Analysis of the Refined Mean-Field Approximation for the 802.11 Protocol Model
Abstract
1. Introduction
1.1. Motivation
1.2. Contributions
1.3. Organization
2. Related Work
3. The Refined Mean-Field Approximation
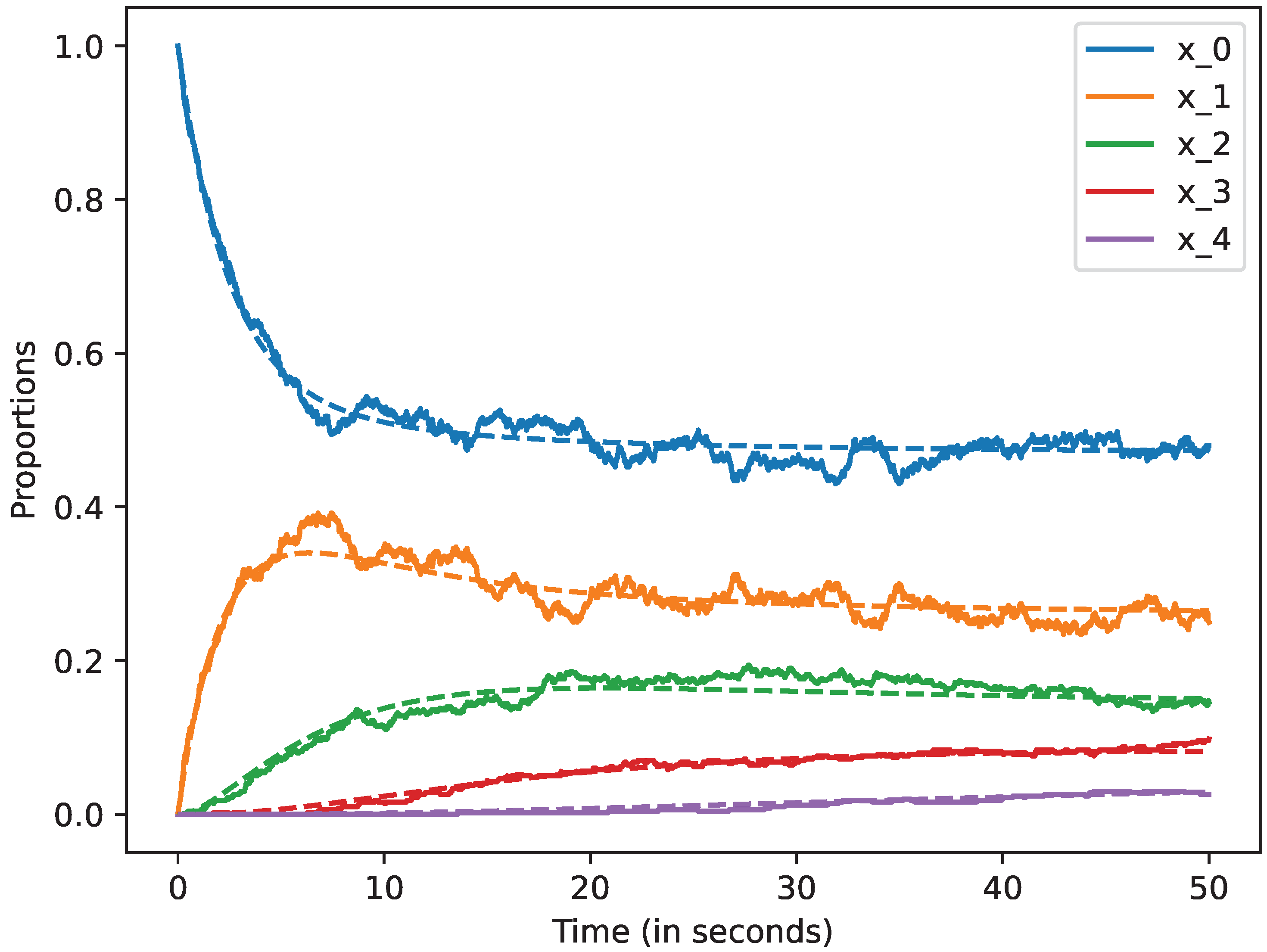
4. The 802.11 Protocol Model
4.1. Model Description
4.2. Mean-Field Approximation
4.3. Refined Mean-Field Approximation
- for state 0,
- for state 1,
- for state 2,
- for state 3,
- for state 4,
4.4. Accuracy vs. Complexity
- for state 0,
- for state 1,
- for state 2,
- for state 3,
- for state 4,
- for state 5,
- for state 6,
- for state 7,
- for state 8,
- for state 9,
- for state 10,
- for state 11,
- for state 12,
- for state 13,
- for state 14,
5. Conclusions
Author Contributions
Funding
Institutional Review Board Statement
Informed Consent Statement
Data Availability Statement
Acknowledgments
Conflicts of Interest
References
- Puterman, M.L. Markov Decision Processes: Discrete Stochastic Dynamic Programming; John Wiley & Sons, Inc.: Hoboken, NJ, USA, 1994. [Google Scholar]
- Brémaud, P. Markov Chains: Gibbs Fields, Monte Carlo Simulation, and Queues; Springer Science & Business Media: Berlin, Germany, 2013; Volume 31. [Google Scholar]
- Gast, N.; Van Houdt, B. A Refined Mean Field Approximation. Proc. ACM Meas. Anal. Comput. Syst. 2017, 1, 33. [Google Scholar] [CrossRef]
- Cho, J.W.; Le Boudec, J.Y.; Jiang, Y. On the Asymptotic Validity of the Decoupling Assumption for Analyzing 802.11 MAC Protocol. IEEE Trans. Inf. Theory 2012, 58, 6879–6893. [Google Scholar] [CrossRef]
- Benaim, M.; Le Boudec, J.Y. A class of mean field interaction models for computer and communication systems. Perform. Eval. 2008, 65, 823–838. [Google Scholar] [CrossRef]
- Allmeier, S.; Gast, N. Rmf tool—A library to Compute (Refined) Mean Field Approximation(s). ACM SIGMETRICS Perform. Eval. Rev. 2022, 49, 35–40. [Google Scholar] [CrossRef]
- Gast, N.; Gaujal, B. A Mean Field Model of Work Stealing in Large-Scale Systems. ACM SIGMETRICS Perform. Eval. Rev. 2010, 38, 13–24. [Google Scholar] [CrossRef]
- Mitzenmacher, M.D. The Power of Two Choices in Randomized Load Balancing. IEEE Trans. Parallel Distrib. Syst. 2001, 12, 1094–1104. [Google Scholar] [CrossRef]
