Fuzzy Logic System Assisted Sensing Resource Allocation for Optical Fiber Sensing and Communication Integrated Network
Abstract
1. Introduction
2. Fuzzy Logic System
3. Simulation and Analysis of Fuzzy Logic System
3.1. Link Failure Probability in Different Allocation Modes
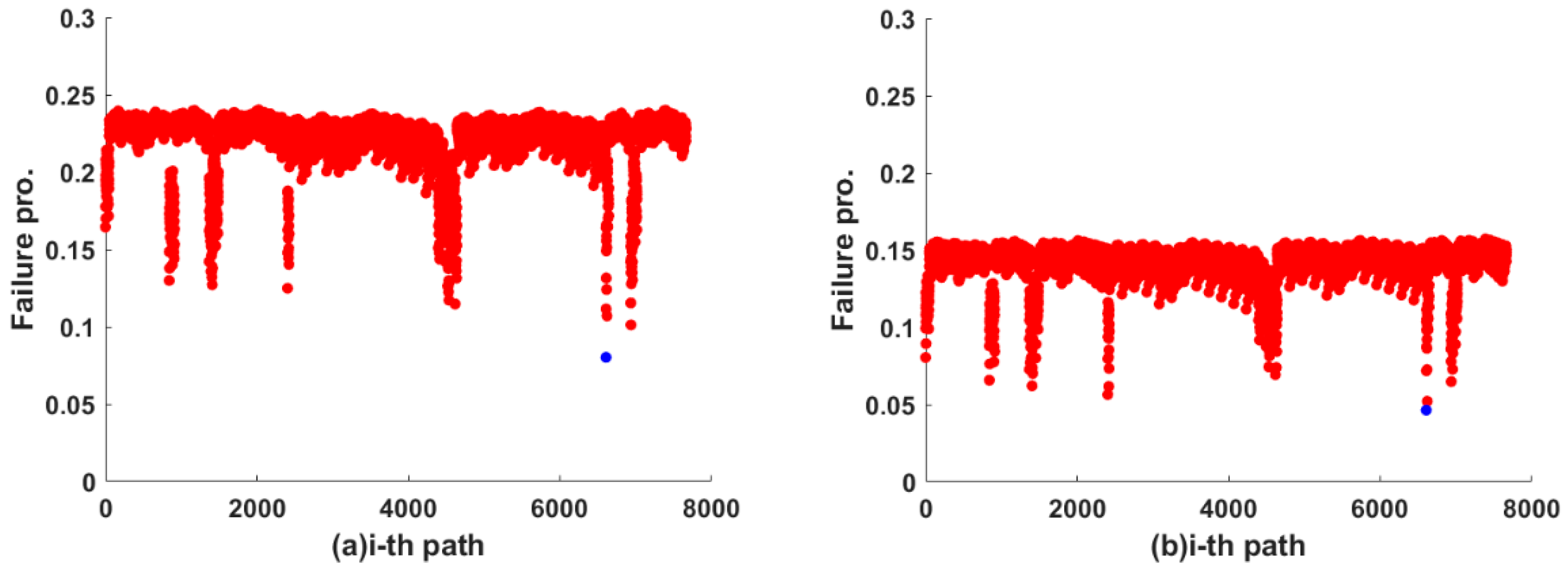
3.2. Path Failure Probability in Different Allocation Modes
4. Conclusions
Author Contributions
Funding
Data Availability Statement
Conflicts of Interest
References
- Wang, Z.; Zhang, B.; Xiong, J.; Fu, Y.; Lin, S.; Jiang, J.; Chen, Y.; Wu, Y.; Meng, Q.; Rao, Y. Distributed acoustic sensing based on pulse-coding phase-sensitive OTDR. IEEE Internet Things J. 2018, 6, 6117–6124. [Google Scholar] [CrossRef]
- Liu, S.; Yu, F.; Hong, R.; Xu, W.; Shao, L.; Wang, F. Advances in phase-sensitive optical time-domain reflectometry. Opto-Electron. Adv. 2022, 5, 200078. [Google Scholar] [CrossRef]
- Shao, L.Y.; Liu, S.; Bandyopadhyay, S.; Yu, F.; Xu, W.; Wang, C.; Li, H.; Vai, M.I.; Du, L.; Zhang, J. Data-driven distributed optical vibration sensors: A review. IEEE Sens. J. 2019, 20, 6224–6239. [Google Scholar] [CrossRef]
- Wu, Y.; Wang, Z.; Xiong, J.; Yu, F.; Xu, W.; Wang, C.; Li, H.; Vai, M.I.; Du, L.; Zhang, J. Bipolar-Coding Φ\Phi Φ-OTDR with Interference Fading Elimination and Frequency Drift Compensation. J. Lightwave Technol. 2020, 38, 6121–6128. [Google Scholar] [CrossRef]
- Xiong, J.; Wang, Z.; Wu, Y.; Rao, Y. Single-shot COTDR using sub-chirped-pulse extraction algorithm for distributed strain sensing. J. Lightwave Technol. 2020, 38, 2028–2036. [Google Scholar] [CrossRef]
- Wang, Z.N.; Li, J.; Fan, M.Q.; Zhang, L.; Peng, F.; Wu, H.; Zeng, J.J.; Zhou, Y.; Rao, Y.J. Phase-sensitive optical time-domain reflectometry with Brillouin amplification. Opt. Lett. 2014, 39, 4313–4316. [Google Scholar] [CrossRef] [PubMed]
- Fu, Y.; Wang, Z.; Zhu, R.; Xue, N.; Jiang, J.; Lu, C.; Zhang, B.; Yang, L.; Atubga, D.; Rao, Y. Ultra-long-distance hybrid BOTDA/Φ-OTDR. Sensors 2018, 18, 976. [Google Scholar] [CrossRef] [PubMed]
- Wang, Z.N.; Zeng, J.J.; Li, J.; Fan, M.Q.; Wu, H.; Peng, F.; Zhang, L.; Zhou, Y.; Rao, Y.J. Ultra-long phase-sensitive OTDR with hybrid distributed amplification. Opt. Lett. 2014, 39, 5866–5869. [Google Scholar] [CrossRef] [PubMed]
- Wang, Z.; Zhang, L.; Wang, S.; Xue, N.; Peng, F.; Fan, M.; Sun, W.; Qian, X.; Rao, J.; Rao, Y. Coherent Φ-OTDR based on I/Q demodulation and homodyne detection. Opt. Express 2016, 24, 853–858. [Google Scholar] [CrossRef] [PubMed]
- Jiang, J.; Wang, Z.; Wang, Z.; Qiu, Z.; Liu, C.; Rao, Y. Continuous chirped-wave phase-sensitive optical time domain reflectometry. Opt. Lett. 2021, 46, 685–688. [Google Scholar] [CrossRef] [PubMed]
- Chai, Q.; Luo, Y.; Ren, J.; Zhang, J.; Yang, J.; Yuan, L.; Peng, G. Review on fiber-optic sensing in health monitoring of power grids. Opt. Eng. 2019, 58, 072007. [Google Scholar] [CrossRef]
