Phase Stability Control of Optical Fiber Partial Discharge Ultrasonic Sensing System
Abstract
1. Introduction
2. Disturbing Mechanism of Optical Fiber Ultrasonic Sensing System
2.1. Principle of Ultrasonic Sensing Based on Optical Fiber Interferometer
2.2. Disturbing Mechanism of Optical Fiber Ultrasonic Sensing System
3. Analysis of Problems Existing in Anti-Disturbing Methods of Existing System
3.1. Existing Anti-Disturbing Scheme of Optical Fiber Ultrasonic Sensing System
3.2. Analysis of Problems Existing in Anti-Disturbing Methods of Existing System
4. Improved Anti-Disturbing Scheme Based on High Frequency Carrier Phase Demodulation
4.1. Improved Anti-Disturbing Scheme Basd on High Frequency Carrier Phase Demodulation
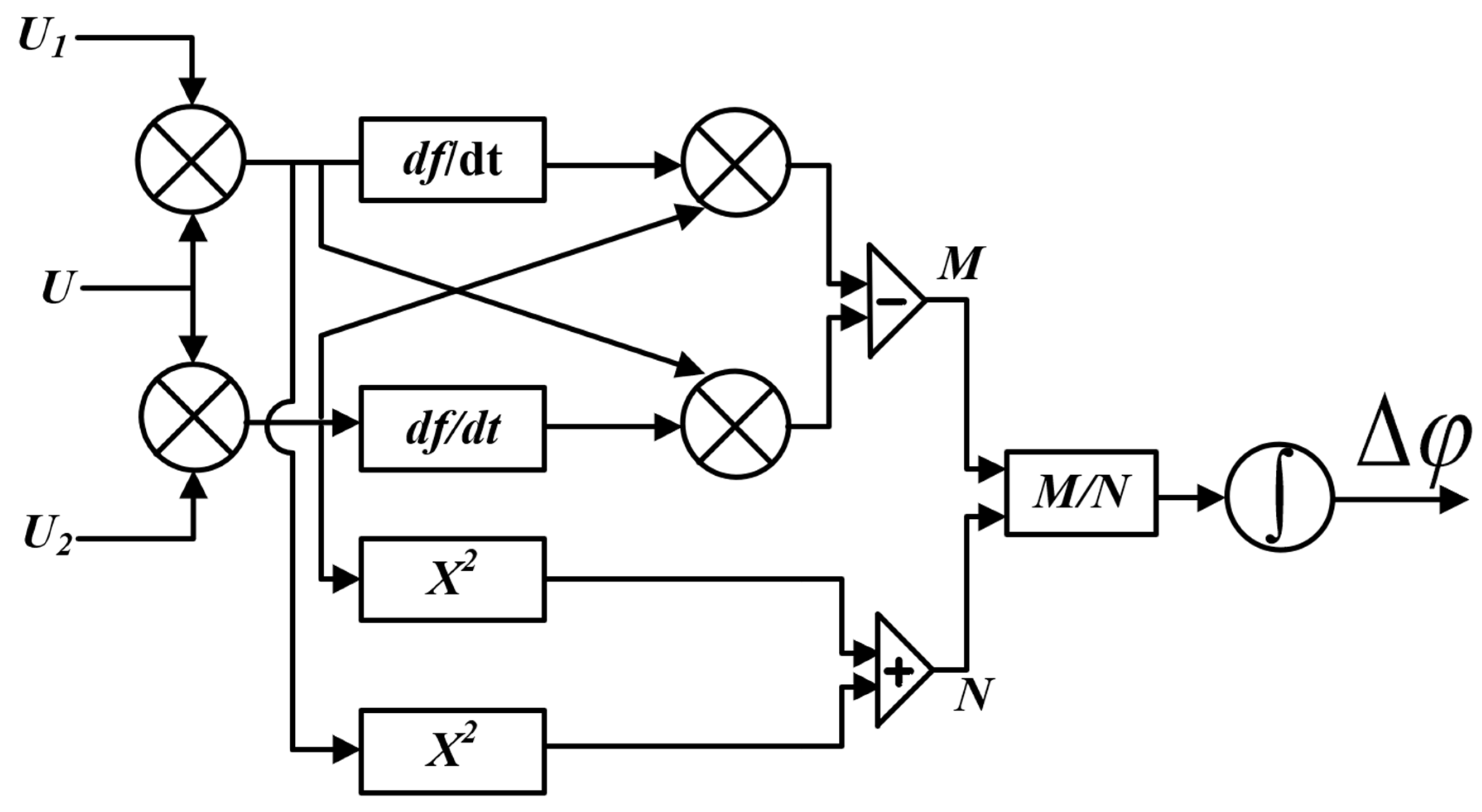
4.2. Phase Stable Demodulation Mechanism
5. Test of Phase Fading Suppression Effect
5.1. Test on the Ultrasonic Calibration Platform
5.2. Test of Partial Discharge in Transformer Oil
6. Conclusions
- (1)
- The influence mechanism of environmental noise on the sensitivity of interferometric optical fiber ultrasonic sensing system is revealed and the problems in the existing phase control methods are pointed out. We discovered that the hysteresis characteristics of PZT could lead to the slow shift of the system working point, eventually causing phase fading.
