem. 1998, 49, 73–80. [Google Scholar] [CrossRef]
- Fobelets, K.; Panteli, C.; Sydoruk, O.; Li, C. Ammonia Sensing Using Arrays of Silicon Nanowires and Graphene. J. Semicond. 2018, 39, 063001. [Google Scholar] [CrossRef]
- Demami, F.; Ni, L.; Rogel, R.; Salaun, A.C.; Pichon, L. Silicon Nanowires Based Resistors as Gas Sensors. Sens. Actuators B Chem. 2012, 170, 158–162. [Google Scholar] [CrossRef]
- Ni, L.; Jacques, E.; Rogel, R.; Salaün, A.C.; Pichon, L.; Wenga, G. VLS Silicon Nanowires Based Resistors for Chemical Sensor Applications. Procedia Eng. 2012, 47, 240–243. [Google Scholar] [CrossRef]
- Talin, A.A.; Hunter, L.L.; Léonard, F.; Rokad, B. Large Area, Dense Silicon Nanowire Array Chemical Sensors. Appl. Phys. Lett. 2006, 89, 153102. [Google Scholar] [CrossRef]
- In, H.J.; Field, C.R.; Pehrsson, P.E. Periodically Porous Top Electrodes on Vertical Nanowire Arrays for Highly Sensitive Gas Detection. Nanotechnology 2011, 22, 355501. [Google Scholar] [CrossRef] [PubMed]
- Field, C.R.; In, H.J.; Begue, N.J.; Pehrsson, P.E. Vapor Detection Performance of Vertically Aligned, Ordered Arrays of Silicon Nanowires with a Porous Electrode. Anal. Chem. 2011, 83, 4724–4728. [Google Scholar] [CrossRef] [PubMed]
- Kondratev, V.M.; Morozov, I.A.; Vyacheslavova, E.A.; Kirilenko, D.A.; Kuznetsov, A.; Kadinskaya, S.A.; Nalimova, S.S.; Moshnikov, V.A.; Gudovskikh, A.S.; Bolshakov, A.D. Silicon Nanowire-Based Room-Temperature Multi-Environment Ammonia Detection. ACS Appl. Nano Mater. 2022, 5, 9940–9949. [Google Scholar] [CrossRef]
- Gudovskikh, A.; Kudryashov, D.; Baranov, A.; Uvarov, A.; Morozov, I.; Maksimova, A.; Vyacheslavova, E.; Kirilenko, D.; Mozharov, A. Impact of Interface Recombination on Quantum Efficiency of A-Si:H/c-Si Solar Cells Based on Si Wires. Phys. Status Solidi 2021, 218, 2100339. [Google Scholar] [CrossRef]
- Zhu, S.; Liu, X.; Zhuang, J.; Zhao, L. A Fast Room Temperature NH3 Sensor Based on an Al/p-Si/Al Structure with Schottky Electrodes. Sensors 2017, 17, 1929. [Google Scholar] [CrossRef]
- Li, M.; Hu, M.; Zeng, P.; Ma, S.; Yan, W.; Qin, Y. Effect of Etching Current Density on Microstructure and NH3-Sensing Properties of Porous Silicon with Intermediate-Sized Pores. Electrochim. Acta 2013, 108, 167–174. [Google Scholar] [CrossRef]
- Zou, X.; Wang, J.; Liu, X.; Wang, C.; Jiang, Y.; Wang, Y.; Xiao, X.; Ho, J.C.; Li, J.; Jiang, C.; et al. Rational Design of Sub-Parts per Million Specific Gas Sensors Array Based on Metal Nanoparticles Decorated Nanowire Enhancement-Mode Transistors. Nano Lett. 2013, 13, 3287–3292. [Google Scholar] [CrossRef] [PubMed]
- Güntner, A.T.; Righettoni, M.; Pratsinis, S.E. Selective Sensing of NH3 by Si-Doped α-MoO3 for Breath Analysis. Sens. Actuators B Chem. 2016, 223, 266–273. [Google Scholar] [CrossRef]
- Kwak, D.; Wang, M.; Koski, K.J.; Zhang, L.; Sokol, H.; Maric, R.; Lei, Y. Molybdenum Trioxide (α-MoO3) Nanoribbons for Ultrasensitive Ammonia (NH3) Gas Detection: Integrated Experimental and Density Functional Theory Simulation Studies. ACS Appl. Mater. Interfaces 2019, 11, 10697–10706. [Google Scholar] [CrossRef] [PubMed]
- Wan, J.; Deng, S.-R.; Yang, R.; Shu, Z.; Lu, B.-R.; Xie, S.-Q.; Chen, Y.; Huq, E.; Liu, R.; Qu, X.-P. Silicon Nanowire Sensor for Gas Detection Fabricated by Nanoimprint on SU8/SiO2/PMMA Trilayer. Microelectron. Eng. 2009, 86, 1238–1242. [Google Scholar] [CrossRef]
