A Novel Localization System in SAR-Demining Applications Using Invariant Radar Channel Fingerprints
Abstract
1. Introduction
2. System Concept
2.1. Localization Principle
2.2. System Set-Up and Requirements
2.3. Fingerprint Extraction and Target Classification
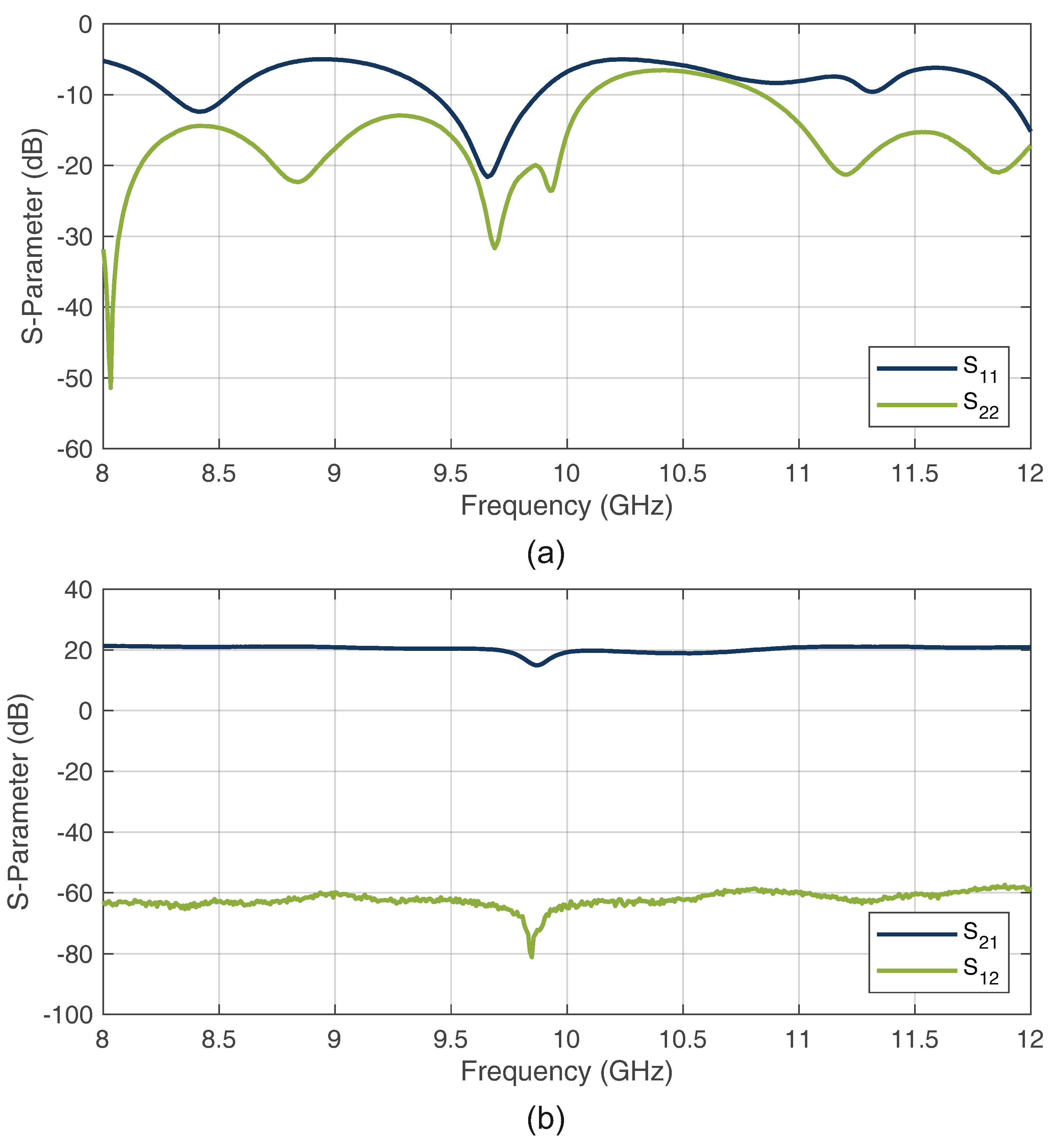
3. Hardware Design and Measurement
3.1. Bandstop Filter
3.2. Antennas
3.3. Power Amplifier
4. System Validation
4.1. Classification Accuracy
4.2. Measurement Accuracy
5. Discussion
6. Conclusions and Future Work
Author Contributions
Funding
Institutional Review Board Statement
Informed Consent Statement
Data Availability Statement
Acknowledgments
Conflicts of Interest
Abbreviations
| RADAR | Radio Detection and Ranging |
| FMCW | Frequency-Modulated Continuous-Wave |
| RF | Radio Frequency |
| IED | Improvised Explosive Devices |
| GPR | Ground-Penetrating Radar |
| SAR | Synthetic Aperture Radar |
| GPS | Global Positioning System |
| RSS | Received Signal Strength |
| CIR | Channel Impulse Response |
| CTF | Channel Transfer Function |
| FCF | Frequency Coherence Function |
| HH | Handheld |
| WS | Wireless Station |
| LOS | Line-of-Sight |
| PA | Power Amplifier |
| STFT | Short-Term Fourier Transformation |
| LNA | Low-Noise Amplifier |
| S-Parameter | Scattering Parameter |
| E-Field | Electrical Field |
| H-Field | Magnetic Field |
| FWHM | Full Width at Half Maximum |
| Meas | Measurement |
References
- Marsh, L.A.; van Verre, W.; Davidson, J.L.; Gao, X.; Podd, F.J.W.; Daniels, D.J.; Peyton, A.J. Combining Electromagnetic Spectroscopy and Ground-Penetrating Radar for the Detection of Anti-Personnel Landmines. Sensors 2019, 19, 3390. [Google Scholar] [CrossRef] [PubMed]
- Baer, C.; Barowski, J.; Rolfes, I. On the usability of low-cost inertial navigation systems for free-hand SAR imaging at GPR-frequencies. In Proceedings of the 2017 IEEE Sensors Applications Symposium (SAS), Glassboro, NJ, USA, 15–17 March 2017; pp. 1–5. [Google Scholar] [CrossRef]
- Schorlemer, J.; Jebramcik, J.; Rolfes, I.; Barowski, J. Comparison of Short-Range SAR Imaging Algorithms for the Detection of Landmines using Numerical Simulations. In Proceedings of the 2021 18th European Radar Conference (EuRAD), London, UK, 16–18 February 2022; pp. 393–396. [Google Scholar] [CrossRef]
- Jebramcik, J.; Barowski, J.; Pohle, D.; Baer, C.; Rolfes, I. A simulation concept based on the FDFD method for ground penetrating radar used in humanitarian demining. In Proceedings of the 2017 European Radar Conference (EURAD), Nuremberg, Germany, 11–13 October 2017; pp. 37–40. [Google Scholar] [CrossRef]
- Baer, C.; Gutierrez, S.; Jebramcik, J.; Barowski, J.; Vega, F.; Rolfes, I. Ground penetrating synthetic aperture radar imaging providing soil permittivity estimation. In Proceedings of the 2017 IEEE MTT-S International Microwave Symposium (IMS), Honolulu, HI, USA, 4–9 June 2017; pp. 1367–1370. [Google Scholar] [CrossRef]