- Zhang, X.; Wu, J.; Shan, Y.; Liu, Y.; Wang, F.; Zhang, Y. Online monitoring of power transmission lines in smart grid based on distributed optical fiber sensing technology. Optoelectron. Technol. 2017, 37, 221–229. [Google Scholar]
- Ip, E.; Fang, J.; Li, Y.; Wang, Q.; Huang, M.F.; Salemi, M.; Huang, Y.K. Distributed fiber sensor network using telecom cables as sensing media: Technology advancements and applications. J. Opt. Commun. Netw. 2022, 14, A61–A68. [Google Scholar] [CrossRef]
- Huang, M.F.; Salemi, M.; Chen, Y.; Zhao, J.; Xia, T.J.; Wellbrock, G.A.; Huang, Y.K.; Milione, G.; Ip, E.; Ji, P.; et al. First field trial of distributed fiber optical sensing and high-speed communication over an operational telecom network. J. Lightwave Technol. 2019, 38, 75–81. [Google Scholar] [CrossRef]
- Dorize, C.; Guerrier, S.; Awwad, E.; Nwakamma, P.A.; Mardoyan, H.; Renaudier, J. An OFDM-MIMO distributed acoustic sensing over deployed telecom fibers. In Proceedings of the Optical Fiber Communication Conference, Washington, DC, USA, 6–11 June 2021. OSA Technical Digest (Optica Publishing Group, 2021), paper W7C.2. [Google Scholar]
- Vogel, B.; Cassens, C.; Graupner, A.; Trostel, A. Leakage detection systems by using distributed fiber optical temperature measurement. In Proceedings of the Smart Structures and Materials 2001: Sensory Phenomena and Measurement Instrumentation for Smart Structures and Materials, Newport Beach, CA, USA, 4–8 March 2001; Volume 4328, pp. 23–34. [Google Scholar]
- Yamate, T.; Fujisawa, G.; Ikegami, T. Optical sensors for the exploration of oil and gas. J. Lightwave Technol. 2017, 35, 3538–3545. [Google Scholar] [CrossRef]
- Tang, B.; Zhou, Z. The design of communication network optical fiber cable condition monitoring system based on distributed optical fiber sensor. In Proceedings of the 2018 International Conference on Electronics Technology (ICET), Chengdu, China, 23–27 May 2018; pp. 97–101. [Google Scholar]
- Yilmaz, G.; Karlik, S.E. A distributed optical fiber sensor for temperature detection in power cables. Sens. Actuators A Phys. 2006, 125, 148–155. [Google Scholar] [CrossRef]
- Lu, L.; Liang, Y.; Li, B.; Guo, J.; Zhang, H.; Zhang, X. Health monitoring of electric power communication line using a distributed optical fiber sensor. In Proceedings of the Advanced Sensor Systems and Applications VI. International Society for Optics and Photonics, Beijing, China, 9–11 October 2014; Volume 9274, p. 92740W. [Google Scholar]
- Luo, J.; Liao, J.; Zhang, C.; Wang, Z.; Zhang, Y.; Xu, J.; Huang, Z. Fine-grained bandwidth estimation for smart grid communication network. Intell. Autom. Soft Comput. 2022, 32, 1225–1239. [Google Scholar] [CrossRef]
- Yao, S.; Luo, J.; Tang, Q.; Huang, X.; Zhang, C. Link Failure Analysis and Routing Planning for Fiber Network of Smart Grid. In Proceedings of the 2020 12th International Conference on Advanced Infocomm Technology (ICAIT), Macao, China, 23–25 November 2020; IEEE: Piscataway, NJ, USA, 2020; pp. 37–41. [Google Scholar]
