A Novel Data Augmentation Method for Improving the Accuracy of Insulator Health Diagnosis
Abstract
1. Introduction
2. Related Work
2.1. The Study of Time-Series Augmentation
2.2. DTW Barycenter Average (DBA) for Data Augmentation
- Step1:
- Randomly choose an initial average time series from the sequence set , where M is the number of the sequence in X.
- Step2:
- Align every on and compute the warping paths.
- Step3:
- According to the path, obtain the new coordinates of each and update the initial average sequence by averaging their coordinates.
| Algorithm 1. DTW barycenter average (DBA) |
| Require: an initial average sequence: Require: the sequences set where Let T be the length of the initial average sequence Let M be number of the sequence set X Let be a temporary DTW (distance, path) matrix where and Let be a table of size T with a set of coordinates in each cell corresponding to each coordinate for do for do end for end for for to T do end for return |
| Algorithm 2. WDBA: Weighted _ DBA (, , , ) |
| Input: the set of sequences where Input: : the initial sequence (of length T) Input: W: the weights set of time series , where Input: I: the number of iterations Output: : a table of size I and each cell matches a new data , Let be a length of L for do for do for do {see Algorithm 1} {see Algorithm 1} end for end for for to T do end for ; end for return |
3. Proposed New Method for Data Augmentation
- The initial sequence cannot simply be selected from the dataset.
- Instead of using the previous result as the next initial sequence to conduct the next calculation, the iteration strategy of producing new data should be adjusted.
- The weight values of every sequence should be calculated according to the relative between them and the initial sequence.
3.1. The Initial Time Series and Iteration Strategy
3.2. Adaptive Weighting
| Algorithm 3. Adaptive Weighting _ DBA (, , , ) |
| Input: the set of sequences used to average Input: Input: { see Equation (9)} Input: I: the number of iterations Output: : a table of size I and each cell match a new dataset , Let be a length of L for do for do for do {see Algorithm 1} {see Algorithm 1} end for end for for to T do end for ; {see Equation (6)} end for return |
3.3. Evaluation
4. Other DA Techniques and Machine Learning Algorithms
4.1. Data Augmentation Techniques
4.2. Machine Learning Algorithms
5. Experimental Study
5.1. Data Collection
5.2. Feature Extraction and Selection
