Machine Learning and Swarm Optimization Algorithm in Temperature Compensation of Pressure Sensors
Abstract
1. Introduction
2. Methods
2.1. Performance Parameters
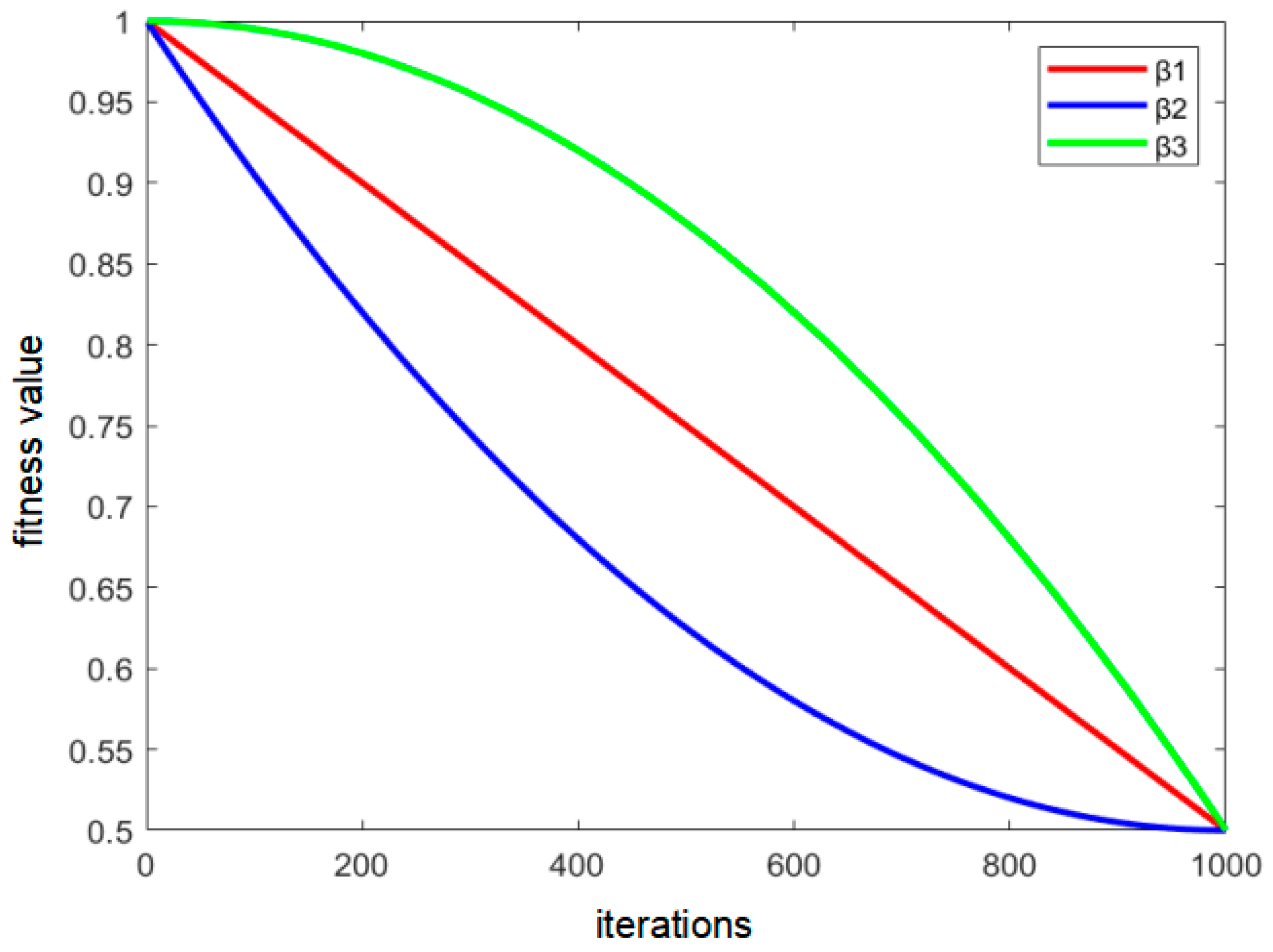
2.2. Differential Evolution Algorithm
2.3. Quantum Particle Swarm Optimization Algorithm
2.4. Fruit Fly Optimization Algorithm
2.5. Dataset Segmentation
3. Experiments
3.1. Instruments and Equipment
3.2. Data Calibration Scheme
- (1)
- The temperature test chamber was opened and left to stand for 2–3 min to allow its temperature to reach room temperature.