- Mitzenmacher, M.D. The Power of Two Random Choices in Randomized Load Balancing. Ph.D. Thesis, University of California, Berkley, CA, USA, 1996. [Google Scholar]
- Yang, Y.; Luo, R.; Li, M.; Zhou, M.; Zhang, W.; Wang, J. Mean field multi-agent reinforcement learning. In Proceedings of the International Conference on Machine Learning (PMLR), Stockholm, Sweden, 10–15 July 2018; pp. 5571–5580. [Google Scholar]
- Bacelli, F.; Taillefumier, T. Replica-mean-field limits for intensity-based neural networks. SIAM J. Appl. Dyn. Syst. 2019, 18, 1756–1797. [Google Scholar] [CrossRef]
- Fricker, C.; Gast, N. Incentives and redistribution in homoge- neous bike-sharing systems with stations of finite capacity. Euro J. Transp. Logist. 2016, 5, 261–291. [Google Scholar] [CrossRef]
- Gast, N.; Van Houdt, B. TTL approximations of the cache replace- ment algorithms LRU(m) and h-LRU. Perform. Eval. 2017, 117, 33–57. [Google Scholar] [CrossRef]
- Le Boudec, J.-Y.; McDonald, D.; Mundinger, J. A generic mean field convergence result for systems of interacting objects. In Proceedings of the Fourth International Conference on the Quantitative Evaluation of Systems (QEST 2007), Edinburgh, Scotland, UK, 17–19 September 2007. [Google Scholar]
- Kurtz, T.G. Strong approximation theorems for density dependent Markov chains. Stoch. Process. Their Appl. 1978, 6, 223–240. [Google Scholar] [CrossRef]
- Gast, N.; Gaujal, B.; Le Boudec, J. Mean field for Markov decision processes: From discrete to continuous optimization. IEEE Trans. Autom. Control 2012, 57, 2266–2280. [Google Scholar] [CrossRef]
- Gast, N. Expected Values Estimated via Mean-Field Approximation are 1/N-Accurate. Proc. ACM Meas. Anal. Comput. Syst. 2017, 1, 17. [Google Scholar] [CrossRef]
- Gast, N.; Bortolussi, L.; Tribastone, M. Size expansions of mean field approximation: Transient and steady-state analysis. Perform. Eval. 2019, 129, 60–80. [Google Scholar] [CrossRef]
- Gast, N.; Latella, D.; Massink, M. A refined mean field approximation of synchronous discrete-time population models. Perform. Eval. 2018, 126, 1–21. [Google Scholar] [CrossRef]
- Lasry, J.M.; Lions, P.L. Mean field games. Jpn. J. Math. 2007, 2, 229–260. [Google Scholar] [CrossRef]
- Lasry, J.M.; Lions, P.L. Jeux à champ moyen. i–le cas stationnaire. Comptes Rendus Mathématique 2006, 343, 619–625. [Google Scholar] [CrossRef]
