A Robust Miniaturized Gas Sensor for H2 and CO2 Detection Based on the 3ω Method
Abstract
:1. Introduction
2. Analytical Model
3. FEM-Simulation
4. Measurement Setup
5. Results
5.1. Validation of the Experimental Results
5.2. CO2 Measurements
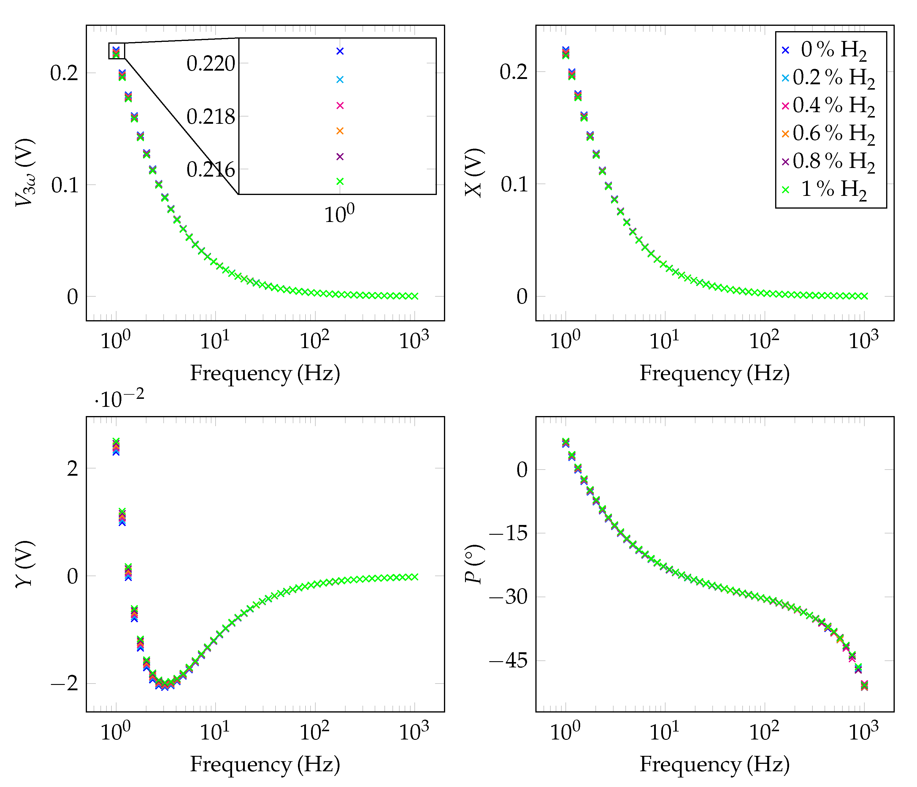
5.3. H2 Measurements
5.4. Time-Dependent Characteristics
6. Discussion
7. Conclusions
Supplementary Materials
Author Contributions
Funding
Data Availability Statement
Acknowledgments
Conflicts of Interest
Abbreviations
| LI | Lock-In Amplifier |
| Carbon dioxide | |
| Hydrogen | |
| Nitrogen | |
| Helium | |
| RMS | Root mean square |
| FEM | Finite element method |
| MFCs | Mass flow controllers |
| ADC | Analog-to-digital converter |
References
- Liu, X.; Cheng, S.; Liu, H.; Hu, S.; Zhang, D.; Ning, H. A Survey on Gas Sensing Technology. Sensors 2012, 12, 9635–9665. [Google Scholar] [CrossRef] [Green Version]
- Hübert, T.; Boon-Brett, L.; Black, G.; Banach, U. Hydrogen Sensors—A review. Sens. Actuators B 2011, 157, 329–352. [Google Scholar] [CrossRef]
- Aroutiounian, V. Metal oxide hydrogen, oxygen, and carbon monoxide sensors for hydrogen setups and cells. Int. J. Hydrogen Energy 2009, 32, 1145–1158. [Google Scholar] [CrossRef]
- Neethirajan, S.; Jayas, D.S.; Sadistap, S. Carbon Dioxide (CO2) Sensors for the Agri-food Industry—A Review. Food Bioprocess Technol. 2009, 2, 115–121. [Google Scholar] [CrossRef]
- Korotcenkov, G.; Han, S.D.; Stetter, J.R. Review of Electrochemical Hydrogen Sensors. Chem. Rev. 2009, 109, 1402–1433. [Google Scholar] [CrossRef] [PubMed]
- Mulmi, S.; Thangadurai, V. Editor´s Choice—Review—Solid-State Electrochemical Carbon Dioxide Sensors: Fundamentals, Materials and Applications. J. Electrochem. Soc. 2020, 167, 037567. [Google Scholar] [CrossRef]
- Jang, W.; Park, J.-S.; Lee, K.-W.; Roh, Y. Methane and hydrogen sensing properties of catalytic combustion type single-chip micro gas sensors with two different Pt film thicknesses for heaters. Micro Nano Syst. Lett. 2018, 6, 7. [Google Scholar] [CrossRef]
- Bin Tanvir, N.; Wilbertz, C.; Steinhauer, S.; Köck, A.; Urban, G.; Yurchenko, O. Work function based CO2 gas sensing using metal oxide nanoparticles at room temperature. Mater. Today Proc. 2015, 2, 4190–4195. [Google Scholar] [CrossRef]
- Sharma, B.; Sharma, A.; Kim, J.S. Recent advances on H2 sensor technologies based on MOX and FET devices: A review. Sens. Actuators B 2018, 262, 758–770. [Google Scholar] [CrossRef]
- Kliche, K.; Kattinger, G.; Billat, S.; Shen, L.; Messner, S.; Zengerle, R. Sensor for Thermal Gas Analysis Based on Micromachined Silicon-Microwire. IEEE Sens. J. 2013, 13, 2626–2635. [Google Scholar] [CrossRef]
- Fay, C.; Doherty, A.R.; Beirne, S.; Collins, F.; Foley, C.; Healy, J.; Kiernan, B.M.; Lee, H.; Maher, D.; Orpen, D.; et al. Remote Real-Time Monitoring of Subsurface Landfill Gas Migration. Sensors 2011, 11, 6603–6628. [Google Scholar] [CrossRef]