- (2)
- The initial temperature (−20 °C) and the initial input pressure (vacuum) were set. The output data were read after the temperature test chamber reached the set temperature. The given pressure change step according to the measuring range of the pressure sensors considered the algorithm complexity and the minimum change interval of the pressure gun. Data calibration was carried out after the pressure was changed and stabilized.
- (3)
- The operation in step (2) was repeated to carry out data calibration until the temperature rose to 100 °C and reduced to −20 °C.
- (4)
- To evaluate the effectiveness of the temperature compensation, each sensor was calibrated three times with the same conditions, and its repeatability was tested.
- (5)
- The output experimental calibration data were collated. For a specific sensor, the average output value of the same temperature in the process of heating and cooling was calculated as the output voltage at that temperature.
3.3. Data Calibration Results
3.4. Construction of Temperature Compensation Model
4. Selection and Optimization of Algorithm Parameters
4.1. Optimization of Parameters in DE
4.2. Selection of Parameters in QPSO
4.3. Optimization of Parameters in FOA
5. Results and Discussion
5.1. Temperature Compensation Results Based on Calibration Data
5.2. Temperature Compensation Results Based on Data Set Segmentation
6. Conclusions and Future Work
6.1. Conclusions
6.2. Future Work
Author Contributions
Funding
Institutional Review Board Statement
Informed Consent Statement
Data Availability Statement
Conflicts of Interest
References
- Pak, M.; Fernandez, F.V.; Dundar, G. A Novel Design Methodology for the Mixed-domain Optimization of a MEMS Accelerometer. Integr. VSLI J. 2018, 6, 314–321. [Google Scholar] [CrossRef]
- Mukhopadhyay, S.C. Wearable Sensors for Human Activity Monitoring: A Review. IEEE Sens. J. 2014, 15, 1321–1330. [Google Scholar] [CrossRef]
- Barzegar, M.; Blanks, S.; Timms, W. MEMS Technology and Applications in Geotechnical Monitoring: A Review. Meas. Sci. Technol. 2022, 33, 2–8. [Google Scholar] [CrossRef]
- Hommel, M.; Knab, H.; Yousef, S. Reliability of Automotive and Consumer MEMS Sensors: An Overview. Microelectron. Reliab. 2021, 39, 126–128. [Google Scholar] [CrossRef]
- Wang, X.; Guo, S.; Qu, H.; Song, M. Design of a Purely Mechanical Sensor-Controller Integrated System for Walking Assistance on an Ankle-Foot Exoskeleton. Sensors 2019, 19, 3196. [Google Scholar] [CrossRef] [PubMed]
- Xu, N.; Tang, C.; Li, H.; Dai, F.; Ma, K.; Shao, J.; Wu, J. Excavation-Induced Microseismicity: Microseismic Monitoring and Numerical Simulation. J. Zhejiang Univ. Sci. A 2012, 13, 445–460. [Google Scholar] [CrossRef]
