Inversion of Soil Organic Matter Content Based on Improved Convolutional Neural Network
Abstract
1. Introduction
2. Materials and Methods
2.1. Materials
2.1.1. Study Area
2.1.2. Acquisition and Processing of Soil Samples
2.1.3. Remote Sensing Image Processing
2.2. Methods
2.2.1. Inversion Model of Soil Organic Matter Content
2.2.2. Feature Selection
2.2.3. Backbone Network
2.2.4. Improved Model


3. Experimentation
3.1. Computational Hardware and Platform
3.2. Feature Selection Based on Feature Importance
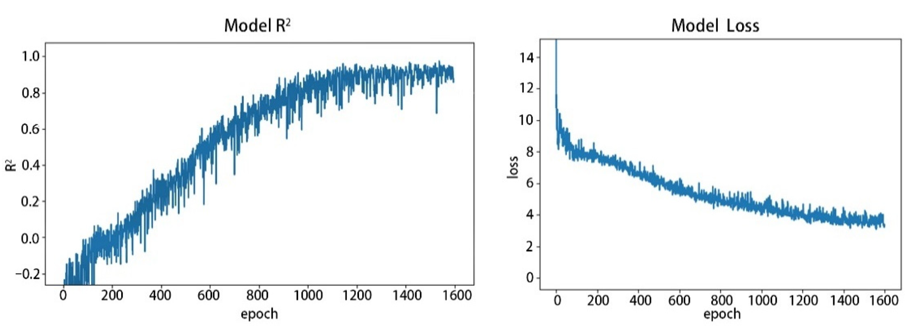
3.3. Model Training
3.4. Model Evaluation
4. Results and Discussion
4.1. Results of Model Prediction
4.2. Comparison with Other Models
5. Discussion
6. Conclusions
Supplementary Materials
Author Contributions
Funding
Institutional Review Board Statement
Informed Consent Statement
Data Availability Statement
Acknowledgments
Conflicts of Interest
References
- Murphy, B.W. Impact of Soil Organic Matter on Soil Properties—A Review with Emphasis on Australian Soils. Soil Res. 2015, 53, 605–635. [Google Scholar] [CrossRef]
- Lal, R. Challenges and Opportunities in Soil Organic Matter Research. Eur. J. Soil Sci. 2009, 60, 158–169. [Google Scholar] [CrossRef]
- Golchin, A.; Oades, J.M.; Skjemstad, J.O.; Clarke, P. Soil Structure and Carbon Cycling. Soil Res. 1994, 32, 1043–1068. [Google Scholar] [CrossRef]
- Reeves, D.W. The Role of Soil Organic Matter in Maintaining Soil Quality in Continuous Cropping Systems. Soil Tillage Res. 1997, 43, 131–167. [Google Scholar] [CrossRef]
- Zhang, Y.; Guo, L.; Chen, Y.; Shi, T.; Luo, M.; Ju, Q.; Zhang, H.; Wang, S. Prediction of Soil Organic Carbon Based on Landsat 8 Monthly NDVI Data for the Jianghan Plain in Hubei Province, China. Remote Sens. 2019, 11, 1683. [Google Scholar] [CrossRef]
- Voltr, V.; Menšík, L.; Hlisnikovský, L.; Hruška, M.; Pokorný, E.; Pospíšilová, L. The Soil Organic Matter in Connection with Soil Properties and Soil Inputs. Agronomy 2021, 11, 779. [Google Scholar] [CrossRef]
- Tiessen, H.; Cuevas, E.; Chacon, P. The Role of Soil Organic Matter in Sustaining Soil Fertility. Nature 1994, 371, 783–785. [Google Scholar] [CrossRef]
- Ding, G.; Liu, X.; Herbert, S.; Novak, J.; Amarasiriwardena, D.; Xing, B. Effect of Cover Crop Management on Soil Organic Matter. Geoderma 2006, 130, 229–239. [Google Scholar] [CrossRef]
- Ji, T. Comparison on determining the organic matter contents in the soils by different heating methods in the potassium dichromate-volumetric method. Acta Agric. Zhejiangensis 2005, 17, 311–313. [Google Scholar] [CrossRef]
- Gholizadeh, A.; Borůvka, L.; Saberioon, M.; Vašát, R. Visible, Near-Infrared, and Mid-Infrared Spectroscopy Applications for Soil Assessment with Emphasis on Soil Organic Matter Content and Quality: State-of-the-Art and Key Issues. Appl. Spectrosc. 2013, 67, 1349–1362. [Google Scholar] [CrossRef]
- Price, J.C. On the Information Content of Soil Reflectance Spectra. Remote Sens. Environ. 1990, 33, 113–121. [Google Scholar] [CrossRef]
- Sharma, V.; Chauhan, R.; Kumar, R. Spectral Characteristics of Organic Soil Matter: A Comprehensive Review. Microchem. J. 2021, 171, 106836. [Google Scholar] [CrossRef]