- Melin, P.; Mendoza, O.; Castillo, O. Face recognition with an improved interval type-2 fuzzy logic sugeno integral and modular neural networks. IEEE Trans. Syst. Man Cybern.-Part A Syst. Hum. 2011, 41, 1001–1012. [Google Scholar] [CrossRef]
- Arslan, A.; Kaya, M. Determination of fuzzy logic membership functions using genetic algorithms. Fuzzy Sets Syst. 2001, 118, 297–306. [Google Scholar] [CrossRef]
- Simmons, J.M. Network design in realistic “all-optical” backbone networks. IEEE Commun. Mag. 2006, 44, 88–94. [Google Scholar] [CrossRef]








| Rules | Independent Variables | Dependent Variables | |||
|---|---|---|---|---|---|
| Link Lengths | Link Orders | Data Volumes | Sensing Points | Degree of Failure | |
| 1 | near | low | small | small | moderate |
| 2 | near | low | small | moderate | low |
| 3 | near | low | small | large | low |
| 4 | near | low | moderate | small | moderate |
| 5 | near | low | moderate | moderate | moderate |
| 6 | near | low | moderate | large | low |
| 7 | near | low | large | small | high |
| 8 | near | low | large | moderate | moderate |
| 9 | near | low | large | large | moderate |
| 10 | near | moderate | small | small | moderate |
| 11 | near | moderate | small | moderate | low |
| 12 | near | moderate | small | large | low |
| 13 | near | moderate | moderate | small | high |
| 14 | near | moderate | moderate | moderate | moderate |
| 15 | near | moderate | moderate | large | moderate |
| 16 | near | moderate | large | small | high |
| 17 | near | moderate | large | moderate | moderate |
| 18 | near | moderate | large | large | moderate |
| 19 | near | high | small | small | high |
| 20 | near | high | small | moderate | moderate |
| 21 | near | high | small | large | moderate |
| 22 | near | high | moderate | small | high |
| 23 | near | high | moderate | moderate | moderate |
| 24 | near | high | moderate | large | moderate |
| 25 | near | high | large | small | high |
| 26 | near | high | large | moderate | high |
| 27 | near | high | large | large | moderate |
| 28 | moderate | low | small | small | moderate |
| 29 | moderate | low | small | moderate | low |
| 30 | moderate | low | small | large | low |
| 31 | moderate | low | moderate | small | high |
| 32 | moderate | low | moderate | moderate | moderate |
| 33 | moderate | low | moderate | large | moderate |
| 34 | moderate | low | large | small | high |
| 35 | moderate | low | large | moderate | moderate |
| 36 | moderate | low | large | large | moderate |
| 37 | moderate | moderate | small | small | high |
| 38 | moderate | moderate | small | moderate | moderate |
| 39 | moderate | moderate | small | large | moderate |
| 40 | moderate | moderate | moderate | small | high |
| 41 | moderate | moderate | moderate | moderate | moderate |
| 42 | moderate | moderate | moderate | large | moderate |
| 43 | moderate | moderate | large | small | high |
| 44 | moderate | moderate | large | moderate | high |
| 45 | moderate | moderate | large | large | moderate |
| 46 | moderate | high | small | small | high |