- Li, X.; Liu, Q.; Pang, S.; Xu, K.; Tang, H.; Sun, C. High-Temperature Piezoresistive Pressure Sensor Based on Implantation of Oxygen into Silicon Wafer. Sens. Actuators A Phys. 2012, 179, 277–282. [Google Scholar] [CrossRef]
- Huang, X.; Zhang, D. A High Sensitivity and High Linearity Pressure Sensor Based on a Peninsula-Structured Diaphragm for Low-Pressure Ranges. Sens. Actuators A Phys. 2014, 216, 176–189. [Google Scholar] [CrossRef]
- Huang, M.; Zou, X.; Guo, Z. Research Status and Development of High Temperature and High Pressure Sensor. Obs. Control Technol. 2020, 39, 1–5. [Google Scholar] [CrossRef]
- Joseph, R.; Ali, J.; Beth, L.; Nix, A.R. Review: Semiconductor Piezoresistance for Microsystems. Proc. IEEE 2009, 97, 513–552. [Google Scholar] [CrossRef]
- Saoni, B.; Daniel, F.; Jordi, M. Characterization of CMOS-MEMS Resonant Pressure Sensors. IEEE Sens. J. 2017, 17, 6653–6661. [Google Scholar] [CrossRef]
- Anh, V.; Zhang, X.; Zhu, B.; Li, X. The Development of a New Piezoresistive Pressure Sensor for Low Pressures. IEEE Trans. Ind. Electron. 2018, 65, 6487–6496. [Google Scholar] [CrossRef]
- Jeong, T. Modeling of Sensor Behaviour for Improving Sensitivity and Performance. Measurement 2015, 41, 230–236. [Google Scholar] [CrossRef]
- Bruyker, D.; Puers, R. Thermostatic Control for Temperature Compensation of a Silicon Pressure Sensor. Sen. Actuators A Phys. 2000, 82, 120–127. [Google Scholar] [CrossRef]
- Lee, B.N.; Kim, K.N.; Park, H.D. Calibration and Temperature Compensation of Silicon Pressure Sensors Using Ion-implanted Trimming Resistors. Sen. Actuators A Phys. 2012, 72, 148–152. [Google Scholar] [CrossRef]
- Guo, Z.; Lu, C.; Wang, Y.; Qi, S. Design and Experimental Research of a Temperature Compensation System for Silicon-on-Sapphire Pressure Sensors. IEEE Sens. J. 2017, 36, 709–715. [Google Scholar] [CrossRef]
- Xia, D.; Chen, S.; Wang, S. Microgyroscope Temperature Effects and Compensation-control Methods. Sensors 2009, 9, 8349–8376. [Google Scholar] [CrossRef]
- Ding, J.C.; Zhang, J.; Huang, W.Q.; Chen, S. Laser Gyro Temperature Compensation Using Modified RBFNN. Sensors 2014, 14, 18711–18727. [Google Scholar] [CrossRef]
- Aryafar, M.; Hamedi, M.; Ganjeh, M.M. A novel temperature compensated piezoresistive pressure sensor. Meas. J. Int. Meas. Confed. 2015, 63, 25–29. [Google Scholar] [CrossRef]
- Kirkpatrick, S.; Gelatt, C.D., Jr.; Vecchi, M.P. Optimization by simulated annealing. Science 1983, 220, 671–680. [Google Scholar] [CrossRef]
- Suykens, J.A.K.; Vandewalle, J. Least squares support vector machine classifiers. Neural Process. Lett. 1999, 9, 293–300. [Google Scholar] [CrossRef]
- Yao, M.; Xing, L.; Zhao, M. A Temperature Compensation Method of Pressure Sensor Based on Wavelet Neural Network. Sens. Technol. 2005, 7, 13–18. [Google Scholar] [CrossRef]