- Chu, C.-S.; Lo, Y.L.; Sung, T.-W. Review on Recent Developments of Fluorescent Oxygen and Carbon Dioxide Optical Fiber Sensors. Photonic Sens. 2011, 1, 234–250. [Google Scholar] [CrossRef] [Green Version]
- Nechepurenko, I.A.; Kulikova, D.P.; Kornienko, V.V.; Afanasiev, K.N.; Shekoyan, L.A.; Baryshev, A.V.; Dorofeenko, A.V. Evaluating the Response Time of an Optical Gas Sensor Based on Gasochromic Nanostructures. Sensors 2021, 21, 8472. [Google Scholar] [CrossRef]
- Wang, G.; Dai, J.; Yang, M. Fiber-Optic Hydrogen Sensors: A Review. IEEE Sens. J. 2021, 21, 12706–12718. [Google Scholar] [CrossRef]
- Yakabe, T.; Imamura, G.; Yoshikawa, G.; Kitajima, M.; Itakura, A.N. Hydrogen detection using membrane-type surface stress sensor. J. Phys. Commun. 2020, 4, 025005. [Google Scholar] [CrossRef]
- Sivaramakrishnan, S.; Rajamani, R.; Pappenfus, T.M. Electrically stretched capacitive membranes for stiffness sensing and analyte concentration measurement. Sens. Actuators B 2008, 135, 262–267. [Google Scholar] [CrossRef]
- Hoffmann, R.; Schreiter, M.; Heitmann, J. The concept of thin film bulk acoustic resonators as selective CO2 gas sensors. J. Sens. Sens. Syst. 2017, 6, 87–96. [Google Scholar] [CrossRef] [Green Version]
- Boon-Brett, L.; Bousek, J.; Black, G.; Moretto, P.; Castello, P.; Hübert, T.; Banach, U. Identifying performance gaps in hydrogen safety sensor technology for automotive and stationary applications. Int. J. Hydrogen Energy 2010, 35, 373–384. [Google Scholar] [CrossRef]
- Cruz, D.; Chang, J.P.; Showalter, S.K.; Gelbard, F.; Maginell, R.P.; Blain, M.G. Microfabricated thermal conductivity detector for the micro-ChemLab. Sens. Actuators B 2007, 121, 414–422. [Google Scholar] [CrossRef]
- Graaf, G.D.; Prouza, A.A.; Ghaderi, M.; Wolffenbuttel, R.F. Micro thermal conductivity detector with flow compensation using a dual MEMS device. Sens. Actuators A 2016, 249, 186–198. [Google Scholar] [CrossRef]
- Berndt, D.; Muggli, J.; Wittwer, F.; Langer, C.; Heinrich, S.; Knittel, T.; Schreiner, R. MEMS-based thermal conductivity sensor for hydrogen gas detection in automotive applications. Sens. Actuators A 2020, 305, 111670. [Google Scholar] [CrossRef]
- Simon, I.; Arndt, M. Thermal and gas-sensing properties of a micromachined thermal conductivity sensor for the detection of hydrogen in automotive applications. Sens. Actuators A 2002, 97–98, 104–108. [Google Scholar] [CrossRef]
- Graunke, T.; Schmitt, K.; Raible, S.; Wöllenstein, J. Towards Enhanced Gas Sensor Performance with Fluoropolymer Membranes. Sensors 2016, 16, 1605. [Google Scholar] [CrossRef] [Green Version]
- Cai, Z.; Veldhoven, R.V.; Suy, H.; Graaf, G.D.; Makinwa, K.A.A.; Pertijs, M.A.P. A Phase-Domain Readout Circuit for a CMOS-Compatible Hot-Wire CO2 Sensor. IEEE J. Solid-State Circuits 2018, 53, 3303–3313. [Google Scholar] [CrossRef] [Green Version]