- Zong, L.; Xu, C.; Yuan, H. A RF Fingerprint Recognition Method Based on Deeply Convolutional Neural Network. In Proceedings of the 2020 IEEE 5th Information Technology and Mechatronics Engineering Conference (ITOEC), Chongqing, China, 12–14 June 2020; pp. 1778–1781. [Google Scholar] [CrossRef]
- Zhou, C.; Liu, J.; Sheng, M.; Zheng, Y.; Li, J. Exploiting Fingerprint Correlation for Fingerprint-Based Indoor Localization: A Deep Learning Based Approach. IEEE Trans. Veh. Technol. 2021, 70, 5762–5774. [Google Scholar] [CrossRef]
- Subakti, H.; Liang, H.-S.; Jiang, J.-R. Indoor Localization with Fingerprint Feature Extraction. In Proceedings of the 2020 IEEE Eurasia Conference on IOT, Communication and Engineering (ECICE), Yunlin, Taiwan, 23–25 October 2020; pp. 239–242. [Google Scholar] [CrossRef]
- Long, K.; Zheng, C.; Zhang, K.; Tian, C.; Shen, C. The Adaptive Fingerprint Localization in Dynamic Environment. IEEE Sens. J. 2022, 22, 13562–13580. [Google Scholar] [CrossRef]
- Alraih, S.; Alhammadi, A.; Shayea, I.; Al-Samman, A.M. Improving accuracy in indoor localization system using fingerprinting technique. In Proceedings of the 2017 International Conference on Information and Communication Technology Convergence (ICTC), Jeju Island, Korea, 18–20 October 2017; pp. 274–277. [Google Scholar] [CrossRef]
- Fernández, R.; Montes, H.; Armada, M. Intelligent Multisensor Prodder for Training Operators in Humanitarian Demining. Sensors 2016, 16, 965. [Google Scholar] [CrossRef] [PubMed]
- Nerguizian, C.; Despins, C.; Affes, S. Geolocation in mines with an impulse response fingerprinting technique and neural networks. In Proceedings of the IEEE 60th Vehicular Technology Conference, 2004, VTC2004-Fall, Los Angeles, CA, USA, 26–29 September 2004; Volume 5, pp. 3589–3594. [Google Scholar] [CrossRef]
- Dubendorfer, C.K.; Ramsey, B.W.; Temple, M.A. An RF-DNA verification process for ZigBee networks. In Proceedings of the MILCOM 2012—2012 IEEE Military Communications Conference, Orlando, FL, USA, 28–31 October 2012; pp. 1–6. [Google Scholar] [CrossRef]
- Wang, C.; Lin, Y.; Zhang, Z. Research on Physical Layer Security of Cognitive Radio Network Based on RF-DNA. In Proceedings of the 2017 IEEE International Conference on Software Quality, Reliability and Security Companion (QRS-C), Prague, Czech Republic, 25–29 July 2017; pp. 252–255. [Google Scholar] [CrossRef]
- Bahl, P.; Padmanabhan, V.N. RADAR: An in-building RF-based user location and tracking system. In Proceedings of the IEEE INFOCOM 2000, Conference on Computer Communications. Nineteenth Annual Joint Conference of the IEEE Computer and Communications Societies (Cat. No.00CH37064), Tel Aviv, Israel, 26–30 March 2000; Volume 2, pp. 775–784. [Google Scholar] [CrossRef]