- Gomes, D. Mean field games models: A brief survey. Dyn. Games Appl. 2014, 4, 110–154. [Google Scholar] [CrossRef]
- Guéant, O.; Lasry, J.M.; Lions, P.L. Mean field games and applications. In Paris-Princeton Lectures on Mathematical Finance 2010; Springer: Berlin/Heidelberg, Germany, 2011; pp. 205–266. [Google Scholar]
- Bensoussan, A.; Frehse, J.; Yam, P. Mean Field Games and Mean Field Type Control Theory; Springer: New York, NY, USA, 2013; Volume 101. [Google Scholar]
- Carmona, R.; Delarue, F. Probabilistic analysis of mean-field games. SIAM J. Control. Optim. 2013, 51, 2705–2734. [Google Scholar] [CrossRef]
- Caines, P.; Huang, M.; Malhamé, R.P. Mean Field Games; Springer International Publishing: Cham, Switzerland, 2017. [Google Scholar]
- Doncel, J.; Gast, N.; Gaujal, B. Discrete mean field games: Existence of equilibria and convergence. arXiv 2019, arXiv:1909.01209. [Google Scholar] [CrossRef]
- Carmona, R.; Wang, P. A probabilistic approach to extended finite state mean field games. Math. Oper. Res. 2021, 46, 471–502. [Google Scholar] [CrossRef]
- Gomes, D.A.; Mohr, J.; Souza, R.R. Continuous time finite state mean field games. Appl. Math. Optim. 2013, 68, 99–143. [Google Scholar] [CrossRef]
- Gomes, D.A.; Mohr, J.; Souza, R.R. Discrete time, finite state space mean field games. J. Mathématiques Pures Appliquées 2010, 93, 308–328. [Google Scholar] [CrossRef]







| Sim (N = 5) | 0.4453838 | 0.2774466 | 0.1346177 | 0.0753470 | 0.0344656 |
| Sim (N = 10) | 0.4680003 | 0.2704071 | 0.1522602 | 0.0667931 | 0.0255959 |
| Sim (N = 20) | 0.4703394 | 0.2569733 | 0.1484465 | 0.0731954 | 0.0410477 |
| mf | 0.4698643 | 0.2607008 | 0.1446480 | 0.0802569 | 0.0445300 |
| Rmf (N = 5) | 0.4653996 | 0.2744316 | 0.1469139 | 0.0754686 | 0.0377863 |
| Rmf (N = 10) | 0.4672855 | 0.2676632 | 0.1458856 | 0.0779468 | 0.0412189 |
| Rmf (N = 20) | 0.4687482 | 0.2641335 | 0.1452145 | 0.0790598 | 0.0428440 |
| Sim (N = 5) | 0.3544870 | 0.2331678 | 0.1355447 | 0.0603250 | 0.0447286 |
| Sim (N = 10) | 0.3797964 | 0.2525756 | 0.1514744 | 0.0833863 | 0.0451816 |
| Sim (N = 20) | 0.3876362 | 0.2416717 | 0.1481701 | 0.0845466 | 0.0490803 |
| mf | 0.3861529 | 0.2374208 | 0.1459751 | 0.0897510 | 0.0551827 |
| Rmf (N = 5) | 0.3835102 | 0.2565318 | 0.1549694 | 0.0902781 | 0.0417492 |