- Mahdavifar, A.; Navaei, M.; Hesketh, P.J.; Findlay, M.; Stetter, J.R.; Hunter, G.W. Transient thermal response of micro-thermal conductivity detector (μTCD) for the identification of gas mixtures: An ultra-fast and low power method. Microsyst. Nanoeng. 2015, 1, 15025. [Google Scholar] [CrossRef] [Green Version]
- Struk, D.; Shirke, A.; Mahdavifar, A.; Hesketh, P.J.; Stetter, J.R. Investigating time-resolved response of micro thermal conductivity sensor under various modes of operation. Sens. Actuators B 2017, 254, 771–777. [Google Scholar] [CrossRef]
- Van Vroonhoven, C.; de Graaf, G.; Makinwa, K. Phase readout of thermal conductivity-based gas sensors. In Proceedings of the 2011 4th IEEE International Workshop on Advances in Sensors and Interfaces (IWASI), Savelletri di Fasano, Italy, 28–29 June 2011; pp. 199–202. [Google Scholar]
- Watanabe, M.; Inoue, R.; Ichikawa, D.; Furusaki, K. Development of Thermal Conductivity Type Hydrogen Sensor. ECS Trans. 2010, 28, 31–42. [Google Scholar] [CrossRef]
- Pollak-Diener, G.; Obermeier, E. Heat-conduction microsensor based on silicon technology for the analysis of two- and three-component gas mixtures. Sens. Actuators B 1993, 13–14, 345–347. [Google Scholar] [CrossRef]
- Schiffres, S.N.; Malen, J.A. Improved 3-omega measurement of thermal conductivity in liquid, gases, and powders using a metal-coated optical fiber. Rev. Sci. Instrum. 2011, 82, 064903. [Google Scholar] [CrossRef] [PubMed] [Green Version]
- Gauthier, S.; Giani, A.; Combette, P. Gas thermal conductivity measurement using the three-omega method. Sens. Actuators A 2013, 195, 50–55. [Google Scholar] [CrossRef]
- Kommandur, S.; Mahdavifar, A.; Jin, S.; Hesketh, P.J.; Yee, S. Metal-coated glass microfiber for concentration detection in gas mixtures using the 3-Omega excitation method. Sens. Actuators A 2016, 250, 243–249. [Google Scholar] [CrossRef] [Green Version]
- Kommandur, S.; Mahdavifar, A.; Hesketh, P.J.; Yee, S. A microbridge heater for low power gas sensing based on the 3-Omega technique. Sens. Actuators A 2015, 233, 231–238. [Google Scholar] [CrossRef] [Green Version]
- Legendre, O.; Ruellan, J.; Gely, M.; Arcamone, J.; Duraffourg, L.; Ricoul, F.; Alava, T.; Fain, B. CMOS compatible nanoscale thermal conductivity detector for gas sensing applications. Sens. Actuators A 2017, 261, 9–13. [Google Scholar] [CrossRef]
- Chernodoubov, D.A.; Inyushkin, A.V. Automatic thermal conductivity measurements with 3-omega technique. Rev. Sci. Instrum. 2019, 90, 024904. [Google Scholar] [CrossRef]
- Wang, C.; Sahay, P. Breath Analysis Using Laser Spectroscopic Techniques: Breath Biomarkers, Spectral Fingerprints, and Detection Limits. Sensors 2009, 9, 8230–8262. [Google Scholar] [CrossRef]