- Gu, X.; Wang, Y.; Sun, Q.; Yang, G.; Zhang, C. Hyperspectral Inversion of Soil Organic Matter Content in Cultivated Land Based on Wavelet Transform. Comput. Electron. Agric. 2019, 167, 105053. [Google Scholar] [CrossRef]
- Zhai, M. Inversion of Organic Matter Content in Wetland Soil Based on Landsat 8 Remote Sensing Image. J. Vis. Commun. Image Represent. 2019, 64, 102645. [Google Scholar] [CrossRef]
- Liu, H.; Zhang, M.; Yang, H.; Zhang, X.; Meng, X.; Li, H.; Tang, H. Invertion of Cultivated Soil Organic Matter Content Combining Multi-spectral Remote Sensing and Random Forest Algorithm. Trans. Chin. Soc. Agric. Eng. 2020, 36, 134–140. [Google Scholar] [CrossRef]
- Wei, L.; Yuan, Z.; Wang, Z.; Zhao, L.; Zhang, Y.; Lu, X.; Cao, L. Hyperspectral Inversion of Soil Organic Matter Content Based on a Combined Spectral Index Model. Sensors 2020, 20, 2777. [Google Scholar] [CrossRef]
- Yu, L.; Hong, Y.; Geng, L.; Zhou, Y.; Zhu, Q.; Cao, J.; Nie, Y. Hyperspectral Estimation of Soil Organic Matter Content Based on Partial Least Squares Regression. Trans. Chin. Soc. Agric. Eng. 2015, 31, 103–109. [Google Scholar] [CrossRef]
- Wang, F.; Gao, J.; Zha, Y. Hyperspectral Sensing of Heavy Metals in Soil and Vegetation: Feasibility and Challenges. ISPRS J. Photogramm. Remote Sens. 2018, 136, 73–84. [Google Scholar] [CrossRef]
- Asner, G.P.; Heidebrecht, K.B. Spectral Unmixing of Vegetation, Soil and Dry Carbon Cover in Arid Regions: Comparing Multispectral and Hyperspectral Observations. Int. J. Remote Sens. 2002, 23, 3939–3958. [Google Scholar] [CrossRef]
- Liu, H.; Pan, Y.; Dou, X.; Zhang, X.; Qiu, Z.; Xu, M.; Xie, Y.; Wang, N. Soil Organic Matter Content Inversion Model with Remote Sensing Image in Field Scale of Blacksoil Area. Trans. Chin. Soc. Agric. Eng. 2018, 34, 127–133. [Google Scholar] [CrossRef]
- Mandanici, E.; Bitelli, G. Preliminary Comparison of Sentinel-2 and Landsat 8 Imagery for a Combined Use. Remote Sens. 2016, 8, 1014. [Google Scholar] [CrossRef]
- Flood, N. Comparing Sentinel-2A and Landsat 7 and 8 Using Surface Reflectance over Australia. Remote Sens. 2017, 9, 659. [Google Scholar] [CrossRef]
- Lu, Y.; Bai, Y.; Yang, L.; Wang, L.; Wang, H. Homogeneity of Retrieval Models for Soil Organic Matter of Different Soil Types in Northeast Plain Using Hyperspectral Data. J. Plant Nutr. Fertil. 2011, 17, 456–463. [Google Scholar] [CrossRef]
- Li, X.; Zhang, F.; Wang, X. Study on Differential-Based Multispectral Modeling of Soil Organic Matter in Ebinur Lake Wetland. Spectrosc. Spectr. Anal. 2019, 39, 535–542. [Google Scholar] [CrossRef]
- Feng, Q.; Li, H.; Xu, X.; Zhai, X.; Wang, Z. Remote Sensed Estimation of Soil Organic Matter Using Cluster-based Deep Neural Network in the Nearshore Plains of Lai-zhou Bay, Eastern China. J. Saf. Environ. 2022, 22, 2248–2258. [Google Scholar] [CrossRef]
- Luan, F.-M.; Zhang, X.-L.; Xiong, H.-G.; Zhang, F.; Wang, F. Comparative analysis of soil organic matter content based on different hyperspectral inversion models. Spectrosc. Spectr. Anal. 2013, 33, 196–200. [Google Scholar] [CrossRef]