- (2)
- An improved scheme of high frequency carrier phase demodulation based on an AOM is proposed. An acousto-optic modulator is introduced into the reference fiber of the system as a high frequency carrier phase demodulator, and the phase signal is demodulated by a differential cross multiplication algorithm, which effectively suppresses phase fading.
- (3)
- The calibration platform of the ultrasonic sensor is established with reference to the national standard, and calibration experiments were then conducted. Compared with the signal-to-noise ratio at the time of phase fading of the system before the improvement, the signal-to-noise ratio of the improved system is improved by 69 dB.
- (4)
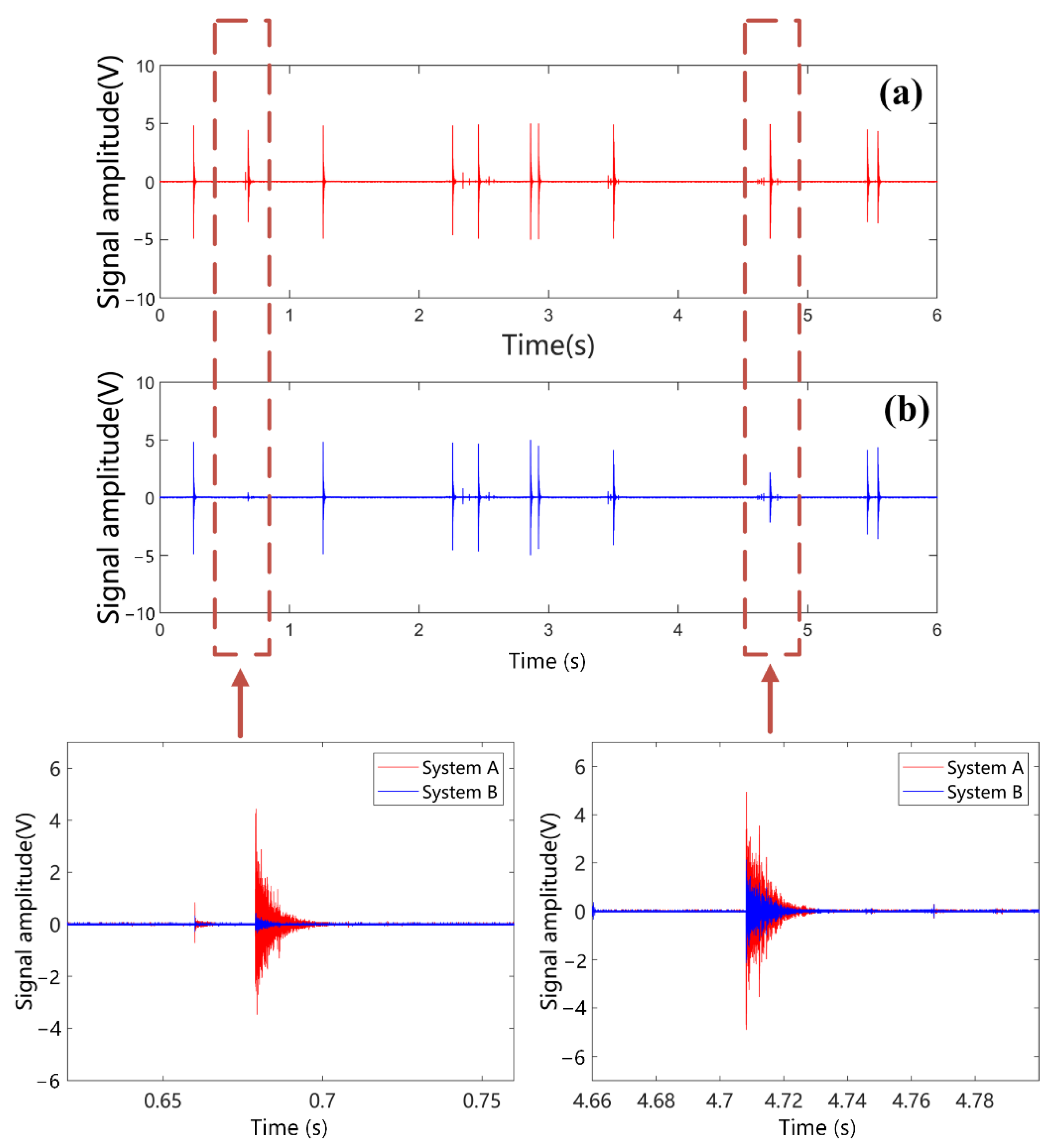
- A test platform for partial discharge detection in transformer oil is built. The measurement results show that the improved system measured more discharge times, while the system based on PZT phase feedback control lost part of the partial discharge signal due to phase fading. The improved system is more suitable for actual engineering measurements.
Author Contributions
Funding
Institutional Review Board Statement
Informed Consent Statement
Data Availability Statement
Conflicts of Interest
References
- Qiao, J.; Zhang, W.; Wang, Y.; Shao, Q.; Cai, J.; Zhao, H. Ultra-High SNR Demodulation Method for Optical Fiber Sensors Applied in Power Transformer Partial Discharge Detection. Sensors 2022, 22, 2828. [Google Scholar] [CrossRef] [PubMed]
- Gao, C.; Yu, L.; Xu, Y.; Wang, W.; Wang, S.; Wang, P. Partial discharge localization inside transformer windings via fiber-optic acoustic sensor array. IEEE Trans. Power Deliv. 2018, 34, 1251–1260. [Google Scholar] [CrossRef]
- Ilkhechi, H.D.; Samimi, M.H. Applications of the acoustic method in partial discharge measurement: A review. IEEE Trans. Dielectr. Electr. Insul. 2021, 28, 42–51. [Google Scholar] [CrossRef]
- Meitei, S.N.; Borah, K.; Chatterjee, S. Partial discharge detection in an oil-filled power transformer using fiber Bragg grating sensors: A review. IEEE Sens. J. 2021, 21, 10304–10316. [Google Scholar] [CrossRef]