- Salman, N.; Khan, M.W.; Lim, M.; Khan, A.; Kemp, A.H.; Noakes, C.J. Use of Multiple Low Cost Carbon Dioxide Sensors to Measure Exhaled Breath Distribution with Face Mask Type and Wearing Behaviour. Sensors 2021, 21, 6204. [Google Scholar] [CrossRef] [PubMed]
- Nguyen, T.-B.; Nguyen, T.-H.; Chung, W.-Y. Battery-Free and Noninvasive Estimation of Food pH and CO2 Concentration for Food Monitoring Based on Pressure Measurement. Sensors 2020, 20, 5853. [Google Scholar] [CrossRef]
- Moriaux, A.-L.; Vallon, R.; Cilindre, C.; Parvitte, B.; Liger-Belair, G.; Zeniari, V. Development and validation of a diode laser sensor for gas-phase CO2 monitoring above champagne and sparkling wines. Sens. Actuators B 2018, 257, 745–752. [Google Scholar] [CrossRef]
- Eveloy, V.; Gebreegziabher, T. A Review of Projected Power-to-Gas Deployment Scenearios. Energies 2018, 11, 1824. [Google Scholar] [CrossRef] [Green Version]
- Jaeger, C. Conduction of Heat in Solids, 2nd ed.; Oxford University Press: London, UK, 1959; p. 193. [Google Scholar]
- Chen, F.; Shulman, J.; Xue, Y.; Chu, C.W.; Nolas, G.S. Thermal conductivity measurement under hydrostatic pressure using the 3ω-method. Rev. Sci. Instrum. 2004, 75, 4578. [Google Scholar] [CrossRef] [Green Version]
- Birge, N.O. Specific-heat spectroscopy of glycerol and propylene glycol near the glass transition. Phys. Rev. B 1986, 34, 1631. [Google Scholar] [CrossRef]
- Yusibani, E.; Woodfield, P.L.; Fujii, M.; Shinzato, K.; Zhang, X.; Takata, Y. Application of the Three-Omega Method to Measurement of Thermal Conductivity and Thermal Diffusivity of Hydrogen Gas. Int. J. Thermophys. 2009, 30, 397–415. [Google Scholar] [CrossRef]
- Yusibani, E.; Woodfield, P.L.; Kohno, M.; Shinzato, K.; Takata, Y.; Fujii, M. End Effects in the Three-Omega Method to Measure Gas Thermal Conductivity. Int. J. Thermophys. 2009, 30, 833–850. [Google Scholar] [CrossRef]
- Plöchinger, H. Sensoren zur Erfassung von Fluid-Eigenschaften mit Wärmeverlustausgleich und dessen Betriebsweise. Patent DE102013012434A1, 29 July 2013. [Google Scholar]
- Bhattacharyya, P. Technological Journey Towards Reliable Microheater Development for MEMS Gas Sensors: A Review. IEEE Trans. Device Mater. Reliab. 2014, 14, 589–599. [Google Scholar] [CrossRef]
- Jousten, K. Handbook of Vacuum Technology; Springer: Wiesbaden, Germany, 2018; pp. 1–51. [Google Scholar]
- Lassner, E.; Schubert, W.-D. Tungsten- Properties, Chemistry, Technology of the Element, Alloys and Chemical Compounds; Springer: Boston, MA, USA, 1999. [Google Scholar]
- Mart, C.; Czernohorsky, M.; Zybell, S.; Kämpfe, T.; Weinreich, W. Frequency domain analysis of pyroelectric response in silicon-doped hafnium oxide (HfO2) thin films. Appl. Phys. Lett. 2018, 113, 122901. [Google Scholar] [CrossRef]
- Sensirion. CO2 Sensor STC31. Available online: https://www.sensirion.com/en/download-center/carbon-dioxide-sensors-co2/co2-sensor-stc31/ (accessed on 6 December 2021).