- Hong, Y.; Kim, C.-H.; Shin, J.; Kim, K.Y.; Kim, J.S.; Hwang, C.S.; Lee, J.-H. Highly Selective ZnO Gas Sensor Based on MOSFET Having a Horizontal Floating-Gate. Sens. Actuators B Chem. 2016, 232, 653–659. [Google Scholar] [CrossRef]
- Lv, L.; Wang, Y.; Cheng, P.; Zhang, B.; Dang, F.; Xu, L. Ultrasonic Spray Pyrolysis Synthesis of Three-Dimensional ZnFe2O4-Based Macroporous Spheres for Excellent Sensitive Acetone Gas Sensor. Sens. Actuators B Chem. 2019, 297, 126755. [Google Scholar] [CrossRef]
- Siebert, L.; Wolff, N.; Ababii, N.; Terasa, M.-I.; Lupan, O.; Vahl, A.; Duppel, V.; Qiu, H.; Tienken, M.; Mirabelli, M.; et al. Facile Fabrication of Semiconducting Oxide Nanostructures by Direct Ink Writing of Readily Available Metal Microparticles and Their Application as Low Power Acetone Gas Sensors. Nano Energy 2020, 70, 104420. [Google Scholar] [CrossRef]
- Ren, Y.; Zou, Y.; Liu, Y.; Zhou, X.; Ma, J.; Zhao, D.; Wei, G.; Ai, Y.; Xi, S.; Deng, Y. Synthesis of Orthogonally Assembled 3D Cross-Stacked Metal Oxide Semiconducting Nanowires. Nat. Mater. 2020, 19, 203–211. [Google Scholar] [CrossRef]
- Zhang, D.; Wu, Z.; Zong, X. Metal-Organic Frameworks-Derived Zinc Oxide Nanopolyhedra/S, N: Graphene Quantum Dots/Polyaniline Ternary Nanohybrid for High-Performance Acetone Sensing. Sens. Actuators B Chem. 2019, 288, 232–242. [Google Scholar] [CrossRef]
- Siebert, L.; Lupan, O.; Mirabelli, M.; Ababii, N.; Terasa, M.-I.; Kaps, S.; Cretu, V.; Vahl, A.; Faupel, F.; Adelung, R. 3D-Printed Chemiresistive Sensor Array on Nanowire CuO/Cu2O/Cu Heterojunction Nets. ACS Appl. Mater. Interfaces 2019, 11, 25508–25515. [Google Scholar] [CrossRef]
- Han, D.; Zhao, M. Facile and Simple Synthesis of Novel Iron Oxide Foam and Used as Acetone Gas Sensor with Sub-Ppm Level. J. Alloys Compd. 2020, 815, 152406. [Google Scholar] [CrossRef]







Publisher’s Note: MDPI stays neutral with regard to jurisdictional claims in published maps and institutional affiliations. |
© 2022 by the authors. Licensee MDPI, Basel, Switzerland. This article is an open access article distributed under the terms and conditions of the Creative Commons Attribution (CC BY) license (https://creativecommons.org/licenses/by/4.0/).
Share and Cite
Morganti, D.; Faro, M.J.L.; Leonardi, A.A.; Fazio, B.; Conoci, S.; Irrera, A. Luminescent Silicon Nanowires as Novel Sensor for Environmental Air Quality Control. Sensors 2022, 22, 8755. https://doi.org/10.3390/s22228755
Morganti D, Faro MJL, Leonardi AA, Fazio B, Conoci S, Irrera A. Luminescent Silicon Nanowires as Novel Sensor for Environmental Air Quality Control. Sensors. 2022; 22(22):8755. https://doi.org/10.3390/s22228755
Chicago/Turabian StyleMorganti, Dario, Maria José Lo Faro, Antonio Alessio Leonardi, Barbara Fazio, Sabrina Conoci, and Alessia Irrera. 2022. "Luminescent Silicon Nanowires as Novel Sensor for Environmental Air Quality Control" Sensors 22, no. 22: 8755. https://doi.org/10.3390/s22228755
APA StyleMorganti, D., Faro, M. J. L., Leonardi, A. A., Fazio, B., Conoci, S., & Irrera, A. (2022). Luminescent Silicon Nanowires as Novel Sensor for Environmental Air Quality Control. Sensors, 22(22), 8755. https://doi.org/10.3390/s22228755