- Soman, R.; Wee, J.; Peters, K. Optical fiber sensors for ultrasonic structural health monitoring: A review. Sensors 2021, 1, 7345. [Google Scholar] [CrossRef] [PubMed]
- Zhou, H.Y.; Ma, G.M.; Wang, Y.; Qin, W.Q.; Jiang, J.; Yan, C.; Li, C.R. Optical sensing in condition monitoring of gas insulated apparatus: A review. High Volt. 2019, 4, 259–270. [Google Scholar] [CrossRef]
- Jiang, J.; Song, Y.; Wang, K.; Lu, Y.; Li, J.; Ranjan, P.; Zhang, C. Partial Discharge Detection and Sensitivity Improvement for Bushing Based on Optical Interference Technique. IEEE Trans. Power Deliv. 2021, 37, 2797–2804. [Google Scholar] [CrossRef]
- Ma, G.; Wang, Y.; Qin, W.; Zhou, H.; Yan, C.; Jiang, J.; Ju, Y. Optical sensors for power transformer monitoring: A review. High Volt. 2020, 6, 367–386. [Google Scholar] [CrossRef]
- Rodrigues, A.V.; Monteiro, C.; Silva, S.O.; Linhares, C.; Mendes, H.; Tavares, S.M.; Frazão, O. A Brief Review on Optical Fiber Sensing for the Power Grid. U. Porto J. Eng. 2022, 8, 18–23. [Google Scholar] [CrossRef]
- Zargari, A.; Blackburn, T.R. Application of optical fibre sensor for partial discharge detection in high-voltage power equipment. In Proceedings of the Conference on Electrical Insulation and Dielectric Phenomena-CEIDP’96, Millbrae, CA, USA, 23–23 October 1996; Volume 2, pp. 541–544. [Google Scholar]
- Rohwetter, P.; Habel, W.; Heidmann, G.; Pepper, D. Acoustic emission from DC pre-treeing discharge processes in silicone elastomer. IEEE Trans. Dielectr. Electr. Insul. 2015, 22, 52–64. [Google Scholar] [CrossRef]
- Zhang, T.; Pang, F.; Liu, H.; Cheng, J.; Lv, L.; Zhang, X.; Chen, N.; Wang, T. A fiber-optic sensor for acoustic emission detection in a high voltage cable system. Sensors 2016, 16, 2026. [Google Scholar] [CrossRef] [PubMed]
- Qian, S.; Chen, H.; Xu, Y.; Su, L. High sensitivity detection of partial discharge acoustic emission within power transformer by sagnac fiber optic sensor. IEEE Trans. Dielectr. Electr. Insul. 2016, 25, 2313–2320. [Google Scholar] [CrossRef]
- Zhang, J.-L.; Sheng, X.-Z.; Wu, C.-Q.; Zhang, L.-J. Laser ultrasound detecting experiment with fiber Michelson interferometer. In Proceedings of the 2007 Asia Optical Fiber Communication and Optoelectronics Conference, Shanghai, China, 17–19 October 2007; pp. 629–631. [Google Scholar]