- Wang, H.; Zeng, Q.H.; Zhang, Z.Y.; Wang, H.F. Research on Temperature Compensation of Multi-Channel Pressure Scanner Based on an Improved Cuckoo Search Optimizing a BP Nueral Network. Micromachines 2022, 13, 1351. [Google Scholar] [CrossRef] [PubMed]
- Javidy, B.; Hatamlou, A.; Mirjalili, S.; Karmakar, R.; Kim, I.M. Ionsmotion Algorithm for Solving Optimization Problems. Appl. Soft Comput. 2015, 32, 72–79. [Google Scholar] [CrossRef]
- Gong, Z.; Chen, K.; Zhou, X.; Wu, R. High-Sensitivity Fabry-Perot Interferometric Acoustic Sensor for Low-Frequency Acoustic Pressure Detections. J. Lightwave Technol. 2017, 35, 5276–5279. [Google Scholar] [CrossRef]
- Pramanik, C.; Islam, T.; Saha, H. Temperature Compensation of Piezoresistive Micro-Machined Porous Silicon Pressure Sensor by ANN. Microelectron. Reliab. 2006, 41, 343–351. [Google Scholar] [CrossRef]
- Stefano, D.; Patrice, R.; Giacomo, L.; Morimoto, A. MEMS Gyroscopes Based on Piezoresistive NEMS Detection of Drive and Sense Motion. J. Microelectromech. Syst. 2017, 26, 1389–1399. [Google Scholar] [CrossRef]
- Kashyap, K.; Pathak, S.; Yadav, N.S. Logistic Map and Exponential Scaling Factor-Based Differential Evolution. Int. J. Swarm Intell. Res. 2022, 13, 1486–1492. [Google Scholar] [CrossRef]
- Khaparde, A.R.; Alassery, F.; Kumar, A.; Alotaibi, Y.; Khalaf, O.I.; Pillai, S.; Alghamdi, S. Differential Evolution Algorithm with Hierarchical Fair Competition Model. Intell. Autom. Soft Comput. 2022, 33, 1045–1062. [Google Scholar] [CrossRef]
- Fernandes, P.; Oliveira, R.; Neto, J. Trajectory Planning of Autonomous Mobile Robots Applying Particle Swarm Optimization Algorithm with Peaks of Diversity. Appl. Soft Comput. 2022, 116, 26–33. [Google Scholar] [CrossRef]
- Fahad, S.; Yang, S.; Khan, S.U.; Khan, S.A.; Khan, R.A. A Hybrid Quantum Particle Swarm Optimization for Multimodal Electromagnetic Design Problems. IEEE Access 2022, 10, 72339–72347. [Google Scholar] [CrossRef]
- Yang, J.; Cai, Y.; Tang, D.; Chen, W.; Hu, L. Memetic Quantum Optimization Algorithm with Levy Flight for High Dimension Function Optimization. Appl. Intell. 2022, 17, 622–635. [Google Scholar] [CrossRef]
- Jiang, F.; Zhang, W.; Peng, Z. Multivariate Adaptive Step Fruit Fly Optimization Algorithm Optimized Generalized Regression Neural Network for Short-Term Power Load Forecasting. Front. Environ. Sci. 2022, 53, 7132–7140. [Google Scholar] [CrossRef]
- Crawford, B.; Soto, R.; Mella, H.D.; Elortegui, C.; Palma, W.; Torres-Rojas, C.; Vasconcellos-Gaete, C.; Becerra, M.; Pena, J.; Misra, S. Binary Fruit Fly Swarm Algorithms for the Set Covering Problem. Comput. Mater. Contin. 2022, 71, 4295–4318. [Google Scholar] [CrossRef]