5.3. Performance Measure and Training Strategy
5.4. Computational Performance
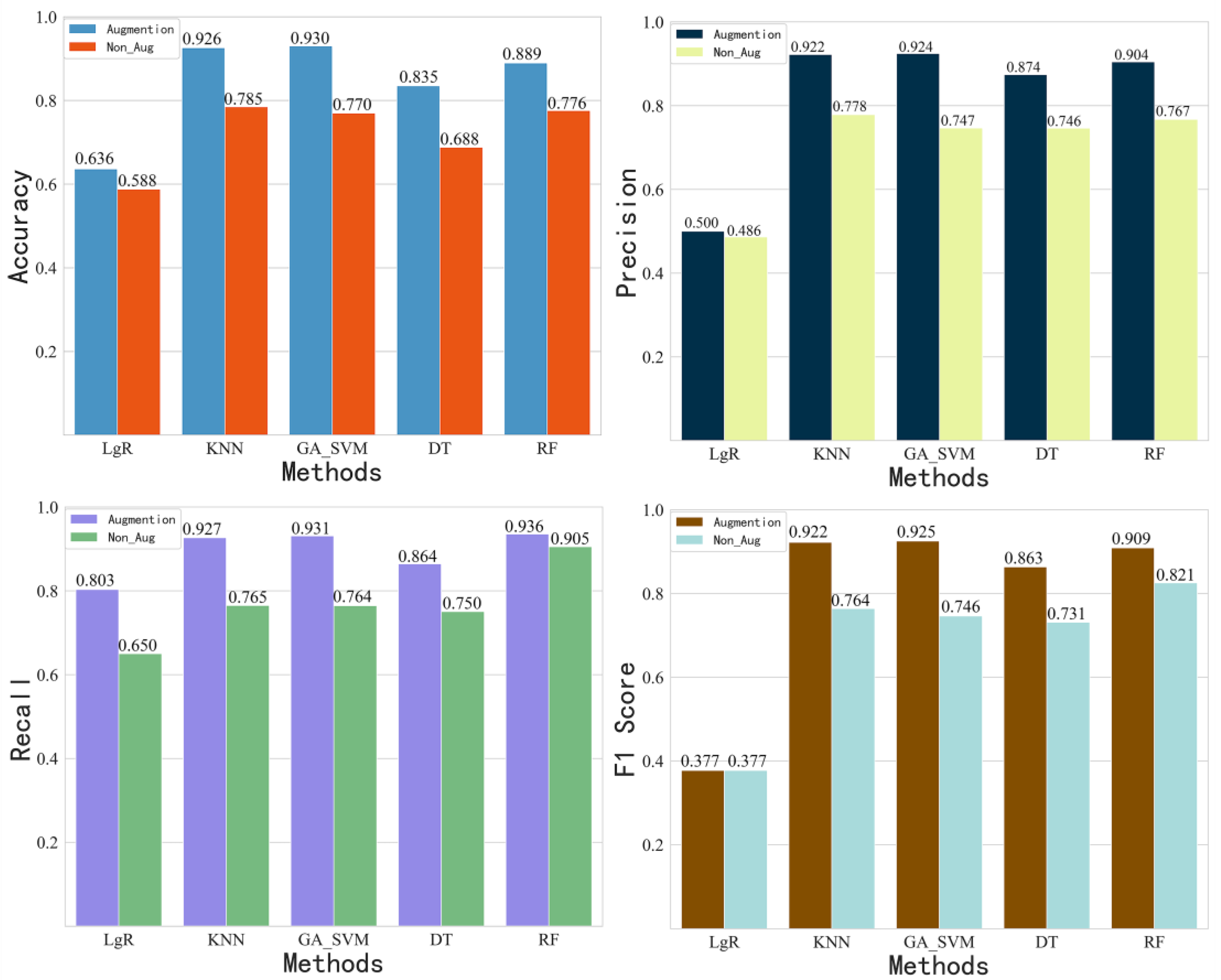
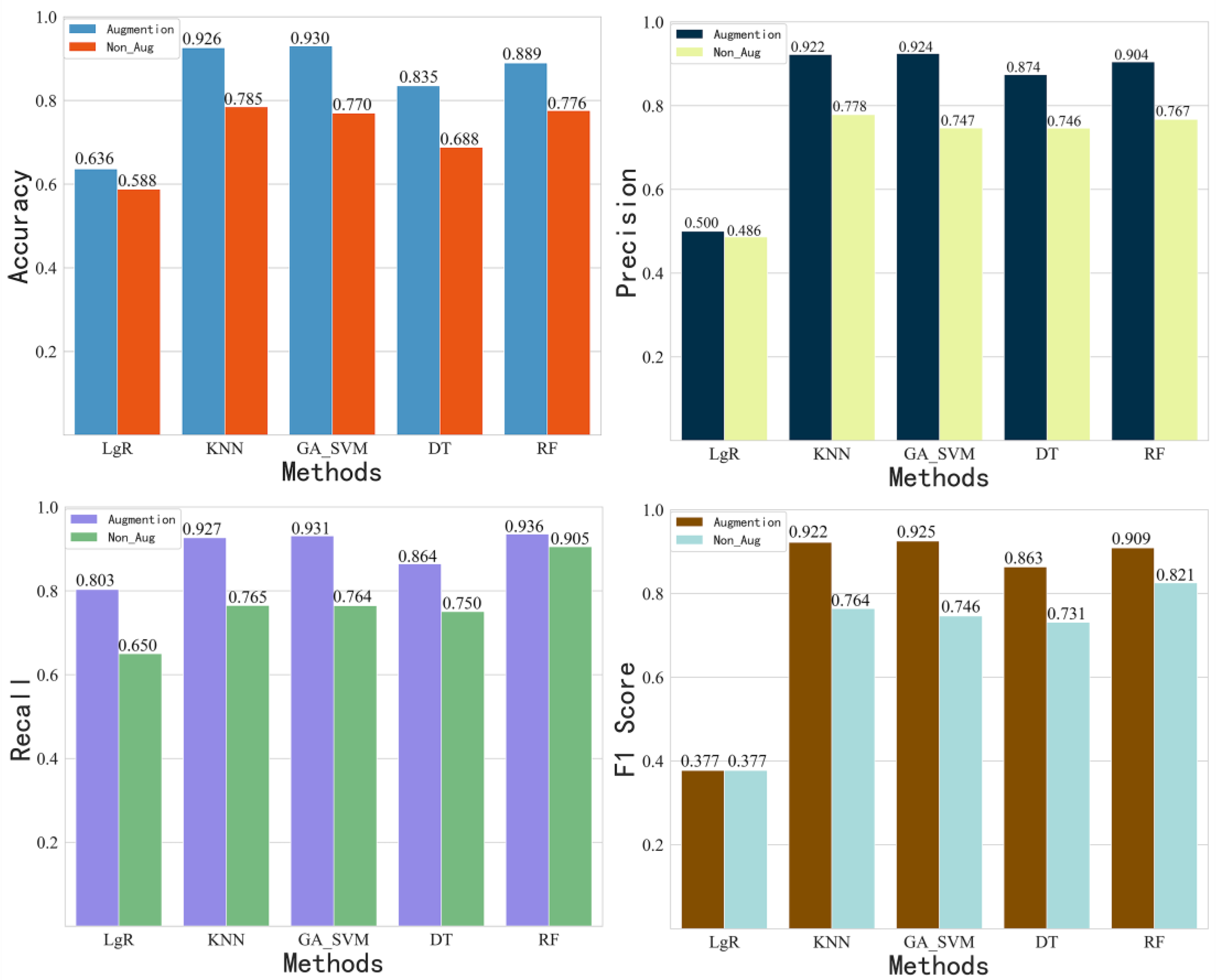
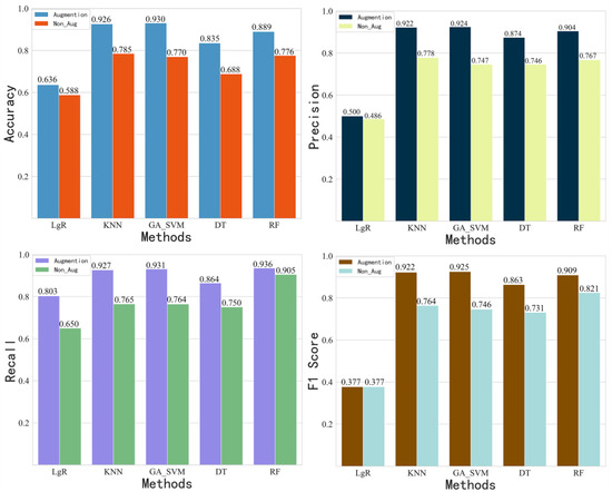
6. Results and Discussion
6.1. Impact of Data Augmentation Type
6.2. Performance of Data Augmentation vs. No Data Augmentation
7. Conclusions and Future Work
Author Contributions
Funding
Institutional Review Board Statement
Informed Consent Statement
Data Availability Statement
Conflicts of Interest
References
- Choi, I.H.; Koo, J.B.; Woo, J.W.; Son, J.A.; Bae, D.Y.; Yoon, Y.G.; Oh, T.K. Damage Evaluation of Porcelain Insulators with 154 KV Transmission Lines by Various Support Vector Machine (SVM) and Ensemble Methods Using Frequency Response Data. Appl. Sci. 2019, 10, 84. [Google Scholar] [CrossRef]
- Zhong, J.; Liu, Z.; Yang, C.; Wang, H.; Gao, S.; Nunez, A. Adversarial Reconstruction Based on Tighter Oriented Localization for Catenary Insulator Defect Detection in High-Speed Railways. IEEE Trans. Intell. Transp. Syst. 2022, 23, 1109–1120. [Google Scholar] [CrossRef]
- Suhaimi, S.M.I.; Muhamad, N.A.; Bashir, N.; Mohd Jamil, M.K.; Abdul Rahman, M.N. Harmonic Components Analysis of Emitted Ultraviolet Signals of Aged Transmission Line Insulators under Different Surface Discharge Intensities. Sensors 2022, 22, 722. [Google Scholar] [CrossRef]
- Boyuan, C.; Ninghua, W.; Chengyu, W.; Zongren, P.; Yun, C.; Peng, C. Quality control for basin insulator used in gas insulated metal enclosed switchgear of Ultra high voltage. High Volt. Eng. 2022, 40, 3888–3894. [Google Scholar]
- Tian, F.; Hao, Y.; Zou, Z.; Zheng, Y.; He, W.; Yang, L.; Li, L. An Ultrasonic Pulse-Echo Method to Detect Internal Defects in Epoxy Composite Insulation. Energies 2019, 12, 4804. [Google Scholar] [CrossRef]
- Li, W.; Zhou, F.; Zheng, Y.; Chu, J.; Gao, C.; Liu, W.; Huang, R. An Ultrasonic Detection Method for Interface Defects of Three Post Insulators in Gas-Insulated Transmission Lines. In Proceedings of the 2020 12th IEEE PES Asia-Pacific Power and Energy Engineering Conference (APPEEC), Nanjing, China, 20–23 September 2020; IEEE: Nanjing, China, 2020; pp. 1–5. [Google Scholar]
- El-Hag, A. Application of Machine Learning in Outdoor Insulators Condition Monitoring and Diagnostics. IEEE Instrum. Meas. Mag. 2021, 24, 101–108. [Google Scholar] [CrossRef]
- Bandara, K.; Hewamalage, H.; Liu, Y.-H.; Kang, Y.; Bergmeir, C. Improving the Accuracy of Global Forecasting Models Using Time Series Data Augmentation. Pattern Recognit. 2021, 120, 108148. [Google Scholar] [CrossRef]