| 47 | moderate | high | small | moderate | moderate |
| 48 | moderate | high | small | large | moderate |
| 49 | moderate | high | moderate | small | high |
| 50 | moderate | high | moderate | moderate | high |
| 51 | moderate | high | moderate | large | moderate |
| 52 | moderate | high | large | small | high |
| 53 | moderate | high | large | moderate | high |
| 54 | moderate | high | large | large | moderate |
| 55 | high | low | small | small | high |
| 56 | high | low | small | moderate | moderate |
| 57 | high | low | small | large | moderate |
| 58 | high | low | moderate | small | high |
| 59 | high | low | moderate | moderate | moderate |
| 60 | high | low | moderate | large | moderate |
| 61 | high | low | large | small | high |
| 62 | high | low | large | moderate | high |
| 63 | high | low | large | large | moderate |
| 64 | high | moderate | small | small | high |
| 65 | high | moderate | small | moderate | moderate |
| 66 | high | moderate | small | large | moderate |
| 67 | high | moderate | moderate | small | high |
| 68 | high | moderate | moderate | moderate | high |
| 69 | high | moderate | moderate | large | moderate |
| 70 | high | moderate | large | small | high |
| 71 | high | moderate | large | moderate | high |
| 72 | high | moderate | large | large | moderate |
| 73 | high | high | small | small | high |
| 74 | high | high | small | moderate | high |
| 75 | high | high | small | large | moderate |
| 76 | high | high | moderate | small | high |
| 77 | high | high | moderate | moderate | high |
| 78 | high | high | moderate | large | moderate |
| 79 | high | high | large | small | high |
| 80 | high | high | large | moderate | high |
| 81 | high | high | large | large | moderate |
Publisher’s Note: MDPI stays neutral with regard to jurisdictional claims in published maps and institutional affiliations. |
© 2022 by the authors. Licensee MDPI, Basel, Switzerland. This article is an open access article distributed under the terms and conditions of the Creative Commons Attribution (CC BY) license (https://creativecommons.org/licenses/by/4.0/).
Share and Cite
Zhang, C.; Wang, P. Fuzzy Logic System Assisted Sensing Resource Allocation for Optical Fiber Sensing and Communication Integrated Network. Sensors 2022, 22, 7708. https://doi.org/10.3390/s22207708
Zhang C, Wang P. Fuzzy Logic System Assisted Sensing Resource Allocation for Optical Fiber Sensing and Communication Integrated Network. Sensors. 2022; 22(20):7708. https://doi.org/10.3390/s22207708
Chicago/Turabian StyleZhang, Chenlin, and Pan Wang. 2022. "Fuzzy Logic System Assisted Sensing Resource Allocation for Optical Fiber Sensing and Communication Integrated Network" Sensors 22, no. 20: 7708. https://doi.org/10.3390/s22207708
APA StyleZhang, C., & Wang, P. (2022). Fuzzy Logic System Assisted Sensing Resource Allocation for Optical Fiber Sensing and Communication Integrated Network. Sensors, 22(20), 7708. https://doi.org/10.3390/s22207708