- Zurich Instruments. Principles of Lock-in Detection and the State of the Art. Available online: https://www.zhinst.com/europe/en/resources/principles-of-lock-in-detection (accessed on 15 October 2021).
- Kliche, K.; Billat, S.; Hedrich, F.; Ziegler, C.; Zengerle, R. Sensor for gas analysis based on thermal conductivity, specific heat capacity and thermal diffusivity. In Proceedings of the IEEE 24th International Conference on Micro Electro Mechanical Systems, Cancun, Mexico, 23–27 January 2011; pp. 1187–1191. [Google Scholar]
- Mandayo, G.G.; Herrán, J.; Castro-Hurtado, I.; Castano, E. Performance of a CO2 Impedimetric Sensor Prototype for Air Quality Monitoring. Sensors 2011, 11, 5047–5057. [Google Scholar] [CrossRef] [PubMed] [Green Version]
- Hodges, W.; Dames, C. A multi-frequency 3ω method for tracking moving phase boundaries. Rev. Sci. Instrum. 2019, 90, 094903. [Google Scholar] [CrossRef] [PubMed]
- Kishore, K.; Akbar, S.A. Evolution of Lock-In Amplifier as Portable Sensor Interface Platform: A Review. IEEE Sens. J. 2020, 20, 10345–10354. [Google Scholar] [CrossRef]
- Maya-Hernandez, P.M.; Alvarez-Simon, L.C.; Sanz-Pascual, M.T.; Calvo-Lopez, B. An Integrated Low-Power Lock-In Amplifier and Its Application to Gas Detection. Sensors 2014, 14, 15880–18899. [Google Scholar] [CrossRef] [Green Version]
- Graaf, R.D.; Wolffenbuttel, R.F. Lock-in amplifier techniques for low-frequency modulated sensor applications. In Proceedings of the 2012 IEEE International Instrumentation and Measurement Technology Conference Proceedings, Graz, Austria, 13–16 May 2012; pp. 1745–1749. [Google Scholar]









| Quantity | ||||||||
|---|---|---|---|---|---|---|---|---|
| Value |
| Sensitivity (1 Hz) | Sensitivity (105 Hz) | Res. Limit (1 Hz) | Res. Limit (105 Hz) | |
|---|---|---|---|---|
| %−1 | %−1 | 0.62% | 44.86% | |
| %−1 | %−1 | 0.062% | 10.13% | |
| (/) | 10.57 | 4.27 | ||
| (/) | 10.0 | 4.43 |
| 25.83 | 21.95 | |
| 16.24 | 10.58 | |
| 180.7 | 155.4 |
Publisher’s Note: MDPI stays neutral with regard to jurisdictional claims in published maps and institutional affiliations. |
© 2022 by the authors. Licensee MDPI, Basel, Switzerland. This article is an open access article distributed under the terms and conditions of the Creative Commons Attribution (CC BY) license (https://creativecommons.org/licenses/by/4.0/).
Share and Cite
Berndt, D.; Muggli, J.; Heckel, R.; Rahiman, M.F.; Lindner, M.; Heinrich, S.; Plöchinger, H.; Schreiner, R. A Robust Miniaturized Gas Sensor for H2 and CO2 Detection Based on the 3ω Method. Sensors 2022, 22, 485. https://doi.org/10.3390/s22020485
Berndt D, Muggli J, Heckel R, Rahiman MF, Lindner M, Heinrich S, Plöchinger H, Schreiner R. A Robust Miniaturized Gas Sensor for H2 and CO2 Detection Based on the 3ω Method. Sensors. 2022; 22(2):485. https://doi.org/10.3390/s22020485
Chicago/Turabian StyleBerndt, Dominik, Josef Muggli, Robert Heckel, Mohd Fuad Rahiman, Matthias Lindner, Stephan Heinrich, Heinz Plöchinger, and Rupert Schreiner. 2022. "A Robust Miniaturized Gas Sensor for H2 and CO2 Detection Based on the 3ω Method" Sensors 22, no. 2: 485. https://doi.org/10.3390/s22020485
APA StyleBerndt, D., Muggli, J., Heckel, R., Rahiman, M. F., Lindner, M., Heinrich, S., Plöchinger, H., & Schreiner, R. (2022). A Robust Miniaturized Gas Sensor for H2 and CO2 Detection Based on the 3ω Method. Sensors, 22(2), 485. https://doi.org/10.3390/s22020485