- Liu, S.W.; Huang, J.H.; Sung, J.C.; Lee, C.C. Detection of Cracks Using Neural Networks and Computational Mechanics. Comput. Methods Appl. Mech. Eng. 2002, 191, 2831–2845. [Google Scholar] [CrossRef]
- Um, T.T.; Pfister, F.M.J.; Pichler, D.; Endo, S.; Lang, M.; Hirche, S.; Fietzek, U.; Kulić, D. Data Augmentation of Wearable Sensor Data for Parkinson’s Disease Monitoring Using Convolutional Neural Networks. In Proceedings of the 19th ACM International Conference on Multimodal Interaction, Glasgow, UK, 13—17 November 2017; ACM: Glasgow, UK, 2017; pp. 216–220. [Google Scholar]
- Charalambous, C.C.; Bharath, A.A. A Data Augmentation Methodology for Training Machine/Deep Learning Gait Recognition Algorithms. In Proceedings of the British Machine Vision Conference, York, UK, 19–22 September 2016; pp. 110.1–110.12. [Google Scholar]
- Wang, Z.; Zhou, Z.; Lu, H.; Jiang, J. Global and Local Sensitivity Guided Key Salient Object Re-Augmentation for Video Saliency Detection. Pattern Recognit. 2020, 103, 107275. [Google Scholar] [CrossRef]
- Yaacoubi, S.; El Mountassir, M.; Ferrari, M.; Dahmene, F. Measurement Investigations in Tubular Structures Health Monitoring via Ultrasonic Guided Waves: A Case of Study. Measurement 2019, 147, 106800. [Google Scholar] [CrossRef]
- Iwana, B.K.; Uchida, S. An Empirical Survey of Data Augmentation for Time Series Classification with Neural Networks. PLoS ONE 2021, 16, e0254841. [Google Scholar] [CrossRef] [PubMed]
- Petitjean, F.; Ketterlin, A.; Gançarski, P. A Global Averaging Method for Dynamic Time Warping, with Applications to Clustering. Pattern Recognit. 2011, 44, 678–693. [Google Scholar] [CrossRef]
- Forestier, G.; Petitjean, F.; Dau, H.A.; Webb, G.I.; Keogh, E. Generating Synthetic Time Series to Augment Sparse Datasets. In Proceedings of the 2017 IEEE International Conference on Data Mining (ICDM), New Orleans, LA, USA, 18–21 November 2017; IEEE: New Orleans, LA, USA, 2017; pp. 865–870. [Google Scholar]
- Fawaz, H.I.; Forestier, G.; Weber, J.; Idoumghar, L.; Muller, P.-A. Data Augmentation Using Synthetic Data for Time Series Classification with Deep Residual Networks. arXiv 2018, arXiv:1808.02455. [Google Scholar]
- Morel, M.; Achard, C.; Kulpa, R.; Dubuisson, S. Time-Series Averaging Using Constrained Dynamic Time Warping with Tolerance. Pattern Recognit. 2018, 74, 77–89. [Google Scholar] [CrossRef]