- Roos, T.; Myllymäki, P.; Tirri, H.; Misikangas, P.; Sievänen, J. A Probabilistic Approach to WLAN User Location Estimation. Int. J. Wirel. Inf. Netw. 2002, 9, 155–164. [Google Scholar] [CrossRef]
- Lin, T.-N.; Lin, P.C. Performance comparison of indoor positioning techniques based on location fingerprinting in wireless networks. In Proceedings of the 2005 International Conference on Wireless Networks, Communications and Mobile Computing, Maui, HI, USA, 13–16 June 2005; Volume 2, pp. 1569–1574. [Google Scholar] [CrossRef]
- Honkavirta, V.; Perala, T.; Ali-Loytty, S.; Piche, R. A comparative survey of WLAN location fingerprinting methods. In Proceedings of the 2009 6th Workshop on Positioning, Navigation and Communication, Hannover, Germany, 19 March 2009; pp. 243–251. [Google Scholar] [CrossRef]
- Jin, Y.; Soh, W.-S.; Wong, W.-C. Indoor localization with channel impulse response based fingerprint and nonparametric regression. IEEE Trans. Wirel. Commun. 2010, 9, 1120–1127. [Google Scholar] [CrossRef]
- Khanbashi, N.A.; Alsindi, N.; Al-Araji, S.; Ali, N.; Aweya, J. Performance evaluation of CIR based location fingerprinting. In Proceedings of the 2012 IEEE 23rd International Symposium on Personal, Indoor and Mobile Radio Communications—(PIMRC), Sydney, Australia, 9–12 September 2012; pp. 2466–2471. [Google Scholar] [CrossRef]
- Malik, W.Q.; Allen, B. Wireless sensor positioning with ultrawideband fingerprinting. In Proceedings of the 2006 First European Conference on Antennas and Propagation, Nice, France, 6–10 November 2006; pp. 1–5. [Google Scholar] [CrossRef]
- Bevan, D.; Averin, I.; Lysyakov, D. Nortel Networks Limited (2010), RF Fingerprinting for Location Estimation. U.S. Patent Applications US 2010/0311436A1, 9 December 2010. [Google Scholar]
- Al Khanbashi, N.; Al Sindi, N.; Al-Araji, S.; Ali, N.; Chaloupka, Z.; Yenamandra, V.; Aweya, J. Real time evaluation of RF fingerprints in wireless LAN localization systems. In Proceedings of the 2013 10th Workshop on Positioning, Navigation and Communication (WPNC), Dresden, Germany, 20–21 March 2013; pp. 1–6. [Google Scholar] [CrossRef]
- Deng, S.; Huang, Z.; Wang, X. A novel specific emitter identification method based on radio frequency fingerprints. In Proceedings of the 2017 2nd IEEE International Conference on Computational Intelligence and Applications (ICCIA), Beijing, China, 8–11 September 2017; pp. 368–371. [Google Scholar] [CrossRef]
- Karsch, N.; Baer, C.; Musch, T. Cognitive FMCW-Radar Concept for Ultrafast Spatial Mapping using Frequency Coded Channels. In Proceedings of the 2021 18th European Radar Conference (EuRAD), London, UK, 16–18 February 2022; pp. 333–336. [Google Scholar] [CrossRef]
- Baer, C.; Karsch, N.; Kaesbach, R.; Musch, T. Enhancing the Radar Cross-Range Resolution in Ultra-Fast Radar Scans by Utilizing Frequency Coded Sub-Channels. Sensors 2022, 22, 3343. [Google Scholar] [CrossRef] [PubMed]