- Yu, L.; Hong, Y.; Zhou, Y.; Zhu, Q. Inversion of Soil Organic Matter Content Using Hyperspectral Data Based on Continuous Wavelet Transformation. Spectrosc. Spectr. Anal. 2016, 36, 1428–1433. [Google Scholar] [CrossRef]
- Tang, S.; Du, C.; Nie, T. Inversion Estimation of Soil Organic Matter in Songnen Plain Based on Multispectral Analysis. Land 2022, 11, 608. [Google Scholar] [CrossRef]
- Odebiri, O.; Mutanga, O.; Odindi, J. Deep Learning-Based National Scale Soil Organic Carbon Mapping with Sentinel-3 Data. Geoderma 2022, 411, 115695. [Google Scholar] [CrossRef]
- Albanese, A.; Nardello, M.; Brunelli, D. Automated Pest Detection with DNN on the Edge for Precision Agriculture. IEEE J. Emerg. Sel. Top. Circuits Syst. 2021, 11, 458–467. [Google Scholar] [CrossRef]
- Karthik, R.; Hariharan, M.; Anand, S.; Mathikshara, P.; Johnson, A.; Menaka, R. Attention Embedded Residual CNN for Disease Detection in Tomato Leaves. Appl. Soft Comput. 2020, 86, 105933. [Google Scholar] [CrossRef]
- Kussul, N.; Lavreniuk, M.; Skakun, S.; Shelestov, A. Deep Learning Classification of Land Cover and Crop Types Using Remote Sensing Data. IEEE Geosci. Remote Sens. Lett. 2017, 14, 778–782. [Google Scholar] [CrossRef]
- Kattenborn, T.; Leitloff, J.; Schiefer, F.; Hinz, S. Review on Convolutional Neural Networks (CNN) in Vegetation Remote Sensing. ISPRS J. Photogramm. Remote Sens. 2021, 173, 24–49. [Google Scholar] [CrossRef]
- Cannizzaro, D.; Aliberti, A.; Bottaccioli, L.; Macii, E.; Acquaviva, A.; Patti, E. Solar Radiation Forecasting Based on Convolutional Neural Network and Ensemble Learning. Expert Syst. Appl. 2021, 181, 115167. [Google Scholar] [CrossRef]
- Tan, X.; Li, X.; Liu, J.; Li, G.; Yu, X. Classification of chemical explosion and earthquake infrasound based on 1-D convolutional neural network. J. Appl. Acoust. 2021, 40, 457–467. [Google Scholar] [CrossRef]
- Wang, Z.-M.; Zhang, B.; Song, K.-S.; Liu, D.-W.; Ren, C.-Y. Spatial Variability of Soil Organic Carbon Under Maize Monoculture in the Song-Nen Plain, Northeast China. Pedosphere 2010, 20, 80–89. [Google Scholar] [CrossRef]
- Xin, S. The Evaluation and Monitoring of Cultivated Land Quality for NongAn Country. Master’s Thesis, Jilin Agricultural University, Changchun, China, 2014. [Google Scholar]
- Gascon, F.; Bouzinac, C.; Thépaut, O.; Jung, M.; Francesconi, B.; Louis, J.; Lonjou, V.; Lafrance, B.; Massera, S.; Gaudel-Vacaresse, A.; et al. Copernicus Sentinel-2A Calibration and Products Validation Status. Remote Sens. 2017, 9, 584. [Google Scholar] [CrossRef]
- Canty, M. Image Analysis, Classification and Change Detection in Remote Sensing: With Algorithms for ENVI/IDL and Python, 3rd ed.; CRC Press: Boca Raton, FL, USA, 2014. [Google Scholar]
- Thanh Noi, P.; Kappas, M. Comparison of Random Forest, k-Nearest Neighbor, and Support Vector Machine Classifiers for Land Cover Classification Using Sentinel-2 Imagery. Sensors 2018, 18, 18. [Google Scholar] [CrossRef]
- Wei, Y.; Ping, Z.; Zhao, G.; Chen, H.; Wang, L. Comparison of Sentinel 2A MSI and Landsat 8 OLI for Soil Organic Matter Inversion in Southwestern Shandong Province, China. Geocarto Int. 2021, 36, 1–16. [Google Scholar] [CrossRef]