- Okawa, M. Time-Series Averaging and Local Stability-Weighted Dynamic Time Warping for Online Signature Verification. Pattern Recognit. 2021, 112, 107699. [Google Scholar] [CrossRef]
- Kamycki, K.; Kapuscinski, T.; Oszust, M. Data Augmentation with Suboptimal Warping for Time-Series Classification. Sensors 2019, 20, 98. [Google Scholar] [CrossRef]
- Rashid, K.M.; Louis, J. Time-warping: A time series data augmentation of IMU data for construction equipment activity identification. In Proceedings of the 36th International Symposium on Automation and Robotics in Construction (ISARC), Banff, AB, Canda, 21–24 May 2019; pp. 651–657. [Google Scholar]
- Iwana, B.K.; Uchida, S. Time Series Data Augmentation for Neural Networks by Time Warping with a Discriminative Teacher. In Proceedings of the 2020 25th International Conference on Pattern Recognition (ICPR), Milan, Italy, 10–15 January 2021; IEEE: Milan, Italy, 2021; pp. 3558–3565. [Google Scholar]
- Rashid, K.M.; Louis, J. Times-Series Data Augmentation and Deep Learning for Construction Equipment Activity Recognition. Adv. Eng. Inform. 2019, 42, 100944. [Google Scholar] [CrossRef]
- Goodfellow, I.; Pouget-Abadie, J.; Mirza, M.; Xu, B.; Warde-Farley, D.; Ozair, S.; Courville, A.; Bengio, Y. Generative adversarial networks. Commun. ACM 2020, 63, 139–144. [Google Scholar] [CrossRef]
- Lou, H.; Qi, Z.; Li, J. One-Dimensional Data Augmentation Using a Wasserstein Generative Adversarial Network with Supervised Signal. In Proceedings of the 2018 Chinese Control and Decision Conference (CCDC), Shenyang, China, 9–11 June 2018; IEEE: Shenyang, China, 2018; pp. 1896–1901. [Google Scholar]
- Haradal, S.; Hayashi, H.; Uchida, S. Biosignal Data Augmentation Based on Generative Adversarial Networks. In Proceedings of the 2018 40th Annual International Conference of the IEEE Engineering in Medicine and Biology Society (EMBC), Honolulu, HI, USA, 18–21 July 2018; IEEE: Honolulu, HI, USA, 2018; pp. 368–371. [Google Scholar]
- Esteban, C.; Hyland, S.L.; Rätsch, G. Real-Valued (Medical) Time Series Generation with Recurrent Conditional GANs. arXiv 2017, arXiv:1706.02633. [Google Scholar]
- Ramponi, G.; Protopapas, P.; Brambilla, M.; Janssen, R. T-CGAN: Conditional Generative Adversarial Network for Data Augmentation in Noisy Time Series with Irregular Sampling. arXiv 2019, arXiv:1811.08295. [Google Scholar]