| Rmf (N = 10) | 0.3797964 | 0.2525756 | 0.1514744 | 0.0833863 | 0.0451816 |
| Rmf (N = 20) | 0.3812561 | 0.2462875 | 0.15092110 | 0.0908213 | 0.0512771 |
| Sim (N = 5) | 0.0286355 | 0.0260564 | 0.0168371 | 0.0493625 | 0.0192964 |
| Sim (N = 10) | 0.0382880 | 0.0100355 | 0.0058542 | 0.0005560 | 0.0017155 |
| Sim (N = 20) | 0.0306790 | 0.0192795 | 0.0067368 | 0.0008361 | 0.0238537 |
| mf | 0.0339290 | 0.0208619 | 0.0128282 | 0.0078896 | 0.0048545 |
| Rmf (N = 5) | 0.0293418 | 0.0164655 | 0.0091352 | 0.0050014 | 0.0026952 |
| Rmf (N = 10) | 0.0323172 | 0.0191875 | 0.0113629 | 0.0067129 | 0.0039576 |
| Rmf (N = 20) | 0.0327822 | 0.0197628 | 0.0119050 | 0.0071675 | 0.0043147 |
| Sim (N = 5) | 0.0010142 | 0.0006991 | 0.0000025 | 0.0000007 | 0.0000001 |
| Sim (N = 10) | 0.0019843 | 0.0010403 | 0.0000352 | 0.0000012 | 0.0000001 |
| Sim (N = 20) | 0.0022454 | 0.0012491 | 0.0001233 | 0.0000126 | 0.0000009 |
| mf | 0.0029755 | 0.0016016 | 0.0005050 | 0.0000684 | 0.0000037 |
| Rmf (N = 5) | 0.0014102 | 0.0004926 | 0.0000630 | 0.0000046 | 0.0000003 |
| Rmf (N = 10) | 0.0023148 | 0.0011025 | 0.0000134 | 0.0000099 | 0.0000007 |
| Rmf (N = 20) | 0.0025841 | 0.0013244 | 0.0003130 | 0.0000160 | 0.0000011 |
Publisher’s Note: MDPI stays neutral with regard to jurisdictional claims in published maps and institutional affiliations. |
© 2022 by the authors. Licensee MDPI, Basel, Switzerland. This article is an open access article distributed under the terms and conditions of the Creative Commons Attribution (CC BY) license (https://creativecommons.org/licenses/by/4.0/).
Share and Cite
Ispizua, B.; Doncel, J. Analysis of the Refined Mean-Field Approximation for the 802.11 Protocol Model. Sensors 2022, 22, 8754. https://doi.org/10.3390/s22228754
Ispizua B, Doncel J. Analysis of the Refined Mean-Field Approximation for the 802.11 Protocol Model. Sensors. 2022; 22(22):8754. https://doi.org/10.3390/s22228754
Chicago/Turabian StyleIspizua, Begoña, and Josu Doncel. 2022. "Analysis of the Refined Mean-Field Approximation for the 802.11 Protocol Model" Sensors 22, no. 22: 8754. https://doi.org/10.3390/s22228754
APA StyleIspizua, B., & Doncel, J. (2022). Analysis of the Refined Mean-Field Approximation for the 802.11 Protocol Model. Sensors, 22(22), 8754. https://doi.org/10.3390/s22228754