- Nuruzzaman, A.; Boyraz, O.; Jalali, B. Time-stretched short-time Fourier transform. IEEE Trans. Instrum. Meas. 2006, 55, 598–602. [Google Scholar] [CrossRef]
- Guyette, A.C.; Hunter, I.C.; Pollard, R.D.; Jachowski, D.R. Perfectly-matched bandstop filters using lossy resonators. In Proceedings of the IEEE MTT-S International Microwave Symposium Digest, Long Beach, CA, USA, 17 June 2005; pp. 517–520. [Google Scholar] [CrossRef]
- Jachowski, D.R. Passive enhancement of resonator Q in microwave notch filters. In Proceedings of the 2004 IEEE MTT-S International Microwave Symposium Digest (IEEE Cat. No.04CH37535), Fort Worth, TX, USA, 6–11 June 2004; Volume 3, pp. 1315–1318. [Google Scholar] [CrossRef]
- Selvan, K.T. Accurate Design Method for Pyramidal Horns of Any Desired Gain and Aperture Phase Error. IEEE Antennas Wirel. Propag. Lett. 2008, 7, 31–32. [Google Scholar] [CrossRef]
- Gibson, P.J. The Vivaldi Aerial. In Proceedings of the 1979 9th European Microwave Conference, Brighton, UK, 17–21 September 1979; pp. 101–105. [Google Scholar] [CrossRef]
- Ren, J.; Zuo, M.; Zhang, B.; Du, X.; Chen, Z.; Liu, Y.; Yin, Y.Z. Large Frequency Ratio Vivaldi Antenna System with Low-Frequency Gain Enhancement Utilizing Dual-Function Taper Slot. IEEE Trans. Antennas Propag. 2002, 70, 4854–4859. [Google Scholar] [CrossRef]





















| Parameter | Value |
|---|---|
| Window size | 65 |
| Window overlap | 64 |
| Number of sampling points | |
| Window function | Hanning-Window |
| Range | Value |
|---|---|
Publisher’s Note: MDPI stays neutral with regard to jurisdictional claims in published maps and institutional affiliations. |
© 2022 by the authors. Licensee MDPI, Basel, Switzerland. This article is an open access article distributed under the terms and conditions of the Creative Commons Attribution (CC BY) license (https://creativecommons.org/licenses/by/4.0/).
Share and Cite
Karsch, N.; Schulte, H.; Musch, T.; Baer, C. A Novel Localization System in SAR-Demining Applications Using Invariant Radar Channel Fingerprints. Sensors 2022, 22, 8688. https://doi.org/10.3390/s22228688
Karsch N, Schulte H, Musch T, Baer C. A Novel Localization System in SAR-Demining Applications Using Invariant Radar Channel Fingerprints. Sensors. 2022; 22(22):8688. https://doi.org/10.3390/s22228688
Chicago/Turabian StyleKarsch, Nicholas, Hendrik Schulte, Thomas Musch, and Christoph Baer. 2022. "A Novel Localization System in SAR-Demining Applications Using Invariant Radar Channel Fingerprints" Sensors 22, no. 22: 8688. https://doi.org/10.3390/s22228688
APA StyleKarsch, N., Schulte, H., Musch, T., & Baer, C. (2022). A Novel Localization System in SAR-Demining Applications Using Invariant Radar Channel Fingerprints. Sensors, 22(22), 8688. https://doi.org/10.3390/s22228688