- Che, Z.; Cheng, Y.; Zhai, S.; Sun, Z.; Liu, Y. Boosting Deep Learning Risk Prediction with Generative Adversarial Networks for Electronic Health Records. In Proceedings of the 2017 IEEE International Conference on Data Mining (ICDM), New Orleans, LA, USA, 18–21 November 2017; IEEE: New Orleans, LA, USA, 2017; pp. 787–792. [Google Scholar]
- Chen, G.; Zhu, Y.; Hong, Z.; Yang, Z. EmotionalGAN: Generating ECG to Enhance Emotion State Classification. In Proceedings of the 2019 International Conference on Artificial Intelligence and Computer Science, Wuhan, China, 12–13 July 2019; ACM: Glasgow, UK, 2019; pp. 309–313. [Google Scholar]
- Sakoe, H.; Chiba, S. A Dynamic Programming Approach to Continuous Speech Recognition. In Proceedings of the Seventh International Congress on Acoustics, Budapest, Hungary, 18–26 August 1971; Volume 3, pp. 65–69. [Google Scholar]
- Sakoe, H.; Chiba, S. Dynamic Programming Algorithm Optimization for Spoken Word Recognition. IEEE Trans. Acoust. Speech Signal Process 1978, 26, 43–49. [Google Scholar] [CrossRef]
- Aach, J.; Church, G.M. Aligning Gene Expression Time Series with Time Warping Algorithms. Bioinformatics 2001, 17, 495–508. [Google Scholar] [CrossRef] [PubMed]
- Wöllmer, M.; Al-Hames, M.; Eyben, F.; Schuller, B.; Rigoll, G. A Multidimensional Dynamic Time Warping Algorithm for Efficient Multimodal Fusion of Asynchronous Data Streams. Neurocomputing 2009, 73, 366–380. [Google Scholar] [CrossRef]
- Jiang, Y.; Qi, Y.; Wang, W.K.; Bent, B.; Avram, R.; Olgin, J.; Dunn, J. EventDTW: An Improved Dynamic Time Warping Algorithm for Aligning Biomedical Signals of Nonuniform Sampling Frequencies. Sensors 2020, 20, 2700. [Google Scholar] [CrossRef]
- Li, S.; Zuo, X.; Li, Z.; Wang, H.; Sun, L. Combining SDAE Network with Improved DTW Algorithm for Similarity Measure of Ultra-Weak FBG Vibration Responses in Underground Structures. Sensors 2020, 20, 2179. [Google Scholar] [CrossRef] [PubMed]
- Jeong, Y.-S.; Jeong, M.K.; Omitaomu, O.A. Weighted Dynamic Time Warping for Time Series Classification. Pattern Recognit. 2011, 44, 2231–2240. [Google Scholar] [CrossRef]
- Petitjean, F.; Forestier, G.; Webb, G.I.; Nicholson, A.E.; Chen, Y.; Keogh, E. Faster and More Accurate Classification of Time Series by Exploiting a Novel Dynamic Time Warping Averaging Algorithm. Knowl. Inf. Syst. 2016, 47, 1–26. [Google Scholar] [CrossRef]
- Okawa, M. Template Matching Using Time-Series Averaging and DTW With Dependent Warping for Online Signature Verification. IEEE Access 2019, 7, 81010–81019. [Google Scholar] [CrossRef]