- Li, J.; Cheng, K.; Wang, S.; Morstatter, F.; Trevino, R.P.; Tang, J.; Liu, H. Feature Selection: A Data Perspective. ACM Comput. Surv. 2017, 50, 94:1–94:45. [Google Scholar] [CrossRef]
- Li, Y.; Chen, C.-Y.; Wasserman, W.W. Deep Feature Selection: Theory and Application to Identify Enhancers and Promoters. J. Comput. Biol. 2016, 23, 322–336. [Google Scholar] [CrossRef]
- Lecun, Y.; Bottou, L.; Bengio, Y.; Haffner, P. Gradient-Based Learning Applied to Document Recognition. Proc. IEEE 1998, 86, 2278–2324. [Google Scholar] [CrossRef]









| Sentinel-2 Bands | Central Wavelength (μm) | Resolution (m) |
|---|---|---|
| Band 1—Coastal aerosol | 0.443 | 60 |
| Band 2—Blue | 0.49 | 10 |
| Band 3—Green | 0.56 | 10 |
| Band 4—Red | 0.665 | 10 |
| Band 5—Vegetation Red Edge | 0.705 | 20 |
| Band 6—Vegetation Red Edge | 0.74 | 20 |
| Band 7—Vegetation Red Edge | 0.783 | 20 |
| Band 8—NIR | 0.842 | 10 |
| Band 8A—Narrow NIR | 0.865 | 20 |
| Band 9—Water vapour | 0.945 | 60 |
| Band 10—SWIR-Cirrus | 1.375 | 60 |
| Band 11—SWR | 1.61 | 20 |
| Band 12—SWIR | 2.19 | 20 |
| Number of Features | Epochs | RMSE | R2 | Model Training Time (min) | Single Sample Training Time (μs/Sample) |
|---|---|---|---|---|---|
| 152 | 1200 | 2.909 | 0.8376 | 06:30.46 | 649 |
| 139 | 1200 | 2.896 | 0.8973 | 05:53.24 | 587 |
| 103 | 1600 | 3.333 | 0.8761 | 06:04.63 | 450 |
| 103 | 1400 | 3.113 | 0.8697 | 05:24.27 | 457 |
| 103 | 1200 | 2.979 | 0.8875 | 04:46.42 | 463 |
| 103 | 1000 | 3.202 | 0.7686 | 03:50.82 | 456 |
| 84 | 1200 | 3.248 | 0.8593 | 03:59.25 | 371 |
| 55 | 1200 | 3.362 | 0.7984 | 02:41.27 | 278 |
| Model | RMSE | R2 |
|---|---|---|
| X1 | 2.672 | 0.1245 |
| X1 + X2 + X3 | 2.666 | 0.1967 |
| SVM | 2.471 | 0.4035 |
| RF | 2.577 | 0.4913 |
| 1D LeNet-5 | 2.730 | 0.3955 |
| Improved Model | 2.979 | 0.8875 |
Publisher’s Note: MDPI stays neutral with regard to jurisdictional claims in published maps and institutional affiliations. |
© 2022 by the authors. Licensee MDPI, Basel, Switzerland. This article is an open access article distributed under the terms and conditions of the Creative Commons Attribution (CC BY) license (https://creativecommons.org/licenses/by/4.0/).
Share and Cite
Ma, L.; Zhao, L.; Cao, L.; Li, D.; Chen, G.; Han, Y. Inversion of Soil Organic Matter Content Based on Improved Convolutional Neural Network. Sensors 2022, 22, 7777. https://doi.org/10.3390/s22207777
Ma L, Zhao L, Cao L, Li D, Chen G, Han Y. Inversion of Soil Organic Matter Content Based on Improved Convolutional Neural Network. Sensors. 2022; 22(20):7777. https://doi.org/10.3390/s22207777
Chicago/Turabian StyleMa, Li, Lei Zhao, Liying Cao, Dongming Li, Guifen Chen, and Ye Han. 2022. "Inversion of Soil Organic Matter Content Based on Improved Convolutional Neural Network" Sensors 22, no. 20: 7777. https://doi.org/10.3390/s22207777
APA StyleMa, L., Zhao, L., Cao, L., Li, D., Chen, G., & Han, Y. (2022). Inversion of Soil Organic Matter Content Based on Improved Convolutional Neural Network. Sensors, 22(20), 7777. https://doi.org/10.3390/s22207777