- Li, Y.; Mu, W.S.; Zhu, X.Q.; Fu, Z.T. K-means Clustering Algorithm Based on Improved Quantum Particle Swarm Optimization and its Application. Control Decis. 2022, 37, 839–850. [Google Scholar] [CrossRef]
- Shu, K.S.F.; Yi, Y.C. A Decreasing Inertia Weight Particle Swarm Optimizer. Eng. Optim. 2007, 39, 203–228. [Google Scholar] [CrossRef]
- Song, Z.; Sun, Y.; Li, H. Optimal Design of Neural Network Based on Differential Evolution Algorithm. Chongqing Norm. Univ. J. 2022, 39, 79–89. [Google Scholar] [CrossRef]
- Wang, H.; Fu, P.; Song, Y. Sensor Temperature Compensation Strategy Based On Firefly Optimization BP Neural Network Method. Mech. Strength 2020, 42, 109–114. [Google Scholar] [CrossRef]
- Wen, C.; Wang, M.; Zhong, C. Research on Temperature Compensation of Silicon Piezoresistive Pressure Sensor Based on DE-SVM. Chin. J. Sens. Actuators 2019, 32, 1493–1498. [Google Scholar] [CrossRef]











| Sensor Model | Measurement Range (kPa) | Full-Scale Output (mV) | Operating Standard Temperature (°C) |
|---|---|---|---|
| Sensor A | 700 | 100 | 20–100 |
| Sensor B | 350 | 90 | |
| Sensor C | 70 | 80 |
| Instruments and Equipment | Model | Manufacturer |
|---|---|---|
| Sensor A | MSPD700-ASO | Memsensing Microsystems |
| Sensor B | CD0302-350KP-A | FATRI Technologies |
| Sensor C | CD0302-70KP-A | |
| Temperature test chamber | Systems att C-Serials | Angelantoni test technologies |
| Air gun | Cascade-DPP210 | FormFactor |
| Experimental platform | Summit-12000 |
| T/°C | UT/V | Up/mV | |||||||
|---|---|---|---|---|---|---|---|---|---|
| 0 kPa | 100 kPa | 200 kPa | 300 kPa | 400 kPa | 500 kPa | 600 kPa | 700 kPa | ||
| −20 | 2.734 | 15.822 | 27.715 | 39.868 | 51.081 | 62.051 | 73.053 | 81.189 | 90.960 |
| 0 | 2.956 | 15.246 | 26.749 | 38.503 | 49.610 | 59.616 | 70.340 | 78.521 | 87.714 |
| 20 | 3.220 | 14.637 | 25.680 | 36.744 | 47.558 | 58.022 | 67.892 | 75.844 | 84.052 |
| 40 | 3.481 | 14.064 | 24.724 | 34.926 | 45.849 | 55.005 | 64.325 | 73.158 | 80.622 |
| 60 | 3.823 | 13.680 | 23.257 | 33.487 | 43.827 | 52.343 | 60.589 | 69.685 | 75.907 |
| 80 | 4.149 | 12.590 | 21.603 | 32.055 | 41.864 | 50.377 | 59.250 | 67.476 | 73.394 |
| 100 | 4.395 | 11.483 | 20.172 | 29.598 | 39.075 | 47.833 | 55.626 | 63.391 | 70.044 |
| Sensor Model | α0 (°C) | αs (°C) |
|---|---|---|
| Sensor A | 4.03 × 10−4 | 1.94 × 10−3 |
| Sensor B | 3.99 × 10−4 | 1.86 × 10−3 |
| Sensor C | 4.04 × 10−4 | 2.41 × 10−3 |
| T/°C | Up/mV | |||||||
|---|---|---|---|---|---|---|---|---|
| 0 kPa | 100 kPa | 200 kPa | 300 kPa | 400 kPa | 500 kPa | 600 kPa | 700 kPa | |
| −20 | 1.465 | 99.973 | 200.912 | 300.615 | 398.072 | 502.706 | 603.431 | 702.121 |
| 0 | 1.483 | 100.304 | 199.249 | 299.709 | 400.595 | 501.871 | 599.338 | 703.448 |
| 20 | 1.436 | 100.677 | 199.217 | 299.273 | 399.152 | 500.443 | 601.308 | 699.152 |