- Chandola, V.; Banerjee, A.; Kumar, V. Anomaly detection: A survey. ACM Comput. Surv. (CSUR) 2009, 41, 1–58. [Google Scholar] [CrossRef]
- Utah, M.N.; Jung, J.C. Fault State Detection and Remaining Useful Life Prediction in AC Powered Solenoid Operated Valves Based on Traditional Machine Learning and Deep Neural Networks. Nucl. Eng. Technol. 2020, 52, 1998–2008. [Google Scholar] [CrossRef]
- Syarif, I.; Prugel-Bennett, A.; Wills, G. SVM Parameter Optimization Using Grid Search and Genetic Algorithm to Improve Classification Performance. TELKOMNIKA (Telecommun. Comput. Electron. Control) 2016, 14, 1502–1509. [Google Scholar] [CrossRef]
- Machova, K.; Mach, M.; Vasilko, M. Comparison of Machine Learning and Sentiment Analysis in Detection of Suspicious Online Reviewers on Different Type of Data. Sensors 2021, 22, 155. [Google Scholar] [CrossRef] [PubMed]
- Lipovetsky, S. PCA and SVD with Nonnegative Loadings. Pattern Recognit. 2009, 42, 68–76. [Google Scholar] [CrossRef]
- El Mountassir, M.; Yaacoubi, S.; Ragot, J.; Mourot, G.; Maquin, G. Feature selection techniques for identifying the most relevant damage indices in SHM using Guided Waves. In Proceedings of the 8th European Workshop On Structural Health Monitoring, EWSHM 2016, Bilbao, Spain, 5–8 July 2016; pp. 5–8. [Google Scholar]
- Sánchez-Maroño, N.; Alonso-Betanzos, A.; Tombilla-Snaromán, M. Filter methods for feature selection–a comparative study. In Intelligent Data Engineering and Automated Learning-IDEAL; Springer: Berlin/Heidelberg, Germany, 2007; pp. 178–187. [Google Scholar]
- Kohavi, R.; John, G.H. Wrappers for Feature Subset Selection. Artif. Intell. 1997, 97, 273–324. [Google Scholar] [CrossRef]















| Methods | Description | Pros and Cons |
|---|---|---|
| Jittering, scaling, slicing, and other common methods | These methods rely on the magnitude transformations of the training dataset. Only the values of each element are modified, and the time steps are kept constant. | Simple and easy to operate; however, the characteristics of data distribution are not considered. |
| Window slicing, time wrapping | These methods are similar to magnitude domain transformations except that the transformation happens on the time axis; the elements of the time series are displaced to different time steps than the original sequence. | Simple and easy to operate, but some important sample points may be lost. |
| RGANS, RCGANs | Both generators and discriminators are RNN structures. | Difficult to compute in parallel and limited to the medical field. |