- Galeti, J.H.; Kitano, C.; Connelly, M.J. Improved synthetic-heterodyne Michelson interferometer vibrometer using phase and gain control feedback. Appl. Opt. 2015, 54, 10418–10424. [Google Scholar] [CrossRef] [PubMed]
- Ma, G.-M.; Zhou, H.-Y.; Zhang, M.; Li, C.-R.; Yin, Y.; Wu, Y.-Y. A high sensitivity optical fiber sensor for GIS partial discharge detection. IEEE Sens. J. 2019, 19, 9235–9243. [Google Scholar] [CrossRef]
- Nakano, H.; Matsuda, Y.; Nagai, S. Optical detection of ultrasound with a phase-modulated Michelson interferometer. Rev. Sci. Instrum. 1999, 70, 4275–4278. [Google Scholar] [CrossRef]
- Li, H.; Xu, Y.; Shao, M.; Guo, L.; An, D. Analysis for hysteresis of piezoelectric actuator based on microscopic mechanism. IOP Conf. Ser. Mater. Sci. Eng. 2018, 399, 012031. [Google Scholar] [CrossRef]












Publisher’s Note: MDPI stays neutral with regard to jurisdictional claims in published maps and institutional affiliations. |
© 2022 by the authors. Licensee MDPI, Basel, Switzerland. This article is an open access article distributed under the terms and conditions of the Creative Commons Attribution (CC BY) license (https://creativecommons.org/licenses/by/4.0/).
Share and Cite
Xing, C.; Zang, Q.; He, R.; Zhao, J.; Wang, L.; Dai, L.; Shi, R.; Wang, S.; Ma, G. Phase Stability Control of Optical Fiber Partial Discharge Ultrasonic Sensing System. Sensors 2022, 22, 8495. https://doi.org/10.3390/s22218495
Xing C, Zang Q, He R, Zhao J, Wang L, Dai L, Shi R, Wang S, Ma G. Phase Stability Control of Optical Fiber Partial Discharge Ultrasonic Sensing System. Sensors. 2022; 22(21):8495. https://doi.org/10.3390/s22218495
Chicago/Turabian StyleXing, Chao, Qian Zang, Ruidong He, Jun Zhao, Lili Wang, Lujian Dai, Rongbin Shi, Sihan Wang, and Guoming Ma. 2022. "Phase Stability Control of Optical Fiber Partial Discharge Ultrasonic Sensing System" Sensors 22, no. 21: 8495. https://doi.org/10.3390/s22218495
APA StyleXing, C., Zang, Q., He, R., Zhao, J., Wang, L., Dai, L., Shi, R., Wang, S., & Ma, G. (2022). Phase Stability Control of Optical Fiber Partial Discharge Ultrasonic Sensing System. Sensors, 22(21), 8495. https://doi.org/10.3390/s22218495