| 40 | 1.490 | 99.430 | 200.131 | 298.936 | 402.421 | 497.791 | 599.965 | 696.895 |
| 60 | 1.503 | 99.710 | 199.769 | 298.625 | 400.735 | 498.668 | 601.787 | 700.421 |
| 80 | 1.466 | 100.073 | 199.075 | 299.995 | 397.886 | 501.974 | 597.239 | 700.791 |
| 100 | 1.458 | 100.809 | 201.039 | 301.254 | 398.380 | 500.813 | 596.922 | 702.024 |
| Sensor Model | Non-Compensation | DE–BP | QPSO–BP | FOA–LSSVM | |
|---|---|---|---|---|---|
| Sensor A | α0/°C | 4.03 × 10−4 | 7.94 × 10−7 | 7.37 × 10−7 | 7.51 × 10−7 |
| αs/°C | 1.94 × 10−3 | 7.76 × 10−5 | 7.92 × 10−5 | 8.07 × 10−5 | |
| Sensor B | α0/°C | 3.99 × 10−4 | 7.35 × 10−7 | 8.06 × 10−7 | 7.29 × 10−7 |
| αs/°C | 1.86 × 10−3 | 7.13 × 10−5 | 8.21 × 10−5 | 7.29 × 10−5 | |
| Sensor C | α0/°C | 4.04 × 10−4 | 5.93 × 10−7 | 8.93 × 10−7 | 8.98 × 10−7 |
| αs/°C | 2.41 × 10−3 | 5.95 × 10−5 | 8.78 × 10−5 | 8.62 × 10−5 |
| Algorithm | α0 (/°C) | αs (/°C) |
|---|---|---|
| Fuzzy neural network [37] | 5.38 × 10−6 | 7.24 × 10−4 |
| GSO–BP [38] | 3.95 × 10−6 | 1.82 × 10−4 |
| DE–SVM [39] DE–BP QPSO–BP FOA–LSSVM | 4.03 × 10−6 | 1.03 × 10−4 |
| 7.94 × 10−7 | 7.76 × 10−5 | |
| 7.37 × 10−7 | 7.92 × 10−5 | |
| 7.51 × 10−7 | 8.07 × 10−5 |
| Segmentation Ratio | α0 (/°C) | αs (/°C) |
|---|---|---|
| 0 | 3.93 × 10−4 | 7.76 × 10−5 |
| 5.60% | 1.05 × 10−4 | 2.74 × 10−5 |
| 11.10% | 8.41 × 10−5 | 8.82 × 10−6 |
| 16.70% | 7.23 × 10−5 | 7.13 × 10−6 |
| 22.20% | 6.44 × 10−5 | 5.28 × 10−6 |
| 27.80% | 5.30 × 10−5 | 4.52 × 10−6 |
| 33.30% | 4.29 × 10−5 | 4.68 × 10−6 |
| 38.90% | 4.86 × 10−5 | 4.97 × 10−6 |
| 44.40% | 5.91 × 10−5 | 5.33 × 10−6 |
| 50.00% | 7.17 × 10−5 | 7.49 × 10−6 |
Publisher’s Note: MDPI stays neutral with regard to jurisdictional claims in published maps and institutional affiliations. |
© 2022 by the authors. Licensee MDPI, Basel, Switzerland. This article is an open access article distributed under the terms and conditions of the Creative Commons Attribution (CC BY) license (https://creativecommons.org/licenses/by/4.0/).
Share and Cite
Wang, H.; Li, J. Machine Learning and Swarm Optimization Algorithm in Temperature Compensation of Pressure Sensors. Sensors 2022, 22, 8309. https://doi.org/10.3390/s22218309
Wang H, Li J. Machine Learning and Swarm Optimization Algorithm in Temperature Compensation of Pressure Sensors. Sensors. 2022; 22(21):8309. https://doi.org/10.3390/s22218309
Chicago/Turabian StyleWang, Hexing, and Jia Li. 2022. "Machine Learning and Swarm Optimization Algorithm in Temperature Compensation of Pressure Sensors" Sensors 22, no. 21: 8309. https://doi.org/10.3390/s22218309
APA StyleWang, H., & Li, J. (2022). Machine Learning and Swarm Optimization Algorithm in Temperature Compensation of Pressure Sensors. Sensors, 22(21), 8309. https://doi.org/10.3390/s22218309