| T-CGANs | Based on one-dimensional CNN, and input is the time stamps. | Adapt to irregular time intervals. |
| ehrGANs | Use of the one-dimensional convolution GANs to generate medical time series, with semisupervised learning being used. | The classes of new sample and raw sample are as similar as possible. |
| Specimen 1 | Specimen 2 | Specimen 3 | |
|---|---|---|---|
| WDBA | 5.34 | 8.88 | 8.74 |
| AWDBA | 2.88 | 2.07 | 2.68 |
| Specimen 1 | Specimen 2 | Specimen 3 | 3 fold | Total | Label | |
|---|---|---|---|---|---|---|
| Defects | 39 | 112 | 50 | 603 | 804 | 1 |
| Healthy | 39 | 52 | 40 | 393 | 524 | 0 |
| 3 fold | 234 | 492 | 270 | 996 | ||
| Total | 312 | 656 | 360 | 1328 |
| Metrics | LgR | KNN | GA_SVM | DT | RF |
|---|---|---|---|---|---|
| Accuracy | 0.636 | 0.926 | 0.930 | 0.835 | 0.885 |
| Precision | 0.500 | 0.922 | 0.924 | 0.874 | 0.905 |
| Recall | 0.803 | 0.927 | 0.931 | 0.864 | 0.936 |
| F1 score | 0.377 | 0.922 | 0.925 | 0.863 | 0.909 |
| Parameters | Settings |
|---|---|
| The length of gene sequence | 10 |
| Population size | 150 |
| Maximum iteration | 100 |
| Mutation probability | 0.8 |
| Breeding probability | 0.5 |
| Range of penalty factor C | [1, 10] |
| Range of kernel function parameter g | [1, 300] |
Publisher’s Note: MDPI stays neutral with regard to jurisdictional claims in published maps and institutional affiliations. |
© 2022 by the authors. Licensee MDPI, Basel, Switzerland. This article is an open access article distributed under the terms and conditions of the Creative Commons Attribution (CC BY) license (https://creativecommons.org/licenses/by/4.0/).
Share and Cite
Li, Z.; Song, Y.; Li, R.; Gu, S.; Fan, X. A Novel Data Augmentation Method for Improving the Accuracy of Insulator Health Diagnosis. Sensors 2022, 22, 8187. https://doi.org/10.3390/s22218187
Li Z, Song Y, Li R, Gu S, Fan X. A Novel Data Augmentation Method for Improving the Accuracy of Insulator Health Diagnosis. Sensors. 2022; 22(21):8187. https://doi.org/10.3390/s22218187
Chicago/Turabian StyleLi, Zhifeng, Yaqin Song, Runchen Li, Sen Gu, and Xuze Fan. 2022. "A Novel Data Augmentation Method for Improving the Accuracy of Insulator Health Diagnosis" Sensors 22, no. 21: 8187. https://doi.org/10.3390/s22218187
APA StyleLi, Z., Song, Y., Li, R., Gu, S., & Fan, X. (2022). A Novel Data Augmentation Method for Improving the Accuracy of Insulator Health Diagnosis. Sensors, 22(21), 8187. https://doi.org/10.3390/s22218187

